Highlights

Abstract +
Refractory multi-principal element alloys (RMPEAs)have become a hotspot in materials science research in recent years due to their excellent high-temperature mechanical properties and broad application prospects. However, the unique deformation mechanisms and mechanical behaviors of the NbTaTiZr quaternary RMPEA under extreme conditions such as high temperature and high strain rate are still unclear, limiting its further design and engineering applications. In order to reveal in depth the dynamic response of this alloy on an atomic scale, this study develops a high-accuracy machine learning potential (MLP) for the NbTaTiZr quaternary alloy and combines it with large-scale molecular dynamics (MD) simulations to systematically investigate the effects of crystallographic orientation, strain rate, temperature, and chemical composition on the mechanical properties and microstructural evolution mechanisms of the alloy under compressive loading. The results show that the NbTaTiZr alloy exhibits significant mechanical and structural anisotropy during uniaxial compression. The alloy exhibits the highest yield strength when loaded along the [111] crystallographic direction, while it shows the lowest yield strength when compressed along the [110] direction, where twinning is more likely to occur. Under compression along the [100] direction, the primary deformation mechanisms include local disordering transitions and dislocation slip, with 1/2$ \left\langle{111}\right\rangle $ dislocations being the dominant type. When the strain rate increases to 1010 s–1, the yield strength of the alloy is significantly enhanced, accompanied by a notable increase in the proportion of amorphous or disordered structures, indicating that high strain rate loading suppresses dislocation nucleation and motion while promoting disordering transitions. Simulations at varying temperatures indicate that the alloy maintains a high strength level even at temperatures as high as 2100 K. Compositional analysis further indicates that increasing the atomic percentage of Nb or Ta effectively enhances the yield strength of the alloy, whereas an increase in Ti or Zr content adversely affects the strength. By combining MLP with MD methods, this study elucidates the anisotropic characteristics of the mechanical behavior and the strain rate dependence of disordering transitions in the NbTaTiZr RMPEA under combination of high strain rate and high temperature, providing an important theoretical basis and simulation foundation for optimizing and designing novel material under extreme environments.

SPECIAL TOPIC—Order tuning in disordered alloys
EDITOR'S SUGGESTION
2025, 74 (19): 196402.
doi: 10.7498/aps.74.20250889
Abstract +
Glass-forming liquids exhibit unique dynamic transition behavior during temperature changes. The system undergoes a transition from the fragile liquid to the strong liquid, which is known as the fragile-to-strong transition as the temperature decreases. In order to address the issue of poor glass-forming ability (GFA) in Fe-based alloys, through studying the kinetic behavior of the Fe-Zr-B-M (M = Nb, Ti, Al) alloy system, the mechanism of ductile-brittle transition is revealed and the relationship between the degree of ductile-brittle transition and the GFA is established. In this study, through viscosity measurements, a pronounced fragile-to-strong transition behavior in this system is revealed. By using crystallization activation energy as an evaluation criterion, a negative correlation between the degree of the fragile-to-strong transition and the GFA in the Fe-Zr-B-M system is established. The results indicate that the crystal-like clusters play a critical role in the solidification process of the Fe-Zr-B-M metallic glasses. Based on this, a fragile-to-strong transition mechanism involving the structural transformation from the icosahedral clusters to the crystal-like clusters is proposed. Through theoretical calculations of mixing enthalpy and mismatch entropy and by combining microstructural characterization, it is found that alloy compositions with more negative mixing enthalpy and higher mismatch entropy can effectively suppress the tendency of icosahedral structures to transform into crystal-like structures, thereby hindering crystallization and promoting the formation of a more disordered amorphous structure. This structural feature not only corresponds to superior glass-forming ability but also exhibits a weak fragile-to-strong transition phenomenon. In this work, the intrinsic correlation between viscosity characteristics and the GFA is revealed, providing a theoretical basis for developing Fe-based metallic glasses with high GFA.

