-
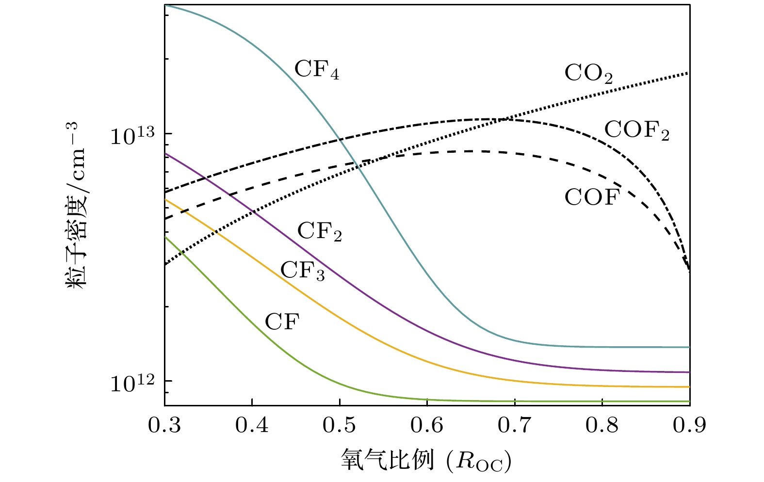
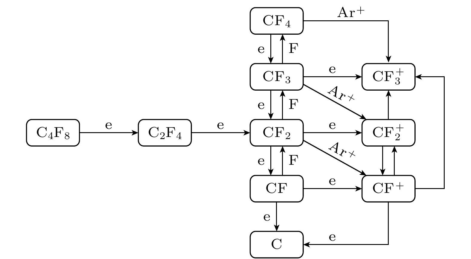
Octafluorocyclobutane (C4F8)-based fluorocarbon plasmas have become a cornerstone of nanometre-scale etching and deposition in advanced semiconductor manufacturing, owing to their tunable fluorine-to-carbon (F/C) ratio, high density of reactive radicals, and superior material selectivity. In high-aspect-ratio pattern transfer, optical emission spectroscopy (OES) enables in-situ monitoring by correlating the density of morphology-determining radicals with their characteristic spectral signatures, thereby providing a viable pathway for the simultaneously optimizing pattern fidelity and process yield. A predictive plasma model that integrates kinetic simulation with spectroscopic analysis is therefore indispensable. In this study, a C4F8/O2/Ar plasma model tailored for on-line emission-spectroscopy analysis is established. First, the comprehensive reaction mechanism is refined through a systematic investigation of C4F8 dissociation pathways and the oxidation kinetics of fluorocarbon radicals. Subsequently, the radiative-collisional processes for the excited states of F, CF, CF2, CO, Ar and O are incorporated, establishing an explicit linkage between spectral features and radical densities. Under representative inductively coupled plasma (ICP) discharge conditions, the spatiotemporal evolution of the aforementioned active species is analyzed and validated against experimental data. Kinetic back-tracking is employed to elucidate the formation and loss mechanisms of fluorocarbon radicals and ions, and potential sources of modelling uncertainty are discussed. This model has promising potential for application in real-time OES monitoring during actual etching processes.
