SPECIAL TOPIC—Non-equilibrium transport and active control in low-temperature plasmas
SPECIAL TOPIC—Non-equilibrium transport and active control strategy in low-temperature plasmas
2025, 74 (23): 235202.
doi: 10.7498/aps.74.20251169
Abstract +
The pantograph-catenary system (PCS) serves as the exclusive means of power supply for high-speed trains. As train speeds increase, traction power rises, and operations take place in complex and variable environments, pantograph arcing has become more frequent. This phenomenon is accompanied by changes in physical properties and increased hazards, which seriously threaten the safety of high-speed railways. This paper systematically reviews the recent researches on pantograph arc, and outlines physical characteristics, experimental techniques, and simulation methods. The study focuses on analyzing the effects and mechanisms of operating parameters and environmental conditions on pantograph arc, summarizes prevention strategies, and explores applications such as arc energy utilization. Existing research has sufficiently examined how operational parameters affect arc hazards, yet studies on arc physical properties and evolution mechanisms remain limited, particularly regarding special conditions such as icing. Current protection methods also require adaptation to complex environments to meet the growing demands for arc management. Two future research priorities are proposed: first, clarifying the physical properties of an arc under special environments and establishing the correlation among “environmental conditions, an arc’s physical properties, and its behavior” to enable accurate prediction; second, developing an efficient arc prevention system through the approach of “source suppression, interface protection, and process intervention”. This review aims to provide theoretical and practical guidance for realizing reliable current collection and effective arc control in high-speed railway PCS in China.
EDITOR'S SUGGESTION
2025, 74 (23): 235203.
doi: 10.7498/aps.74.20251221
Abstract +
Atmospheric-pressure low-temperature plasma has been widely used in various fields such as biomedicine, environmental protection, and nanomanufacturing, and the key physicochemical processes in these applications involve the interactions between plasma and aqueous solutions. However, such plasma-liquid interactions are very complex, involving a wide range of gas-liquid phase reactions as well as coupled mass transfer processes. These intricate mechanisms make it challenging for existing experimental techniques to provide a systematic understanding, thereby highlighting the critical role of simulation studies. Over the past decade, significant progress has been made in the simulation of plasma-solution interactions. Researchers have basically solved the problems of scarce transport and reaction parameter data, established various types of simulation models, and actively explored new simulation methods based on intelligence algorithms. These advances have greatly deepened our understanding of this field. Thus, this paper reviews recent developments in simulation studies of plasma-solution interactions from three perspectives, namely parameter acquisition, model construction, and intelligent algorithms, with the aim of providing useful insights for researchers.
EDITOR'S SUGGESTION
2025, 74 (23): 235211.
doi: 10.7498/aps.74.20251185
Abstract +
Non-thermal plasma (NTP), as an advanced technology capable of efficiently synthesizing and modifying materials at near-ambient temperatures, has attracted significant attention in the field of energy materials in recent years. Owing to its high electron temperature and low bulk gas temperature, NTP can significantly enhance the electrochemical performance of electrode materials by creating vacancies, enabling heteroatom doping, and adjusting multiscale defects such as porosity and surface roughness, while preventing thermal damage. The plasma-material surface interaction is a complex system involving mutual influences between the plasma and the material. An in-depth understanding of this mechanism is essential for achieving precise control over defect type, density, and spatial distribution by modifying NTP. This paper systematically summarizes recent advances in the application of NTP for etching and doping energy materials, with special emphasis on the formation mechanisms of defects and their functional role in plasma-surface interactions. The plasma sheath effects, defect generation pathways, and the influence of material morphology on local plasma behavior are discussed in detail. Finally, this paper outlines prospects for future research on NTP-modified energy materials.
2025, 74 (23): 235217.
doi: 10.7498/aps.74.20251363
Abstract +
Hydrogen energy, as one of the most promising clean and renewable energy sources, has received much attention due to its green production technology. Electrolytic water splitting is regarded as a critical pathway for large-scale green hydrogen production due to its environmentally friendly reaction process, high product purity, and operational simplicity, However, electrocatalysts for water electrolysis commonly face challenges such as high costs and complex synthesis processes, thereby severely hindering the industrial application. Low-temperature plasma (LTP) technology, with its advantages of mild processing conditions, high reactivity, and unique electromagnetic field effects, has demonstrated remarkable potential in the surface modification of materials. This review systematically summarizes the applications of LTP in the preparation and modification of electrocatalytic materials for water splitting, focusing on the mechanism of plasma-induced enhancement in electrocatalytic efficiency. First, the physical characteristics and fundamental principle of typical non-equilibrium low-temperature plasma are elucidated. Subsequently, recent advances in plasma-assisted modification strategies for catalytic materials are categorized and critically discussed, including surface microstructure modulation, surface property regulation and interface optimization. Finally, based on the current limitations in mechanistic understanding and practical applications, future research directions for LTP technology in catalyst design are proposed.