SPECIAL TOPIC—Quantum information processing
EDITOR'S SUGGESTION
2025, 74 (19): 190302.
doi: 10.7498/aps.74.20250865
Abstract +

SPECIAL TOPIC—Order tuning in disordered alloys
EDITOR'S SUGGESTION
2025, 74 (19): 196101.
doi: 10.7498/aps.74.20250845
Abstract +
Shear banding behavior of metallic glasses (MGs) strongly correlates with the microstructural heterogeneity. Understanding how the nucleation and propagation of shear bands are governed by the nanoscale structural heterogeneity is crucial for designing high-performance MGs. Herein, the traditional molecular dynamics (MD) and swap Monte Carlo (SMC) simulations are used to construct two phases of CuZr metallic glasses: the soft phase with a high cooling rate about 1013 K/s, and the hard phase with a extremely low cooling rate in simulations about 104 K/s. The soft phase contains fewer icosahedral clusters, allowing for easier plastic deformation; the hard phase has more of icosahedral clusters, which promotes shear localization once shear bands form inside. A ductile-to-brittle transition is found to occur in the soft-and-hard phase ordered MGs with the increase of the hard-region fraction c. Additionally, the strategy for ordering these two phases to strongly influence the mechanical behavior of MGs is proposed. Dispersed and isolated hard-regions can improve the mechanical stability of MGs and delay the occurrence of shear banding. Instead, the soft regions surrounded by hard regions can induce a secondary shear band that is formed through the reorientation of plastic zones under constrained deformation, leading to more delocalized plastic deformation zones. This work reveals that the structural heterogeneity achieved by adjusting the topology of soft and hard phases can significantly change the mechanical performance of MGs, which can guide the design of metallic glasses with controllable structures through architectural ordering strategies.

EDITOR'S SUGGESTION
2025, 74 (19): 197302.
doi: 10.7498/aps.74.20250814
Abstract +
Semi-magnetic topological insulators have received wide attention because of their unique electrical properties, including the emergent half-quantized linear Hall effect. However, nonlinear Hall effects in these materials have not been studied. In this work, the nonlinear Hall effect in semi-magnetic topological insulators is investigated, and its dependence on the orientation of the magnetic moment in the magnetic layer is explored. By using both analytical method and numerical method, it is demonstrated that the nonlinear Hall conductance is more sensitive to the horizontal component of the magnetic moment than the linear Hall conductance, which predominantly depends on the vertical component of the magnetic moment. Our results reveal that the nonlinear Hall conductance can serve as a sensitive probe to detect changes in the orientation of the magnetic moment in experiments. Specifically, it is shown that the nonlinear Hall effect is governed by the Berry dipole moment, whose magnitude and direction vary with the tilt of the magnetic moment, thereby offering a unique signature of its orientation. The potential for using both linear and nonlinear Hall effects to map the direction of the magnetic moment in semi-magnetic topological insulators is highlighted in this work. Besides, the measurement of the nonlinear Hall effect can be directly implemented using existing experimental setups, without the need for additional modifications. The findings offer insights into the quantum transport behavior of the semi-magnetic topological insulator and pave the way for new experimental techniques to manipulate and probe their magnetic properties.

EDITOR'S SUGGESTION
2025, 74 (19): 192901.
doi: 10.7498/aps.74.20250975
Abstract +

EDITOR'S SUGGESTION
2025, 74 (19): 197702.
doi: 10.7498/aps.74.20250938
Abstract +

EDITOR'S SUGGESTION
2025, 74 (19): 194204.
doi: 10.7498/aps.74.20250909
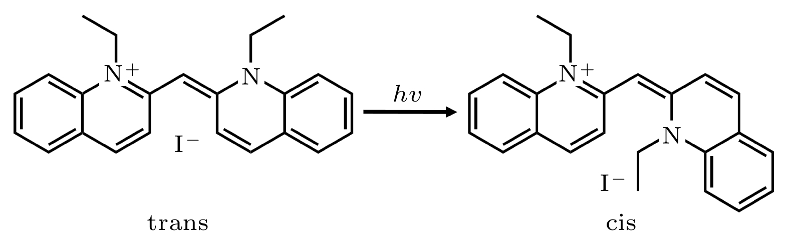
Abstract +
Photoisomerization is a prototypical photophysical and photochemical reaction, and the reaction quantum yield depends on its excited-state dynamic. Changing the evolution path of molecular excited states to achieve precise control over photochemical reactions has long been a dream pursued by physicists and chemists. To investigate the effect of femtosecond laser pulse on the ultrafast reaction, the ultrafast photoisomerization of 1, 1'-diethyl-2, 2'-cyanine iodide (1122C) in methanol is studied using pump-dump-probe spectroscopy. A third femtosecond pulse (Dump) at 1030 nm, which is delayed by 1 ps relative to the initial pump pulse, is introduced into the traditional pump-probe experiment. The recovery of ground state bleaching (GSB) and decrease of the cis product are observed in the pump-dump-probe experiment. It indicates that the dump pulse successfully promotes the initial transform: skipping the trans-cis isomerization pathway in the excited state and returning to the ground state directly through stimulated emission. It is found that the cis yield is reduced by approximately 12.1% under irradiation of the dump pulse. Our research shows that the quantum yields of a typic ultrafast photoisomerization reaction is successfully regulated by using femtosecond laser pulse, demonstrating the potential of femtosecond multi-pulse spectroscopy in modifying excited-state evolution pathways and optimizing photochemical reaction yields. This study provides theoretical and technical support for precisely controlling complex photochemical reactions in the future.