[1] Imamura T, Sakai I, Hayashi H, Sekine M, Hori M 2021 Jpn. J. Appl. Phys. 60 036001
Google Scholar
[2] Antoun G, Tillocher T, Lefaucheux P, Faguet J, Maekawa K, Dussart R 2021 Sci. Rep. 11 357
Google Scholar
[3] Nonaka T, Takahashi K, Uchida A, Tsuji O 2024 J. Micromech. Microeng. 34 085014
Google Scholar
[4] You S, Lee Y J, Chae H, Kim C K 2022 Coatings 12 679
Google Scholar
[5] Nunomura S, Tsutsumi T, Hori M 2025 Appl. Surface Sci. 713 164180
Google Scholar
[6] Huang S, Huard C, Shim S, Nam S K, Song I C, Lu S, Kushner M J 2019 J. Vac. Sci. Technol. A 37 031304
Google Scholar
[7] Lee B J, Efremov A, Nam Y, Kwon K H 2020 Plasma Chem. Plasma Process. 40 1365
Google Scholar
[8] Li X, Ling L, Hua X, Fukasawa M, Oehrlein G S, Barela M, Anderson H M 2003 J. Vac. Sci. Technol. A 21 284
Google Scholar
[9] 陈锦峰, 朱林繁 2024 73 095201
Google Scholar
Chen J F, Zhu L F 2024 Acta Phys. Sin. 73 095201
Google Scholar
[10] Kambara M, Kawaguchi S, Lee H J, Ikuse K, Hamaguchi S, Ohmori T, Ishikawa K 2023 Jpn. J. Appl. Phys. 62 SA0803
Google Scholar
[11] Kazumi H, Hamasaki R, Tago K 1996 Plasma Sources Sci. Technol. 5 200
Google Scholar
[12] Font G I, Morgan W L, Mennenga G 2002 J. Appl. Phys. 91 3530
Google Scholar
[13] Vasenkov A V, Li X, Oehrlein G S, Kushner M J 2004 J. Vac. Sci. Technol. A 22 511
Google Scholar
[14] Kokkoris G, Goodyear A, Cooke M, Gogolides E 2008 J. Phys. D: Appl. Phys. 41 195211
Google Scholar
[15] Chun I, Efremov A, Yeom G Y, Kwon K H 2015 Thin Solid Films 579 136
Google Scholar
[16] Le-Dain G, Rhallabi A, Girard A, Cardinaud C, Roqueta F, Boufnichel M 2019 Plasma Sources Sci. Technol. 28 085002
Google Scholar
[17] 王彦飞, 朱悉铭, 张明智, 孟圣峰, 贾军伟, 柴昊, 王旸, 宁中喜 2021 70 095211
Google Scholar
Wang Y F, Zhu X M, Zhang M Z, Meng S F, Jia J W, Chai H, Wang Y, Ning Z X 2021 Acta Phys. Sin. 70 095211
Google Scholar
[18] Zhu X M, Pu Y K 2010 J. Phys. D: Appl. Phys. 43 403001
Google Scholar
[19] 杜永权, 刘文耀, 朱爱民, 李小松, 赵天亮, 刘永新, 高飞, 徐勇, 王友年 2013 62 205208
Google Scholar
Du Y Q, Liu W Y, Zhu A M, Li X S, Zhao T L, Liu Y X, Gao F, Xu Y, Wang Y N 2013 Acta Phys. Sin. 62 205208
Google Scholar
[20] 张秩凡, 高俊, 雷鹏, 周素素, 王新兵, 左都罗 2018 67 145202
Google Scholar
Zhang Z F, Gao J, Lei P, Zhou S S, Wang X B, Zuo D L 2018 Acta Phys. Sin. 67 145202
Google Scholar
[21] Kimura T, Hanaki K 2009 Jpn. J. Appl. Phys. 48 096004
Google Scholar
[22] Park W, Han J, Park S, Moon S Y 2023 Vacuum 216 112466
Google Scholar
[23] Kim B, Im S, Yoo G 2020 Electronics 10 49
Google Scholar
[24] Qi L, Chang X, Mao J, Lin X, Wang X 2025 IEEE Trans. Semiconduct. Manuf. 38 717
Google Scholar
[25] Osipov A A, Iankevich G A, Speshilova A B, Gagaeva A E, Osipov A A, Enns Y B, Kazakin A N, Endiiarova E V, Belyanov I A, Ivanov V I, Alexandrov S E 2022 Sci. Rep. 12 5287
Google Scholar
[26] Kuboi N 2024 Jpn. J. Appl. Phys. 63 080801
Google Scholar
[27] Toneli D A, Pessoa R S, Roberto M, Gudmundsson J T 2019 Plasma Sources Sci. Technol. 28 025007
Google Scholar