2025, 74 (23): 230201.
doi: 10.7498/aps.74.20251170
Abstract +
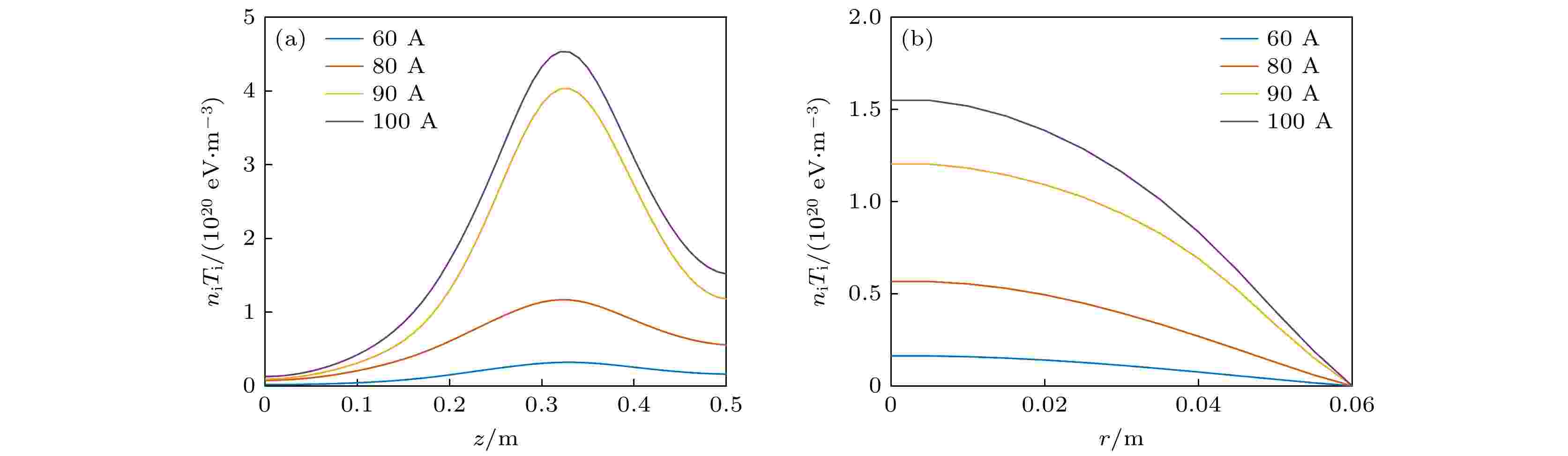
With the technological advantages of high thrust, high specific impulse, long life, variable specific impulse, and high efficiency, the variable specific impulse magnetoplasma rocket engine has become the essential advanced propulsion system for the deep space exploration and manned space flight in the future. In the variable specific impulse magnetoplasma rocket engine, the ion cyclotron resonance heating stage is linked with the helicon plasma source. The operation status of the helicon plasma source has a direct influence on the ion heating process in the ion cyclotron resonance heating stage. It is of great significance for the testing and the optimization of the engine performance to reveal the influence of the ionization process on the ion heating process. In this paper, a multi-fluid model in which the ion cyclotron resonance heating stage is linked with the helicon plasma source is developed. The numerical simulations with different input currents of helicon plasma source and different pressures are performed to analyze the effect of the operation status in the helicon plasma source on the ion energy density in the ion cyclotron resonance heating stage. The results show that the discharge mode of the helicon plasma source gradually changes with the increase of the input current and that the plasma density jump appears while the ion temperature remains basically unchanged. With the plasma density jump and nearly identical ion temperature the ion energy density jump also appears in the simulation domain. Similar to the results of the simulation under different input currents of the helicon plasma source, the plasma density and the ion energy density also jump when the pressure increases. However, the ion temperature decreases due to the discrepancy between the input frequency and the resonance frequency. With the numerical model and the input conditions of this study, the ionization process in the helicon plasma source is decoupled with the ion heating process in the ion cyclotron resonance heating stage. The energy gain of a single ion in the ion cyclotron resonance heating stage does not change with the operation status of the helicon plasma source, thereby accounting for the ability of the engine to work in multi mode.
COVER ARTICLE
2025, 74 (23): 235201.
doi: 10.7498/aps.74.20251121
Abstract +
Capacitively coupled plasma sources, which are widely used in the etching and deposition processes of semiconductor manufacturing, have the advantages of simple structure, low cost, and the ability to generate large-area uniform plasma. To meet the requirements of advanced processes, fluid models are usually required to simulate plasma sources and optimize their important plasma parameters, such as density and uniformity. In this work, an independently-developed capacitively coupled plasma fast simulation program is employed to conduct three-dimensional fluid simulations of a dual-frequency capacitively coupled Ar/CF4 plasma source, with the aims of verifying the effectiveness of the program and investigating the influence of discharge parameters such as gas pressure, high and low-frequency voltages, low frequency, and background component ratios. The simulation results show that the program has an extremely high simulation speed. As the low-frequency voltage increases, the plasma density initially remains approximately constant and then significantly increases, while the plasma uniformity initially rises and then significantly decreases. In this process, the γ-mode heating of the low-frequency source increases and becomes the dominant mode in replace of the α-mode of high-frequency source. As the lower frequency increases, plasma density initially remains approximately constant and then slightly increases, while the plasma uniformity does not change much. this is because the γ-mode heating is frequency independent, while the α-mode heating is much lower than high-frequency source. As the high-frequency voltage increases, the plasma density significantly increases, while the plasma uniformity initially rises and then significantly decreases, the α-mode heating of high-frequency source is significantly enhanced in this process. As the pressure increases, the plasma density significantly increases, and the plasma uniformity also rises significantly, the reason is the more complete collision between particles and background gases. As the Ar ratio in background gases increases, the plasma density changes slightly, the density of Ar-related particles generally increases and the density of CF4-related particles generally decreases, although there are some non-monotonic changes in particle densities, which reflects the mutual promotion between some ionization and dissociation reactions.