SPECIAL TOPIC—Thematic Data in Nuclear Physics: Experimental, Theoretical and Applied Research
EDITOR'S SUGGESTION
2025, 74 (19): 190601.
doi: 10.7498/aps.74.20250743
Abstract +
56Co, with γ-ray energies covering the ranging from 0.84–3.55 MeV, is an important radionuclide for calibrating Ge detector. Based on the main measurements of D. C. Camp et al. (Camp D C, Meredith G L 1971 Nucl. Phys. A 166 349 ) and M. E. Phelps et al (Phelps M, Sarantites D, Winn W 1970 Nucl. Phys. A 149 647 ). before 2000, the probability of γ-ray emission is evaluated and recommended. The values reported by D. C. Camp, however, are systematically lower in high energy range. In this work, using the experimental measurements obtained from the Nuclear Science Reference Library, the main decay data, such as half-life and γ-ray emission probabilities, are evaluated and summarized. In the Eγ < 2.5 MeV energy region, the new evaluation data in this work are in good agreement with the results of the ENSDF evaluation (Huo J, Huo S, Yang D 2011 Nucl. Data Sheets 112 1513 ) and the summary report published by IAEA in 1991 (Bambynek W, Barta T, Jedlovszky R, Christmas P, Coursol N, Debertin K, Helmer R, Nichols A, Schima F, Yoshizawa Y 1991 report IAEATECDOC-619). However, in the high-energy region, i.e., in the Eγ > 2.5 MeV energy region, the present work gives lower values than the other evaluation data. The deviation at 3.4 MeV is as high as 2.7%. Rationality of the present evaluation and corrected method will be dependent on new measurements, and more precise standard data are desirable. The datasets presented in this paper, including the ENDF and ENSDF format decay data files for 56Co, may be available at https://doi.org/10.57760/sciencedb.j00213.00169 .

EDITOR'S SUGGESTION
2025, 74 (19): 197701.
doi: 10.7498/aps.74.20250654
Abstract +
The ongoing trend toward high-power and miniaturized electronic devices has raised increasingly stringent requirements for the high-temperature electrical properties of epoxy encapsulating materials. In this study, epoxy-terminated phenyltrisiloxane (ETS) is used as a functional monomer to incorporate Si-O bonds into bisphenol-A epoxy resin through crosslinking reactions, thereby systematically investigating the influence and modulation effects of ETS on the structure and high-temperature electrical characteristics of epoxy composites. Gel content measurements indicate that as the concentration of ETS increases, the gel content of the epoxy resin composite decreases accordingly, suggesting that higher ETS content reduces the crosslinking density of the epoxy network. Experimental test results demonstrate that compared with pure epoxy resin, the composite with 2.5% ETS exhibits superior performance: the glass transition temperature increases to 129 ℃ with thermal decomposition temperature rising, while showing optimal high-temperature (70 ℃) electrical properties including significantly reduced conductivity, markedly suppressed space charge accumulation, deepened trap energy level (from 0.834 eV to 0.847 eV), reduced dielectric loss (0.005 at 50 Hz), and improved breakdown strength (74.2 kV/mm). Notably, as the ETS content increases, the electrical properties of epoxy composite follow a non-monotonic concentration dependence, initially enhancing then deteriorating, exhibiting evolutionary characteristics similar to those of nanoparticle-modified systems. Herein, a competitive mechanism between the epoxy network structure and intrinsic properties of ETS is proposed to explain this phenomenon: at low concentrations, the original C—C network dominates, where the intrinsic properties of ETS are constrained by the host matrix, leading to improved thermal stability. Simultaneously, the bandgap difference between ETS and DGEBA establishes charge barriers that can enhance insulation performance. However, at higher concentrations, the reduced crosslinking density and increased free volume caused by reactivity and structural mismatch between ETS and DGEBA ultimately lead to performance degradation. This study offers crucial theoretical insights into and produces the design strategies for developing high-performance siloxane-modified epoxy encapsulants.
- 1
- 2
- 3
- 4
- 5
- ...
- 207
- 208