[28] Cunge G, Vempaire D, Ramos R, Touzeau M, Joubert O, Bodard P, Sadeghi N 2010 Plasma Sources Sci. Technol. 19 034017
Google Scholar
[29] Franklin R N 2003 J. Phys. D: Appl. Phys. 36 R309
Google Scholar
[30] Dai Z L, Wang Y N 2006 Front. Phys. China 1 178
Google Scholar
[31] 张钰如, 高飞, 王友年 2021 70 095206
Google Scholar
Zhang Y R, Gao F, Wang Y N 2021 Acta Phys. Sin. 70 095206
Google Scholar
[32] Perrin J, Leroy O, Bordage M C 1996 Contrib. Plasma Phys. 36 3
Google Scholar
[33] Efremov A M, Kim D P, Kim C I 2004 Vacuum 75 133
Google Scholar
[34] Rauf S, Ventzek P L G 2002 J. Vac. Sci. Technol 20 14
[35] Christophorou L G, Olthoff J K 1999 J. Phys. Chem. Ref. Data 28 967
Google Scholar
[36] Kimura T, Noto M 2006 J. Appl. Phys. 100 063303
Google Scholar
[37] Lowke J J, Phelps A V, Irwin B W 1973 J. Appl. Phys. 44 4664
Google Scholar
[38] Itikawa Y 2015 J. Phys. Chem. Ref. Data 44 013105
Google Scholar
[39] Rauf S, Kushner M J 1997 J. Appl. Phys. 82 2805
Google Scholar
[40] Tachibana K 1986 Phys. Rev. A 34 1007
Google Scholar
[41] Levko D, Shukla C, Upadhyay R R, Raja L L 2021 J. Vac. Sci. Technol. B 39 042202
[42] Bose D, Rauf S, Hash D B, Govindan T R, Meyyappan M 2004 J. Vac. Sci. Technol. A 22 2290
Google Scholar
[43] Hayashi T, Ishikawa K, Iwayama H, Sekine M, Hori M 2022 Jpn. J. Appl. Phys. 61 106006
Google Scholar
[44] Christophorou L G, Olthoff J K, Rao M V V S 1996 J. Phys. Chem. Ref. Data 25 1341
Google Scholar
[45] Plumb I C, Ryan K R 1986 Plasma Chem. Plasma Process. 6 205
Google Scholar
[46] Donnelly V M, Guha J, Stafford L 2011 J. Vac. Sci. Technol. A 29 010801
[47] You H S, Yook Y G, Chang W S, Park J H, Oh M J, Kwon D C, Yoon J S, Yu D H, Kwon H C, Park S K, Im Y H 2020 J. Phys. D: Appl. Phys. 53 385207
Google Scholar
[48] Zhang D, Kushner M J 2000 J. Appl. Phys. 87 1060
Google Scholar
[49] Walkup R E, Saenger K L, Selwyn G S 1986 J. Chem. Phys. 84 2668
Google Scholar
[50] Kramida A 2011 7th International Conference on Atomic and Molecular Data and Their Applications Vilnius (Lithuania), 2011 pp81−95
[51] Kunze H J 2009 Introduction to Plasma Spectroscopy (Berlin, Heidelberg: Springer Berlin Heidelberg) p183
[52] Lopaev D V, Volynets A V, Zyryanov S M, Zotovich A I, Rakhimov A T 2017 J. Phys. D: Appl. Phys. 50 075202
Google Scholar
[53] Kiss L D B, Nicolai J P, Conner W T, Sawin H H 1992 J. Appl. Phys. 71 3186
Google Scholar
[54] Karakas E, Kaler S, Lou Q, Donnelly V M, Economou D J 2014 J. Phys. D: Appl. Phys. 47 085203
Google Scholar
[55] Boffard J B, Lin C C, DeJosephJr C A 2004 J. Phys. D: Appl. Phys. 37 R143
Google Scholar
[56] Lee B J, Efremov A, Kwon K 2021 Plasma Process. Polym. 18 2000249
Google Scholar
[57] Zhu X M, Wang L, Wang Y F, Wang Y, Yu D R, Bartschat K 2024 Plasma Sources Sci. Technol. 33 055006
Google Scholar
[58] Zhu X M, Pu Y K, Celik Y, Siepa S, Schüngel E, Luggenhölscher D, Czarnetzki U 2012 Plasma Sources Sci. Technol. 21 024003
Google Scholar
-
表 1 等离子体模型中涉及到的公式
Table 1. Equations mentioned in the model.