2025, 74 (23): 235204.
doi: 10.7498/aps.74.20250827
Abstract +
Dielectric barrier discharge technology can generate cold plasma at atmospheric pressure, which contains abundant active particles and shows great potential for fresh produce sterilization applications. However, water droplets frequently adhere to the surfaces of fruits and vegetables, which changes key parameters including the gas gap width, dielectric distribution, and gas-phase composition, consequently affecting the effectiveness of plasma applications. Currently, plasma-droplet interactions with contact angle as a variable remain unexplored, and the underlying mechanisms by which adhering droplets affect the electrochemical characteristics of dielectric barrier discharge require further investigation. In this work, we develop an atmospheric-pressure helium dielectric barrier discharge simulation model with an He-O2-N2-H2O reaction system. This model is used to study how water droplets (with contact angles of 45°, 90°, and 135°) adhering to the surface of the specimens affect both the steady-state discharge structure and active particle distribution, as well as their underlying mechanisms. The results show that the steady-state discharge intensity is significantly weakened both at the droplet surface and in the region above it, with the greatest reduction occurring at a contact angle of 135°. During the main positive breakdown phase, the polarized electric field at the droplet surface significantly enhances both electron impact ionization and secondary electron emission, thereby promoting gas-phase breakdown in the region above the water droplet. During the main negative breakdown phase, this polarized electric field accelerates electron migration toward the liquid surface, which intensifies plasma ambipolar diffusion and consequently leads to the formation of an annular discharge suppression zone around the water droplet. During the secondary positive discharge phase, even though the water droplet becomes polarized and a radially inward electric field is generated near the liquid surface, the resulting seed electron scavenging effect suppresses discharge in the region above the water droplet. Due to the stronger polarized electric fields generated at the surfaces of water droplets with larger contact angles, both the discharge enhancement and suppression effects become more pronounced with the increase of contact angle. Regarding the chemical species distribution, active particles and electrons exhibit a synergistic distribution relationship. On the surface of the specimens, He+ ions undergo electric field-driven migration, resulting in a highly non-uniform spatial distribution. The evaporation of water droplets provides more reactant sources for OH generation, thereby increasing its total deposition quantity. Because the bond energy of O2 is lower than that of N2, oxygen (O) demonstrates a more uniform distribution and a greater total deposition quantity than nitrogen (N). On the surfaces of water droplets, the active particles exhibit a gradually decreasing distribution from the center to the edge. Notably, the total deposition quantity of He+ continuously increases with larger contact angles increasing due to the aggregation effect of the polarized electric field. This study systematically elucidates the influence mechanisms of adhering water droplets on the electrochemical processes in dielectric barrier discharge, providing theoretical guidance for relevant applications of plasma-droplet systems.
EDITOR'S SUGGESTION
2025, 74 (23): 235205.
doi: 10.7498/aps.74.20251290
Abstract +
Fluid simulations of capacitively coupled plasmas (CCPs) are crucial for understanding their discharge physics, yet the high computational cost results in a major bottleneck. To overcome this limitation, we develop a deep learning-based surrogate model to replicate the output of a one-dimensional CCP fluid model with near-instantaneous inference speed. Through a systematic evaluation of three architectures, i.e. feedforward neural network (FNN), attention-enhanced long short-term memory network (ALSTM), and convolutional-transformer hybrid network (CTransformer) it is found that the sequence-structured ALSTM model can achieve the optimal balance between speed and accuracy, with an overall prediction error of only 1.73% for electron density, electric field, and electron temperature in argon discharge. This study not only achieves significant simulation acceleration but also reveals that the model can accurately extrapolate from low-pressure conditions dominated by complex non-local effects to high-pressure conditions governed by simple local behavior, whereas the reverse extrapolation fails. This finding suggests that training under low-pressure conditions enables the model to capture more comprehensive physical features. From the perspective of model weights, both low-pressure and high-pressure models assign important weights to the sheath region. However, the low-pressure model exhibits higher weight peaks in the sheath, indicating stronger ability to capture the essential physics of sheath dynamics. In contrast, the high-pressure model, because of its lower weighting in the sheath region, may fail to adequately resolve complex sheath dynamics when predicting under new operating conditions, thereby limiting its extrapolation capability with high fidelity. To ensure the reliability of this data-driven model in practical applications, we establish a trust boundary with a normalized mean absolute spatial error of 5% for model performance through systematic extrapolation experiments. When the model's extrapolation error falls below this threshold, the spatial distribution curves of predicted parameters such as electron density and electron temperature closely match the true physical distributions. However, once the error exceeds this critical point, systematic deviations such as morphological distortion and amplitude discrepancies begin to appear in the predicted spatial distributions, significantly deviating from the true physical laws. In the future, we will develop neural network models capable of processing high-dimensional spatial data and combining multi-dimensional input features such as various discharge gases, ultimately realizing a dedicated AI model for the field of capacitively coupled plasmas.
2025, 74 (23): 235206.
doi: 10.7498/aps.74.20251182
Abstract +
Octafluorocyclobutane (C4F8)-based fluorocarbon plasmas have become a cornerstone of nanometre-scale etching and deposition in advanced semiconductor manufacturing, owing to their tunable fluorine-to-carbon (F/C) ratio, high density of reactive radicals, and superior material selectivity. In high-aspect-ratio pattern transfer, optical emission spectroscopy (OES) enables in-situ monitoring by correlating the density of morphology-determining radicals with their characteristic spectral signatures, thereby providing a viable pathway for the simultaneously optimizing pattern fidelity and process yield. A predictive plasma model that integrates kinetic simulation with spectroscopic analysis is therefore indispensable. In this study, a C4F8/O2/Ar plasma model tailored for on-line emission-spectroscopy analysis is established. First, the comprehensive reaction mechanism is refined through a systematic investigation of C4F8 dissociation pathways and the oxidation kinetics of fluorocarbon radicals. Subsequently, the radiative-collisional processes for the excited states of F, CF, CF2, CO, Ar and O are incorporated, establishing an explicit linkage between spectral features and radical densities. Under representative inductively coupled plasma (ICP) discharge conditions, the spatiotemporal evolution of the aforementioned active species is analyzed and validated against experimental data. Kinetic back-tracking is employed to elucidate the formation and loss mechanisms of fluorocarbon radicals and ions, and potential sources of modelling uncertainty are discussed. This model has promising potential for application in real-time OES monitoring during actual etching processes.