编号 公式 注释 E1 $\begin{array}{cc}\dfrac{{{\text{d}}{n_k}}}{{{\text{d}}t}} = \displaystyle\sum\nolimits_V {R_V^ + } (k) - \displaystyle\sum\nolimits_V {R_V^ - (k)} \\\qquad + \displaystyle\sum\nolimits_S {R_S^ + (k)} - \displaystyle\sum\nolimits_S {R_S^ - (k)} = 0 \end{array}$ $ {n_k} $: 物质 k 密度; $ R_V^ + (k) $: 物质 k 气相生成速率;
$ R_V^ - (k) $: 物质 k 气相损失速率; $ R_S^ + (k) $: 物质 k 表面生成速率;
$ R_S^ - (k) $: 物质 k 表面损失速率E2 $ {R_V} = {K_V}\displaystyle\sum\nolimits_v {{n_v}};\;\; R_V^{{\text{rad}}} = A {n_v} $ $ {K_V} $: 气相反应速率系数; $ {n_v} $: 气相反应物密度;
$ R_V^{{\text{rad}}} $: 气相自发辐射速率; A: 爱因斯坦系数E3 $\begin{array} {cc} {K_V} = a T_{\text{e}}^b\exp \left( { - {c}/{{{T_{\text{e}}}}}} \right) ; \\ K_V^{{\text{exc}}} = \displaystyle\int_0^\infty {\sigma ({E_{\text{e}}})\sqrt {\dfrac{{2{E_{\text{e}}}}}{{{m_{\text{e}}}}}} f({E_{\text{e}}}){\text{d}}{E_{\text{e}}}} \end{array} $ $ {T_e} $: 电子温度; a, b, c : Arrhenius公式参数;
$ K_V^{{\text{exc}}} $: 气相激发反应速率系数; Ee: 电子能量; me: 电子质量;
$ \sigma ({E_{\text{e}}}) $: 激发截面; $ f({E_{\text{e}}}) $: 电子能量分布E4 $ {R_{\text{S}}} = {K_{\text{S}}}{n_{\text{s}}} $ $ {n_{\text{s}}} $: 表面损失物质密度 E5 $ K_S^{\text{n}} = {\left[ {\dfrac{{{\varLambda ^2}}}{{{D_{\text{n}}}}} + \dfrac{{2 V(2 - \gamma )}}{{S{u_{\text{n}}}\gamma }}} \right]^{ - 1}} $ $ K_S^{\text{n}} $: 中性粒子表面损失系数; $ {D_{\text{n}}} $: 扩散系数; $ \gamma $: 表面黏附系数;
$ {u_{\text{n}}} $: 平均热速度; V, S : 反应腔室体积和表面积E6 $ {\varLambda ^{ - 2}} = {\left( {{{\pi}}/{l}} \right)^2} + {\left( {{{2.405}}/{r}} \right)^2} $ $ \varLambda $: 有效扩散长度; l, r : 反应腔室高度和半径 E7 $ K_{\text{S}}^{+} = 2{u_{\text{B}}}\left( {{{h_{\text{l}}}}}/{l} + {{{h_{\text{r}}}}}/{r}\right) $ $ K_{\text{S}}^{+} $: 离子表面损失系数; $ {u_{\text{B}}} $: 玻姆速度; E8 ${h_{\text{l}}} = 0.86{\left[ {3.0 + {l}/({{2\lambda }})} \right]^{-1/2}}$ ${h_{\text{l}}}$: 轴向边界-中心离子密度比; $\lambda $: 平均自由程 E9 $ h_{\text{r}}=0.80\left(4.0 + {r}/{\lambda}\right)^{-1/2} $ ${h_{\text{r}}}$: 径向边界-中心离子密度比 表 2 模型中考虑的基本物种
Table 2. Different species taken into account in the model.
类别 物种 离子 $ \mathrm{CF}_3^+ $, ${\mathrm{CF}}_2^+ $, CF+, Ar+ 自由基 CF3, CF2, CF, COF, F, C, O 中性产物 C2F4, CF4, F2, COF2, CO, CO2 原料气体 C4F8, O2, Ar 表 3 激发态物种集
Table 3. Excited state species taken into account in the model.
类别 物种 Ar* Ar(1s5)-Ar(1s2), Ar(2p10)-Ar(2p1) O* O(2p.1D), O(2p.1S), O(3s.3So), O(3s.5So), O(3p.3P), O(3p.5P), O(3p.3Do), O(3p.5Do) F* F(3s.2P), F(3s.4P), F(3s.2D), F(3p.2So), F(3p.4So), F(3p.2Po), F(3p.4Po), F(3p.2Do), F(3p.4Do) CF* CF(a4Σ–), CF(A2Σ), CF(b4Π), CF(B2Δ), CF(C2Σ–) ${\mathrm{CF}}^*_2 $ CF2(A1B1), CF2(X1A2), CF2(X3A2), CF2(X3B1), CF2(X3B2) CO* CO(a3Π), CO(A1Π), CO(b3Σ), CO(B1Σ) 表 A1 气相反应集
Table A1. The set of gas phase reactions.
反应编号 反应式 速率系数/(cm3·s–1) 参考文献 a b c 电子碰撞反应 R1 e + C4F8 → 2C2F4 + e 9.58 × 10–8 0.042 8.572 [12] R2 e + C2F4 → 2CF2 + e 1.32 × 10–8 0.412 6.329 [12] R3 e + CF4 → CF3 + F + e 2.10 × 10–9 0.936 12.004 [35] R4 e + CF3 → CF2 + F + e 7.94 × 10–8 –0.452 12.100 [12] R5 e + CF2 → CF + F + e 1.16 × 10–8 –0.380 –14.350 [12] R6 e + CF → C + F + e 4.51 × 10–8 –0.110 8.941 [12] R7 e + F2 → 2F + e 1.08 × 10–8 –0.296 4.464 [12] R8 e + COF2 → COF + F + e 3.20 × 10–9 0.013 10.300 [36] R9 e + CO2 → CO + O + e 2.90 × 10–9 0.302 12.100 [37] R10 e + CO → C + O + e 1.54 × 10–8 0.270 14.600 [38] R11 e + O2 → 2O + e 1.71 × 10–8 –1.270 7.310 [39] R12 e + CF4 → ${\mathrm{CF}}_3^+ $ + F + 2e 2.29 × 10–8 0.680 18.304 [35] R13 e + CF3 → ${\mathrm{CF}}_2^+ $ + F + 2e 7.02 × 10–9 0.430 16.280 [12] R14 e + CF2 → CF+ + F + 2e 5.43 × 10–9 0.561 14.290 [12] R15 e + ${\mathrm{CF}}_3^+ $ → CF2 + F 6.54 × 10–8 –0.500 0.025 [13] R16 e + ${\mathrm{CF}}_2^+ $ → CF + F 6.54 × 10–8 –0.500 0.025 [13] R17 e + CF+ → C + F 6.54 × 10–8 –0.500 0.025 [13] R18 e + CF3 → ${\mathrm{CF}}_3^+ $ + 2e 1.36 × 10–9 0.796 9.057 [12] R19 e + CF2 → ${\mathrm{CF}}_2^+ $ + 2e 1.10 × 10–8 0.393 11.370 [12] R20 e + CF → CF+ + 2e 5.48 × 10–9 0.556 9.723 [12] R21 e + Ar → Ar+ + 2e 7.35 × 10–8 0.208 19.100 [40] 电荷交换反应 R22 $ {\mathrm{CF}}_2^+$ + CF → ${\mathrm{CF}}_3^+ $ + C 2.06 × 10–9 0 0 [13] R23 ${\mathrm{CF}}_2^+ $ + C → CF+ + CF 1.04 × 10–9 0 0 [13] R24 CF+ + CF3 → ${\mathrm{CF}}_3^+ $ + CF 1.71 × 10–9 0 0 [13] R25 CF+ + CF2 → ${\mathrm{CF}}_2^+ $ + CF 1.00 × 10–9 0 0 [13] R26 Ar+ + CF4 → ${\mathrm{CF}}_3^+ $ + F + Ar 4.80 × 10–10 0 0 [13] R27 Ar+ + CF3 → ${\mathrm{CF}}_2^+ $ + F + Ar 5.00 × 10–10 0 0 [13] R28 Ar+ + CF2 → CF+ + F + Ar 5.00 × 10–10 0 0 [13] 氧化反应 R29 CF3 + O → COF2 + F 3.30 × 10–11 0 0 [13] R30 CF2 + O → COF + F 3.10 × 10–11 0 0 [13] R31 CF + O → CO + F 6.60 × 10–11 0 0 [13] R32 COF + O → CO2 + F 9.30 × 10–11 0 0 [13] R33 COF + COF → COF2 + CO 1.00 × 10–11 0 0 [13] R34 