2025, 74 (23): 235207.
doi: 10.7498/aps.74.20251159
Abstract +
The inverse problem of low-temperature plasmas refers to determining discharge parameters such as voltage amplitude and frequency from plasma characteristics, including plasma density, electric field and electron temperature. Within the framework of fluid description, it is usually very challenging to address inverse problems by using traditional discretization methods. In this work, physics-informed neural networks (PINNs) are introduced to solve the inverse problem of atmospheric-pressure radio-frequency plasmas. The loss function of the PINNs is constructed by embedding three components: the main governing equations (continuity equation, Poisson equation, and drift–diffusion approximation), the discharge parameters to be inferred (voltage amplitude and frequency in this study), and additional electric field data. The well-trained PINNs can accurately recover the discharge parameters with errors within about 1%, while providing the full spatiotemporal evolution of plasma density, electric field, and flux. Furthermore, the effects of sampling positions, sampling sizes, and noise levels of the electric field data on the inversion accuracy of voltage amplitude and frequency are systematically investigated. The results demonstrate that PINNs are capable of achieving precise inversions of discharge parameters and accurate prediction of plasma characteristics under given experimental or computational data, thereby laying a foundation for the intelligent control of low-temperature plasmas.
EDITOR'S SUGGESTION
2025, 74 (23): 235208.
doi: 10.7498/aps.74.20251236
Abstract +
EDITOR'S SUGGESTION
2025, 74 (23): 235209.
doi: 10.7498/aps.74.20251214
Abstract +
The micro-newton-level cusped field Hall thruster is an electric propulsion device that employs microwave-assisted ionization control. It serves as an actuator in drag-free control systems, ensuring control accuracy and stability by providing continuously adjustable thrust over a wide range. However, a mode transition occurring in the regulation process can lead to a sudden change in anode current, thereby degrading control precision and stability. Therefore, it is necessary to investigate the underlying patterns of mode transition. This study examines the variations in internal plasma parameters and discharge characteristics of the thruster before and after microwave mode transition, primarily through probe diagnostics. Experimental results indicate that prior to mode transition, the plasma luminous region is primarily concentrated within the electron cyclotron resonance (ECR) area, approximately 1–3 mm upstream of the anode. After the transition, the luminous region moves further upstream, and the plasma density near the anode exceeds the cutoff density, dropping sharply along the axial direction. The fundamental cause of the change in electron heating mechanism is the alteration in the propagation characteristics of fundamental waves due to this plasma density variation. When the plasma density rises to the cutoff density, the R-wave and O-wave, which drive ionization, are rapidly attenuated or reflected. At this point, the R-wave cannot reach the resonance layer, causing the dominant ECR ionization to become ineffective. The ionization mechanism shifts from being dominated by the R-wave and O-wave to being dominated primarily by the O-wave. Consequently, the electron heating mechanism shifts from volume heating to surface wave heating. This research will provide a basis for subsequently optimizing microwave transmission in the thruster and for reducing the threshold at which mode transition occurs.
2025, 74 (23): 235210.
doi: 10.7498/aps.74.20251151
Abstract +
The capillary discharge plasma ignition device features a simple and reliable structure with a high ignition efficiency, and has become a research focus in both industrial applications and academic studies. The transient radiative heat flux characteristics of the plasma jet is a critical indicator for characterizing its ignition capability. In this work, a transient radiative heat flux measurement system based on a thin-film heatflux gauge is established. Design and optimization methods are proposed to address the measurement range, response time, and sensitivity of the thin-film probe. The results indicate that reducing the thickness of the film can enhance measurement sensitivity effectively, whereas changing the film material yields relatively limited improvement. Additionally, the effects of energy storage capacitor voltage and capillary diameter on the output radiative heat flux characteristics are investigated using polyethylene and polytetrafluoroethylene as capillary propellant. The results indicate that the radiative heat flux of capillary discharge exhibits a temporal delay compared with the main discharge current. Increasing the voltage of the energy storage capacitor enhances the energy deposition efficiency of the main discharge and the plasma temperature, thereby improving both the output radiative heat flux and the duration of the heat flux. Moreover, the growth rate of the heat flux exceeds that of the stored energy. Enlarging the capillary diameter reduces the discharge time constant, thereby shortening the heat flux duration. At the same time, the ablation of the propellant becomes more sufficient, resulting in fewer jet deposits and a weaker absorption of the heat flux. When the capillary diameter increases from 1.5 mm to 3 mm, the jet expansion velocity and the energy deposition efficiency are significantly enhanced, leading to a remarkable increase in the radiative heat flux density. However, when the diameter further increases from 3 mm to 6 mm, the jet expansion velocity changes marginally, while the decrease of energy deposition efficiencycan result in a reduction in radiative heat flux. The capillary discharge with polyethylene propellant exhibits a higher peak radiative heat flux, an earlier peak time, and a shorter duration than that with the polytetrafluoroethylene propellant.
EDITOR'S SUGGESTION
2025, 74 (23): 235212.
doi: 10.7498/aps.74.20251061
Abstract +
The utilization of in-situ resource on Mars is currently one of the key research focuses in deep space exploration. Non-thermal plasma technology provides a promising approach for in-situ conversion of high-concentration CO2 in the Martian atmosphere, with advantages such as strong environmental adaptability and high system efficiency. In this study, a coaxial packed-bed dielectric barrier discharge reactor is employed to investigate the discharge characteristics of simulated Martian atmospheric CO2, with particular emphasis on the effects of SiO2 and Al2O3 packing materials on CO2 conversion performance and energy consumption. Through in-situ spectral diagnostics, the variation patterns of characteristic spectral lines of excited-state CO2 and O2 under different operating conditions are investigated in this work. It is found that increasing the discharge power promotes the generation of excited-state reactive species, which facilitates the activation and conversion of carbon dioxide. Furthermore, increasing the discharge power effectively enhances the electric field strength in CO2 discharge. Compared with plasma only and the use of SiO2 packing material, the system exhibits a more significant electric field enhancement effect when packed with Al2O3 beads. Based on numerical simulations, the electron impact reaction rate constant and electron energy distribution function of CO2 discharge are obtained. The results reveal that packing the discharge gap with Al2O3 material significantly changes the physical characteristics of CO2 discharge, enhances both the electric field strength and the mean electron energy, thereby generating more high-energy electrons and asymmetric vibrational excited states of CO2. This ultimately promotes the CO2 decomposition reaction for oxygen production. Finally, the study examines the effectiveness of CO2 decomposition for oxygen production under various typical operating conditions. It is demonstrated that increasing the discharge power and packing with Al2O3 both contribute to improving the CO2 conversion rate and oxygen production rate, while reducing the energy consumption of the reaction. The introduction of Al2O3 packing enhances the electric field strength, thereby improving CO2 conversion and O2 production, achieving a CO2 conversion rate of 12.18% and a minimum energy consumption of 0.36 kWh/g. This study provides theoretical and experimental support for the future applications of non-thermal plasma technology in the in-situ resource utilization of Martian atmosphere, offering insights into sustainable resource utilization in deep space exploration.
EDITOR'S SUGGESTION
2025, 74 (23): 235213.
doi: 10.7498/aps.74.20251163
Abstract +
A meter-scale wide indirect dielectric barrier discharge (DBD) for treating large-scale and irregular-shaped materials is reported in this study. The structure of the modular-graded gas path is designed, and the influence of gas hole density on the flow field is simulated. It is confirmed that 8 subdividing (40 holes uniformly distributed) structure can effectively improve the uniformity of the gas flow rate distribution in the discharge area and on the treated material surface compared with 0 subdividing structure. Based on this structure, Ar is employed as the discharge gas and hexamethyldisilane as the precursor to generate meter-scale wide plasma under the excitation of a nanosecond pulsed power supply. Particle activity, discharge uniformity and stability under different operating parameters are evaluated by measuring voltage-current waveforms, emission spectra, luminescence images and temperatures at different electrode positions. The treatment effect and uniformity are verified by measuring the water contact angle (WCA) of epoxy (EP) material. The results show that a uniform and stable plasma with a width of 1120 mm is generated under suitable operating parameters. By increasing the voltage amplitude, both the discharge intensity and particle activity are improved, while the discharge uniformity and stability are significantly reduced. By increasing the discharge gas flow rate, the particle activity, discharge uniformity, and stability can be improved simultaneously but slightly. The WCA on the EP surface is uniformly increased from 67° to 144° with a variation of less than 6% after 10-min treatment at a voltage amplitude of 12 kV and a discharge gas flow rate of 10 L/min. The meter-scale wide indirect DBD electrode in this work can provide reference and basis for the industrial application of large-scale plasma material modification technology.
EDITOR'S SUGGESTION
2025, 74 (23): 235215.
doi: 10.7498/aps.74.20251186
Abstract +
Inductively coupled plasma (ICP) generators involve complex interactions between electromagnetic, thermal, and chemical processes, which makes direct diagnostics difficult. To clarify these coupling mechanisms, a two-dimensional axisymmetric model of an argon ICP torch operating at kilopascal pressure is developed using COMSOL Multiphysics under local thermodynamic equilibrium (LTE) and non-equilibrium (NLTE) assumptions. A two-dimensional axisymmetric magnetohydrodynamic (MHD) model is established, which combines electromagnetic induction, convective-radiative heat transfer, and a seven-reaction argon plasma chemistry mechanism. The LTE model assumes that the temperature of all species is uniform, while the NLTE model independently solves for the electron temperature (Te) and gas temperature (Tg), thereby accounting for incomplete energy exchange between electrons and heavy particles. At a discharge power of 1000 W and a working pressure of 10 kPa, the LTE model predicts a peak temperature of approximately 8200 K, concentrated around the induction coils. In contrast, the NLTE model yields a maximum gas temperature of about 5990 K, with the hot zone shifted downstream. The NLTE model reveals a clear two-temperature structure: Te peaks near the coil wall (~0.93 eV), while Tg reaches its maximum downstream, indicating a pronounced thermal non-equilibrium state where electrons are preferentially heated by the induced field. The calculated skin depth (~11.3 mm) coincides with the region of strongest electromagnetic energy deposition. Species analysis shows that the plasma core is dominated by ground-state argon (Ar) (>99%), while excited argon (Ar*) and argon ions (Ar+) increase notably near the coil region, confirming that excitation and ionization processes are localized within the skin layer. Furthermore, comparison between the 5 kPa and 10 kPa cases shows that as pressure decreases, the difference between Te and Tg increases, indicating enhanced thermal non-equilibrium due to reduced collisional coupling. Overall, the results highlight that LTE and NLTE assumptions lead to markedly different predictions of temperature and energy coupling at kilopascal pressures. The NLTE model more realistically captures delayed energy transfer and spatial temperature decoupling, offering new insights into the electromagnetic-thermal-flow interactions of ICP discharges and providing a modeling reference for designing ICP-based high-enthalpy plasma wind tunnel and realizing related aerospace applications.
2025, 74 (23): 235216.
doi: 10.7498/aps.74.20251303
Abstract +
In order to investigate the enhancement mechanism of atmospheric-pressure oxygen pulsed discharge in a parallel-plate dielectric barrier discharge (DBD) with microstructures fabricated on the dielectric surface of the high-voltage electrode, this work systematically analyzes the electron transport processes, the formation and evolution of electric fields, and the spatial distribution of particles by using a two-dimensional fluid model. The introduction of microstructures can cause significant electric field distortion, generating a strong transverse electric field that locally confines and focuses electrons beneath the micro-structured region, leading to the formation of a stable corona-mode discharge. At the same time, the reduced local discharge gap near the microstructure enhances the longitudinal electric field, resulting in a temporal asynchrony between the corona discharge under the microstructure and the parallel-plate discharge in the adjacent flat regions. As the geometric dimensions of the microstructures increase, a secondary discharge is triggered, further modulating the overall discharge behavior. Under conditions where the corona discharge is suppressed by higher protrusions, the occurrence of secondary discharge effectively increases the proportion of high-energy electrons and the spatially averaged density of reactive oxygen atoms. Simulation results reveal that the corona discharge and the secondary discharge significantly raise electron density, electron temperature, and the proportion of high-energy electrons, thereby intensifying the discharge activity. These findings offer deep insight into the micro-mechanisms of microstructure-induced discharge enhancement and provide valuable guidance for designing highly efficient plasma devices with tailored geometric features.
2025, 74 (23): 235218.
doi: 10.7498/aps.74.20251337
Abstract +
EDITOR'S SUGGESTION
2025, 74 (23): 238501.
doi: 10.7498/aps.74.20251172
Abstract +
Understanding the dynamics of ions in the magnetron sputtering process of transparent conductive oxide (TCO) films is essential for clarifying the mechanisms of sputtering-induced damage and developing effective suppression strategies. In this work, indium tin oxide (ITO) is used as a cathode target in an RF magnetron sputtering system operating under pure argon atmosphere, and a positively biased auxiliary anode is introduced to modulate the plasma potential and investigate its effect on the ion energy distribution functions (IEDFs) at the substrate position. The ion energy spectra are measured using a commercial energy–mass spectrometer (EQP 1000, Hiden), and the plasma parameters such as potential and electron density are characterized using a radio-frequency compensated Langmuir probe. The results show that the incident positive ions consist mainly of O+, Ar+, In+, Sn+, as well as multiple metal oxide molecular and doubly charged ions. Their energies are determined by the combined effects of the initial ejection or backscattering energy of sputtered particles and the plasma potential. Increasing the auxiliary anode bias leads to an elevation of the plasma potential, thereby enhancing both the kinetic energy and flux of positive ions. In contrast, negative ions such as O– and $\rm O_2^-$ originate predominantly from cathode sputtering, exhibiting broad, multi-peaked energy distributions that are strongly influenced by RF oscillations of the cathode voltage and plasma potential, as well as relaxation effects during ion transport. Heavier metal oxide negative ions ($\rm InO^-, \;InO_2^-,\; SnO^-,\; SnO_2^-$) respond more slowly to RF sheath modulation, with their high-energy peaks converging toward the cathode bias potential. Applying a positive auxiliary anode bias effectively reduces the cathode bias voltage, thereby suppressing the high-energy tail of negative ions without significantly affecting their total energy-integrated intensity. This demonstrates that auxiliary anode biasing provides an effective means for adjusting the ion energy distributions in magnetron sputtering discharges. The proposed approach provides a potential pathway for mitigating sputtering-induced damage and improving the structural and electronic quality of ITO films. Future work will focus on correlating the measured ion energy modulation with comprehensive film characterizations—including optical, electrical, and interfacial analyses—to further verify the physical mechanisms and evaluate the practical effectiveness of damage suppression during TCO deposition.
SPECIAL TOPIC—Applied magnetism
EDITOR'S SUGGESTION
2025, 74 (23): 237201.
doi: 10.7498/aps.74.20251162
Abstract +
EDITOR'S SUGGESTION
2025, 74 (23): 237501.
doi: 10.7498/aps.74.20251317
Abstract +
Magnetic refrigeration technology, featuring environmental friendliness, energy efficiency and high performance, is recognized as a next-generation refrigeration technology with the potential to replace gas compression refrigeration technology. However, current magnetic refrigeration materials typically exhibit an excessively narrow phase transition temperature range (≤10 K), thus necessitating the stacking of materials with multiple compositions to meet the practical refrigeration temperature span. In this study, the typical La(Fe, Si)13-based magnetic refrigeration material is selected, and an innovative gradient laser powder bed fusion technology is adopted to obtain 3D-print La0.70Ce0.30Fe11.65–xMnxSi1.35 alloys with horizontal compositional gradients (where the Mn content varies continuously from 0 to 0.64). Systematic characterization of their microstructures, magnetic properties, and magnetocaloric effects indicates that this technology enables a controllable gradient distribution of compositions along the powder bed plane and high-throughput preparation, thereby achieving a continuous variation of the Curie temperature of the gradient alloy over a wide temperature range from 134 K to 174 K. With the increase of Mn content, the phase transition of the alloy gradually changes from a weak first-order phase transition to a second-order phase transition, and the peak shape of the magnetic entropy change curve shifts from “sharp and high” to “broad and flat”. The full width at half maximum of the temperature range is extended to 83.3 K, allowing the gradient alloy to maintain high refrigeration capacity (RC ~130 J/kg, 3 T) at all time. This study breaks through the bottlenecks of traditional material preparation and performance via gradient additive manufacturing, providing a novel technical pathway for achieving high-throughput preparation and performance optimization of magnetic refrigeration materials.
EDITOR'S SUGGESTION
2025, 74 (23): 237502.
doi: 10.7498/aps.74.20251210
Abstract +
Hydrogenation or protonation provides a feasible pathway for exploring exotic physical functionality and phenomena within correlated oxide system through introducing an ion degree of freedom. This breakthrough provides great potential for enhancing the application of multidisciplinary equipment in the fields of artificial intelligence, related electronics and energy conversions. Unlike traditional substitutional chemical doping, hydrogenation enables the controllable and reversible control over the charge-lattice-spin-orbital coupling and magnetoelectric states in correlated system, without being constrained by the solid-solution limits. Our findings identify proton evolution as a powerful tuning knob to cooperatively regulate the magnetoelectric transport properties in correlated oxide heterojunction, specifically in metastable VO2(B)/La0.7Sr0.3MnO3(LSMO) systems grown via laser molecular beam epitaxy (LMBE). Upon hydrogenation, correlated VO2(B)/LSMO heterojuction undergoes a reversible magnetoelectric phase transition from a ferromagnetic half-metallic state to a weakly ferromagnetic insulating state. This transition is accompanied by a pronounced out-of-plane lattice expansion due to the incorporation of protons and the formation of O—H bonds, as confirmed by X-ray diffraction (XRD). Proton evolution extensively suppresses both the electrical conductivity and ferromagnetic order in the pristine VO2(B)/LSMO system. Remarkably, these properties recover through dehydrogenation via annealing in an oxygen-rich atmosphere, underscoring the high reversibility of hydrogen-induced magnetoelectric transitions. Spectroscopic analyses, including X-ray photoelectron spectroscopy (XPS) and synchrotron-based soft X-ray absorption spectroscopy (sXAS), provide further insights into the physical origin underlying the hydrogen-mediated magnetoelectric transitions. Hydrogen-related band filling in the d-orbital of correlated oxides accounts for the electron localization in VO2(B)/LSMO heterostructure through hydrogenation, while the suppression of the Mn3+-Mn4+ double exchange leads to the magnetic transitions. This work not only expands the hydrogen-related phase diagram for correlated oxide system but also establishes a versatile pathway for designing exotic magnetoelectric functionalities via ionic evolution, which has great potential for developing protonic devices.
ELECTROMAGNETISM, OPTICS, ACOUSTICS, HEAT TRANSFER, CLASSICAL MECHANICS, AND FLUID DYNAMICS
2025, 74 (23): 234201.
doi: 10.7498/aps.74.20251055
Abstract +
The key security of quantum key distribution (QKD) is guaranteed by the basic principle of quantum mechanics, which makes it possible to combine information theory security communication with one-time encryption. The key is usually encoded on the polarization dimension or phase dimension of a single-photon. It is considered that the birefringence effect of single-mode fiber leads to a random variation of polarization state, which would induce the bit error rate. So it is of great significance to keep the single-photon linear polarization state stable for both polarization encoding QKD system and phase encoding QKD system. By using the single-photon polarization modulation technology, the single-photon linear polarization state periodically varies with the external modulation signal. The flicker noise is suppressed effectively, and the signal-to-noise ratio (SNR) of single-photon counting is increased as indicated by the phase-sensitive detection with a lock-in amplifier (LIA). The error signal is generated by demodulating the modulated single photons and it is used to lock an arbitrary 1550 nm single-photon linear polarization state to the optical axis of in-line polarizer (ILP). The modulation frequency reaches up to 5 kHz, which can eliminate the influence of low frequency flicker noise. The LIA demodulates the single-photon pulses by using 78.1 Hz filter bandwidth, with a time constant of 1 ms and a filter slope of 24 dB. The SNR of error signal is 20. The zero-crossing point of error signal represents the single photon’s linear polarization state aligned to the optical axis of ILP. The linear slope around the zero-crossing point for the polarization state angle versus the error signal amplitude is 1.267 rad/V. When the negative feedback loop does not work, the polarization drift of single-photon pulses is 0.082 rad due to the random environmental noise. However, by using the single-photon polarization modulation technology, the polarization drift of stable single-photon pulses is limited to 0.0011 rad within 2000 s through the precise control with a polarization rotator, and the corresponding Allan deviation reaches the minimal value of 6.7×10–5 at an integration time of 128 ms. The advantages for the single-photon polarization modulation technology are as follows: i) the linear polarization state drift is compensated in real-time at the single-photon level; ii) single frequency polarization modulation can be extended to multiple frequency polarization modulation in order to achieve simultaneous locking of multiple linear polarization states of single-photon pulses; iii) these 1550 nm single-photon pulses with the 0.0011 rad linear polarization state stability can be directly used as the single-photon source in either polarization encoding or phase encoding QKD system.
PHYSICS OF GASES, PLASMAS, AND ELECTRIC DISCHARGES
EDITOR'S SUGGESTION
2025, 74 (23): 235214.
doi: 10.7498/aps.74.20251010
Abstract +
Rotating spokes, as one of the low-frequency, long-wavelength instabilities, are commonly observed in the ${\boldsymbol{E}} \times {\boldsymbol{B}}$ plasma discharge devices, such as the magnetrons and Hall thrusters. In Hall thrusters, the rotating spokes, which are located in the discharge channel and rotate in the azimuthal direction, feature the bright luminous regions. The space potential will be distorted by the instability of rotating spokes, thereby increasing the possibility for electrons to reach the anode and enhancing their drift along the equipotential lines. However, the excitation mechanism of the rotating spoke and its influencing factors remain ambiguous. In order to address this problem, we conduct numerical simulations and linear stability analysis to investigate the effects of the magnetic field gradient on the driving mechanism and mode characteristics of the rotating spoke instability. In this work, a particle-fluid two-dimensional hybrid model in the axial-azimuthal plane is employed to numerically study the effect of axial magnetic field gradient in the discharge channel on the rotating spoke. The numerical simulation results are analyzed using a dispersion relation derived from fluid theory, which combines the effects of plasma density and the magnetic field gradient. The output profiles of ion density, potential, and electric field from the numerical simulation serve as input parameters for the dispersion relation used in the linear stability analysis. The simulation results show that the frequency and propagation velocity of the $m = 1$ rotating spoke slightly increase as the magnetic field gradient in the discharge channel decreases. However, changing the magnetic field gradient in the discharge channel does not affect the propagation direction nor intrinsic characteristics of the rotating spoke. More specifically, when the value of ${\alpha _1}$increases from 1.1 to 1.7, which means a decrease of the magnetic field gradient in the discharge channel, the mode frequency rises from 6.2 kHz to 7.5 kHz, remaining within the frequency range of the rotating spoke instability. At the same time, the phase velocity also increases form 1013 m/s to 1225 m/s, which is consistent with the propagation velocity of the rotating spoke instability, and the rotating spoke instability still propagates along the ${\boldsymbol{E}} \times {\boldsymbol{B}}$ direction. Dispersion relation analysis indicates that the rotating spoke arises from an azimuthal drift instability which is located near downstream region of the thruster exit, and it is excited by the plasma density and magnetic field gradient effects. The axial position of the azimuthal drift instability, responsible for the rotating spoke formation, is slightly modulated by density profile variations caused by the change of magnetic field in the discharge channel. However, it remains near the downstream region of the thruster exit. The results indicate that the rotating spoke does not originate from ionization instabilities, and changing the magnetic field distribution in the discharge channel does not affect its propagation direction nor mode number. The research results provide theoretical support for explaining the excitation mechanism and key influencing factors of rotating spoke.
CONDENSED MATTER: STRUCTURAL, MECHANICAL, AND THERMAL PROPERTIES
2025, 74 (23): 236101.
doi: 10.7498/aps.74.20250978
Abstract +
AlCoCrFeNi high-entropy alloys have consistently attracted attention due to their outstanding strength-to-ductility ratio. However, the substantial content of expensive cobalt in these alloys has somewhat limited their engineering applications. Consequently, there is an urgent need to design and develop high-performance, low-cost cobalt-free high-entropy alloys. AlCrFeNi alloys exhibit microstructures and properties similar to AlCoCrFeNi alloys. Simultaneously, the absence of Co significantly reduces costs and markedly improves casting performance. These alloys represent a potential structural material for harsh environments, demonstrating promising engineering applications. In order to explore the phase modulation mechanism of Nb element on AlCrFeNi alloy, this study combines experiments with first principles calculations to systematically investigate the effects of Nb on the microstructure, mechanical properties and wear resistance of AlCrFeNi alloy. The research results show that the AlCrFeNiNb0.4 high-entropy alloy has the best mechanical properties and wear resistance.The doping of Nb changes the wear mechanism of the AlCrFeNi alloy and improves the wear resistance of the alloy. This is attributed to the phase modulation effect of Nb on AlCrFeNi alloy. On the one hand, it induces the precipitation of Laves phase, which has high hardness, and on the other hand, it solidly dissolves in the BCC and B2 phases of the alloy, significantly improving the mechanical properties of the two phases. In addition, Nb doping refines the microstructure of the AlCrFeNi alloy, which leads to an increase in the phase interface density, thus enhancing the hardness, yield strength and wear resistance of the alloy. First principles calculations show that the Nb atoms change the electronic structures of the BCC and B2 phases in the AlCrFeNi alloy, thereby enhancing the stability of the two phases and confirming the solid solution strengthening effect of Nb on the two phases. The Nb atoms form strong antibonds with most of the atoms in the two phases, which further explains the nature of the generation of a large number of Laves phases in the microstructure of the alloy after Nb doping.
2025, 74 (23): 236401.
doi: 10.7498/aps.74.20251231
Abstract +
Crystallization of ions in aqueous micro-droplet or nano-droplet on solid surfaces is ubiquitous, with applications ranging from inkjet printing to pesticide spraying. The substrates involved are typically nonpolar. Yet, the atomistic mechanism of crystallization within sessile droplets on such nonpolar substrates is still unclear. Here, we employ molecular dynamics simulations to investigate the crystallization of sodium chloride inside an aqueous nano-droplet on a nonpolar face-centered-cubic (111) surface. Crystallization occurs inside the droplet rather than at the liquid-gas or solid-liquid interface, when the concentration of the sodium chloride in the droplet exceeds 3.76 mol/kg. The phenomenon originates from the spatial distributions of water molecules and ions: a dense interfacial water layer forms at the solid-liquid interface, whereas ions accumulate in the droplet interior, increasing the local concentration. The ion-water hydration caused by the electrostatic interaction outweighs the ion-solid interaction. The spatial confinement provided by the solid, rather than the physical properties of the solid, enriches ions inside the nano-droplet, thereby triggering the crystallization. We further apply this mechanism to the separated aqueous sodium chloride nanodroplets, in which the gas phase destroys the continuous spatial distribution of ions in the droplet. Analogous crystallization is observed in the sessile droplets of potassium chloride solution on nonpolar solid surfaces, indicating the generality of crystallization in nano-droplets. These findings provide atomic-scale guidance for controlling crystallization in nano-droplets related to microelectronics, inkjet printing, and related technologies.