C + CO2 → 2CO 1.00 × 10–15 0 0 [41] R35 COF + CF3 → COF2 + CF2 1.00 × 10–11 0 0 [13] R36 COF + CF2 → COF2 + CF 3.00 × 10–13 0 0 [13] R37 COF + CF3 → CO + CF4 1.00 × 10–11 0 0 [13] R38 COF + CF2 → CO + CF3 3.00 × 10–13 0 0 [13] 重组反应 R39 F + CF3 → CF4 2.00 × 10–11 0 0 [13] R40 F + CF2 → CF3 1.80 × 10–11 0 0 [13] R41 F + CF → CF2 9.96 × 10–11 0 0 [13] R42 F2 + CF3 → CF4 + F 1.90 × 10–14 0 0 [13] R43 F2 + CF2 → CF3 + F 8.30 × 10–14 0 0 [13] 表 A2 表面反应集
Table A2. The set of surface reactions.
反应编号 反应式 速率系数 原子扩散 R44 O → $\dfrac{1}{2} $O2 4.20 × 103 s–1 R45 F → $\dfrac{1}{2} $F2 3.2 × 102 s–1 离子扩散 R46 ${\mathrm{CF}}_3^+ $ → CF3 6.73 × 103 s–1 R47 ${\mathrm{CF}}_2^+ $ → CF2 7.91 × 103 s–1 R48 CF+ → CF 1.00 × 104 s–1 R49 Ar+ → Ar 8.85 × 103 s–1 等效表面反应 R50 C2F4 + C2F4 → C4F8 1.00 × 10–11 cm3/s R51 CF2 + CF2 → C2F4 1.00 × 10–11 cm3/s R52 C + F → CF 1.00 × 10–11 cm3/s 表 B1 本文C4F8/O2/Ar等离子体模型输入参数与Lee等[56]文献对比表
Table B1. Comparison of C4F8/O2/Ar plasma model input parameters of this work with Lee et al. [56].
参数 Kimura和Noto Lee等[56] ICP腔室尺寸 半径/mm 80 80 高度/mm 80 130 放电工况 气压/mTorr 30 10 功率/W 140 700 气流/sccm 40 40 等离子参数 电子温度/eV 2.93—3.05 3.60—4.25 电子密度/cm–3 5.48 × 1010—
1.00 × 10115.00 × 1010—
6.20 × 1010 -
[1] Imamura T, Sakai I, Hayashi H, Sekine M, Hori M 2021 Jpn. J. Appl. Phys. 60 036001
Google Scholar
[2] Antoun G, Tillocher T, Lefaucheux P, Faguet J, Maekawa K, Dussart R 2021 Sci. Rep. 11 357
Google Scholar
[3] Nonaka T, Takahashi K, Uchida A, Tsuji O 2024 J. Micromech. Microeng. 34 085014
Google Scholar
[4] You S, Lee Y J, Chae H, Kim C K 2022 Coatings 12 679
Google Scholar
[5] Nunomura S, Tsutsumi T, Hori M 2025 Appl. Surface Sci. 713 164180
Google Scholar
[6] Huang S, Huard C, Shim S, Nam S K, Song I C, Lu S, Kushner M J 2019 J. Vac. Sci. Technol. A 37 031304
Google Scholar
[7] Lee B J, Efremov A, Nam Y, Kwon K H 2020 Plasma Chem. Plasma Process. 40 1365
Google Scholar
[8] Li X, Ling L, Hua X, Fukasawa M, Oehrlein G S, Barela M, Anderson H M 2003 J. Vac. Sci. Technol. A 21 284
Google Scholar
[9] 陈锦峰, 朱林繁 2024 73 095201
Google Scholar
Chen J F, Zhu L F 2024 Acta Phys. Sin. 73 095201
Google Scholar
[10] Kambara M, Kawaguchi S, Lee H J, Ikuse K, Hamaguchi S, Ohmori T, Ishikawa K 2023 Jpn. J. Appl. Phys. 62 SA0803
Google Scholar
[11] Kazumi H, Hamasaki R, Tago K 1996 Plasma Sources Sci. Technol. 5 200
Google Scholar
[12] Font G I, Morgan W L, Mennenga G 2002 J. Appl. Phys. 91 3530
Google Scholar
[13] Vasenkov A V, Li X, Oehrlein G S, Kushner M J 2004 J. Vac. Sci. Technol. A 22 511
Google Scholar
[14] Kokkoris G, Goodyear A, Cooke M, Gogolides E 2008 J. Phys. D: Appl. Phys. 41 195211
Google Scholar
[15] Chun I, Efremov A, Yeom G Y, Kwon K H 2015 Thin Solid Films 579 136
Google Scholar
[16] Le-Dain G, Rhallabi A, Girard A, Cardinaud C, Roqueta F, Boufnichel M 2019 Plasma Sources Sci. Technol. 28 085002
Google Scholar
[17] 王彦飞, 朱悉铭, 张明智, 孟圣峰, 贾军伟, 柴昊, 王旸, 宁中喜 2021 70 095211
Google Scholar
Wang Y F, Zhu X M, Zhang M Z, Meng S F, Jia J W, Chai H, Wang Y, Ning Z X 2021 Acta Phys. Sin. 70 095211
Google Scholar
[18] Zhu X M, Pu Y K 2010 J. Phys. D: Appl. Phys. 43 403001
Google Scholar
[19] 杜永权, 刘文耀, 朱爱民, 李小松, 赵天亮, 刘永新, 高飞, 徐勇, 王友年 2013 62 205208
Google Scholar
Du Y Q, Liu W Y, Zhu A M, Li X S, Zhao T L, Liu Y X, Gao F, Xu Y, Wang Y N 2013 Acta Phys. Sin. 62 205208
Google Scholar
[20] 张秩凡, 高俊, 雷鹏, 周素素, 王新兵, 左都罗 2018 67 145202
Google Scholar
Zhang Z F, Gao J, Lei P, Zhou S S, Wang X B, Zuo D L 2018 Acta Phys. Sin. 67 145202
Google Scholar
[21] Kimura T, Hanaki K 2009 Jpn. J. Appl. Phys. 48 096004
Google Scholar
[22] Park W, Han J, Park S, Moon S Y 2023 Vacuum 216 112466
Google Scholar
[23] Kim B, Im S, Yoo G 2020 Electronics 10 49
Google Scholar
[24] Qi L, Chang X, Mao J, Lin X, Wang X 2025 IEEE Trans. Semiconduct. Manuf. 38 717
Google Scholar
[25] Osipov A A, Iankevich G A, Speshilova A B, Gagaeva A E, Osipov A A, Enns Y B, Kazakin A N, Endiiarova E V, Belyanov I A, Ivanov V I, Alexandrov S E 2022 Sci. Rep. 12 5287
Google Scholar
[26] Kuboi N 2024 Jpn. J. Appl. Phys. 63 080801
Google Scholar
[27] Toneli D A, Pessoa R S, Roberto M, Gudmundsson J T 2019 Plasma Sources Sci. Technol. 28 025007
Google Scholar
[28] Cunge G, Vempaire D, Ramos R, Touzeau M, Joubert O, Bodard P, Sadeghi N 2010 Plasma Sources Sci. Technol. 19 034017
Google Scholar
[29] Franklin R N 2003 J. Phys. D: Appl. Phys. 36 R309
Google Scholar
[30] Dai Z L, Wang Y N 2006 Front. Phys. China 1 178
Google Scholar
[31] 张钰如, 高飞, 王友年 2021 70 095206
Google Scholar
Zhang Y R, Gao F, Wang Y N 2021 Acta Phys. Sin. 70 095206
Google Scholar
[32] Perrin J, Leroy O, Bordage M C 1996 Contrib. Plasma Phys. 36 3
Google Scholar
[33] Efremov A M, Kim D P, Kim C I 2004 Vacuum 75 133
Google Scholar
[34] Rauf S, Ventzek P L G 2002 J. Vac. Sci. Technol 20 14
[35] Christophorou L G, Olthoff J K 1999 J. Phys. Chem. Ref. Data 28 967
Google Scholar
[36] Kimura T, Noto M 2006 J. Appl. Phys. 100 063303
Google Scholar
[37] Lowke J J, Phelps A V, Irwin B W 1973 J. Appl. Phys. 44 4664
Google Scholar
[38] Itikawa Y 2015 J. Phys. Chem. Ref. Data 44 013105
Google Scholar
[39] Rauf S, Kushner M J 1997 J. Appl. Phys. 82 2805
Google Scholar
[40] Tachibana K 1986 Phys. Rev. A 34 1007
Google Scholar
[41] Levko D, Shukla C, Upadhyay R R, Raja L L 2021 J. Vac. Sci. Technol. B 39 042202
[42] Bose D, Rauf S, Hash D B, Govindan T R, Meyyappan M 2004 J. Vac. Sci. Technol. A 22 2290
Google Scholar
[43] Hayashi T, Ishikawa K, Iwayama H, Sekine M, Hori M 2022 Jpn. J. Appl. Phys. 61 106006
Google Scholar
[44] Christophorou L G, Olthoff J K, Rao M V V S 1996 J. Phys. Chem. Ref. Data 25 1341
Google Scholar
[45] Plumb I C, Ryan K R 1986 Plasma Chem. Plasma Process. 6 205
Google Scholar
[46] Donnelly V M, Guha J, Stafford L 2011 J. Vac. Sci. Technol. A 29 010801
[47] You H S, Yook Y G, Chang W S, Park J H, Oh M J, Kwon D C, Yoon J S, Yu D H, Kwon H C, Park S K, Im Y H 2020 J. Phys. D: Appl. Phys. 53 385207
Google Scholar
[48] Zhang D, Kushner M J 2000 J. Appl. Phys. 87 1060
Google Scholar
[49] Walkup R E, Saenger K L, Selwyn G S 1986 J. Chem. Phys. 84 2668
Google Scholar
[50] Kramida A 2011 7th International Conference on Atomic and Molecular Data and Their Applications Vilnius (Lithuania), 2011 pp81−95
[51] Kunze H J 2009 Introduction to Plasma Spectroscopy (Berlin, Heidelberg: Springer Berlin Heidelberg) p183
[52] Lopaev D V, Volynets A V, Zyryanov S M, Zotovich A I, Rakhimov A T 2017 J. Phys. D: Appl. Phys. 50 075202
Google Scholar
[53] Kiss L D B, Nicolai J P, Conner W T, Sawin H H 1992 J. Appl. Phys. 71 3186
Google Scholar
[54] Karakas E, Kaler S, Lou Q, Donnelly V M, Economou D J 2014 J. Phys. D: Appl. Phys. 47 085203
Google Scholar
[55] Boffard J B, Lin C C, DeJosephJr C A 2004 J. Phys. D: Appl. Phys. 37 R143
Google Scholar
[56] Lee B J, Efremov A, Kwon K 2021 Plasma Process. Polym. 18 2000249
Google Scholar
[57] Zhu X M, Wang L, Wang Y F, Wang Y, Yu D R, Bartschat K 2024 Plasma Sources Sci. Technol. 33 055006
Google Scholar
[58] Zhu X M, Pu Y K, Celik Y, Siepa S, Schüngel E, Luggenhölscher D, Czarnetzki U 2012 Plasma Sources Sci. Technol. 21 024003
Google Scholar
Catalog
Metrics
- Abstract views: 844
- PDF Downloads: 31
- Cited By: 0









DownLoad: