-
Capacitively coupled plasma sources, which are widely used in the etching and deposition processes of semiconductor manufacturing, have the advantages of simple structure, low cost, and the ability to generate large-area uniform plasma. To meet the requirements of advanced processes, fluid models are usually required to simulate plasma sources and optimize their important plasma parameters, such as density and uniformity. In this work, an independently-developed capacitively coupled plasma fast simulation program is employed to conduct three-dimensional fluid simulations of a dual-frequency capacitively coupled Ar/CF4 plasma source, with the aims of verifying the effectiveness of the program and investigating the influence of discharge parameters such as gas pressure, high and low-frequency voltages, low frequency, and background component ratios. The simulation results show that the program has an extremely high simulation speed. As the low-frequency voltage increases, the plasma density initially remains approximately constant and then significantly increases, while the plasma uniformity initially rises and then significantly decreases. In this process, the γ-mode heating of the low-frequency source increases and becomes the dominant mode in replace of the α-mode of high-frequency source. As the lower frequency increases, plasma density initially remains approximately constant and then slightly increases, while the plasma uniformity does not change much. this is because the γ-mode heating is frequency independent, while the α-mode heating is much lower than high-frequency source. As the high-frequency voltage increases, the plasma density significantly increases, while the plasma uniformity initially rises and then significantly decreases, the α-mode heating of high-frequency source is significantly enhanced in this process. As the pressure increases, the plasma density significantly increases, and the plasma uniformity also rises significantly, the reason is the more complete collision between particles and background gases. As the Ar ratio in background gases increases, the plasma density changes slightly, the density of Ar-related particles generally increases and the density of CF4-related particles generally decreases, although there are some non-monotonic changes in particle densities, which reflects the mutual promotion between some ionization and dissociation reactions.
-
Keywords:
- capacitively coupled plasma /
- three-dimensional fluid model /
- numerical simulation /
- plasma uniformity
[1] Lieberman M A, Lichtenberg A J 2005 Principles of Plasma Discharges and Materials Processing (New York: Wiley) pp387−457
[2] 王友年, 宋远红, 张钰如 2024 射频等离子体物理基础(北京: 科学出版社) 第236页
Wang Y N, Song Y H, Zhang Y R 2024 Fundamentals of Radio-frequency Plasma Physics (Beijing: Science Press) p236
[3] Zorat R, Goss J, Boilson D, Vender D 2000 Plasma Sources Sci. Technol. 9 161
Google Scholar
[4] Kimura T, Kasugai H 2010 J. Appl. Phys. 107 083308
Google Scholar
[5] Saikia P, Bhuyan H, Escalona M, Favre M, Rawat R S, Wyndham E 2018 AIP Adv. 8 045113
Google Scholar
[6] Donkó Z, Derzsi A, Vass M, Horváth B, Wilczek S, Hartmann B, Hartmann P 2021 Plasma Sources Sci. Technol. 30 095017
Google Scholar
[7] Vahedi V, DiPeso G, Birdsall C K, Lieberman M A, Rognlien T D 1993 Plasma Sources Sci. Technol. 2 261
Google Scholar
[8] Wünderlich D, Gutser R, Fantz U 2009 Plasma Sources Sci. Technol. 18 045031
Google Scholar
[9] Passchier J D P, Goedheer W J 1993 J. Appl. Phys. 74 3744
Google Scholar
[10] Alves L L, Marques L 2012 Plasma Phys. Controlled Fusion 54 124012
Google Scholar
[11] Graves D B 1987 J. Appl. Phys. 62 88
Google Scholar
[12] Kushner M J 2009 J. Phys. D: Appl. Phys. 42 194013
Google Scholar
[13] Kushner M J 2007 IEEE Trans. Plasma Sci. 14 188
[14] Yang Y, Kushner M J 2010 Plasma Sources Sci. Technol. 19 055011
Google Scholar
[15] Model Low-Temperature Plasma Sources with the Plasma Module https://www.comsol.com/plasma-module [2025-8-16]
[16] Benchmark Model of a Capacitively Coupled Plasma https://www.comsol.com/model/benchmark-model-of-a-capacitively-coupled-plasma-11745 [2025-8-16]
[17] Model of an Argon/Chlorine Inductively Coupled Plasma Reactor with RF Bias https://www.comsol.com/model/model-of-an-argonchlorine-inductively-coupled-plasma-reactor-with-rf-bias-110171 [2025-8-16]
[18] Model of an Argon/Oxygen Capacitively Coupled Plasma Reactor https://www.comsol.com/model/model-of-an-argonoxygen-capacitively-coupled-plasma-reactor-108931 [2025-8-16]
[19] Li J Z, Zhao M L, Zhang Y R, Gao F, Wang Y N 2025 Comput. Phys. Commun. 307 109392
Google Scholar
[20] Wen Y Y, Li X Y, Zhang Y R, Song Y H, Wang Y N 2022 J. Phys. D: Appl. Phys. 55 200001
Google Scholar
[21] Vasenkov A V, Li X, Oehrlein G S, Kushner M J 2004 J. Vac. Sci. Technol. , A 22 511-530
Google Scholar
[22] Zhang Y R, Bogaerts A, Wang Y N 2012 J. Phys. D: Appl. Phys. 45 485204
Google Scholar
-
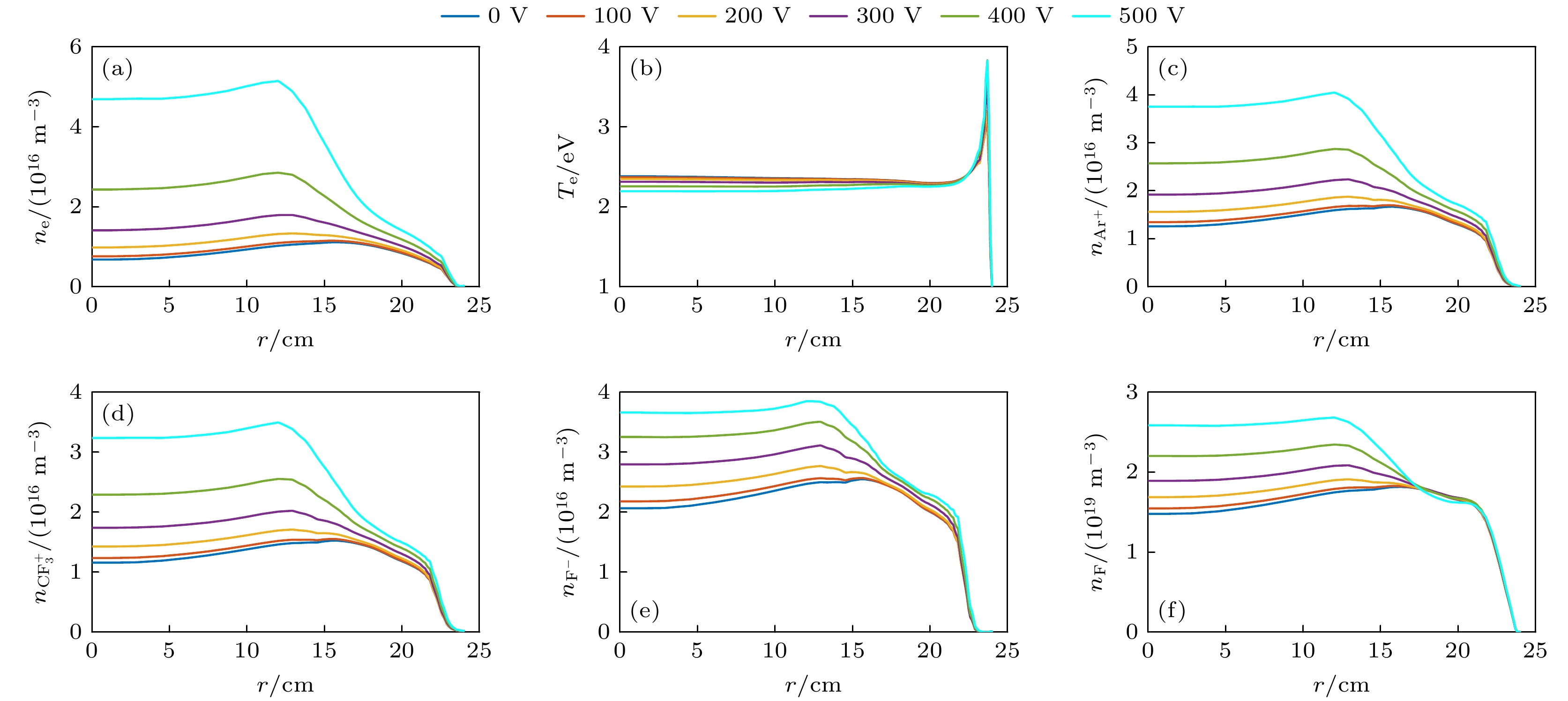
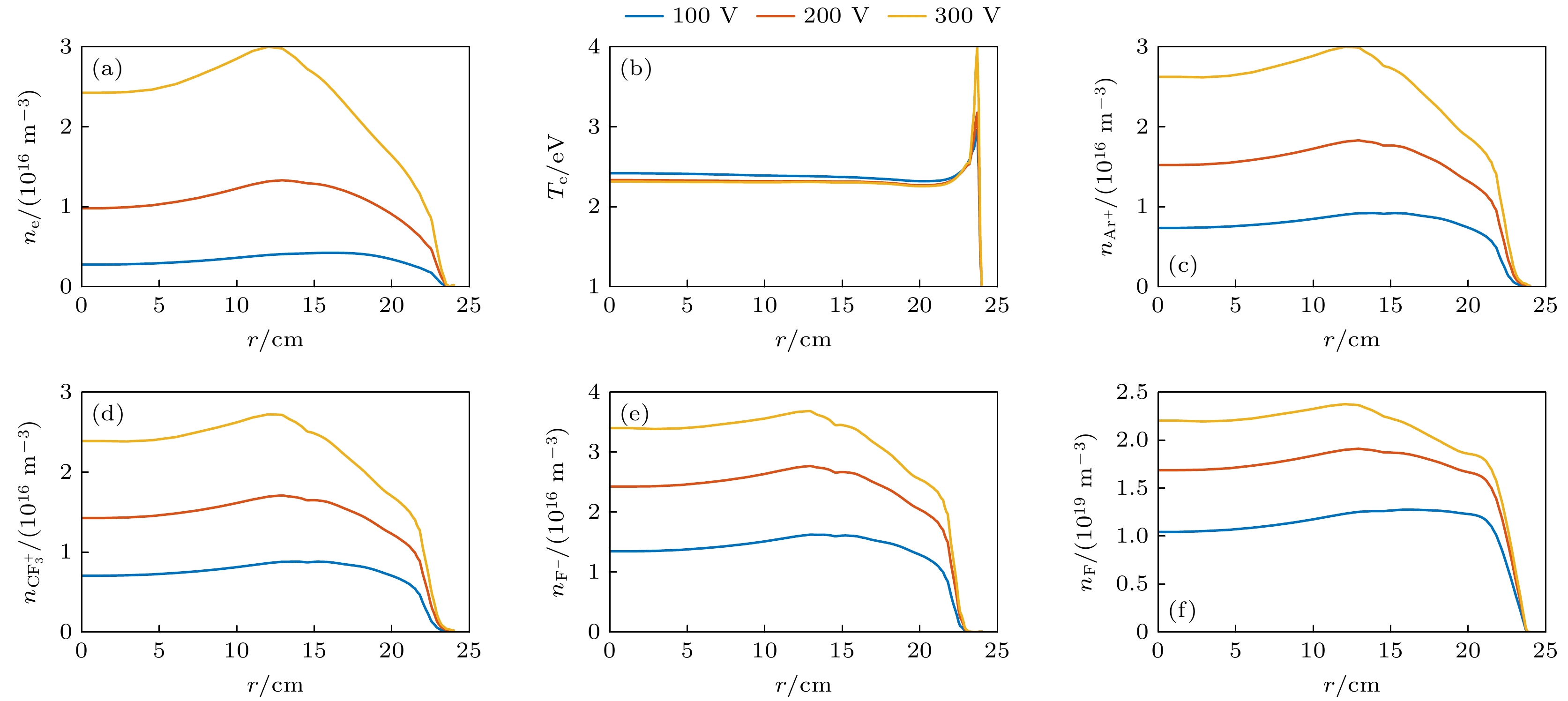
图 6 不同低频电压下(a)电子密度、(b)电子温度、(c) Ar+离子密度、(d) $\rm CF_3^+ $离子密度、(e) F–离子密度和(f) F原子密度的r方向空间分布
Figure 6. The radial spatial distribution of (a) electron density, (b) electron temperature, (c) Ar+ density, (d) $\rm CF_3^+ $ density, (e) F– density, and (f) F density under different low-frequency voltages.
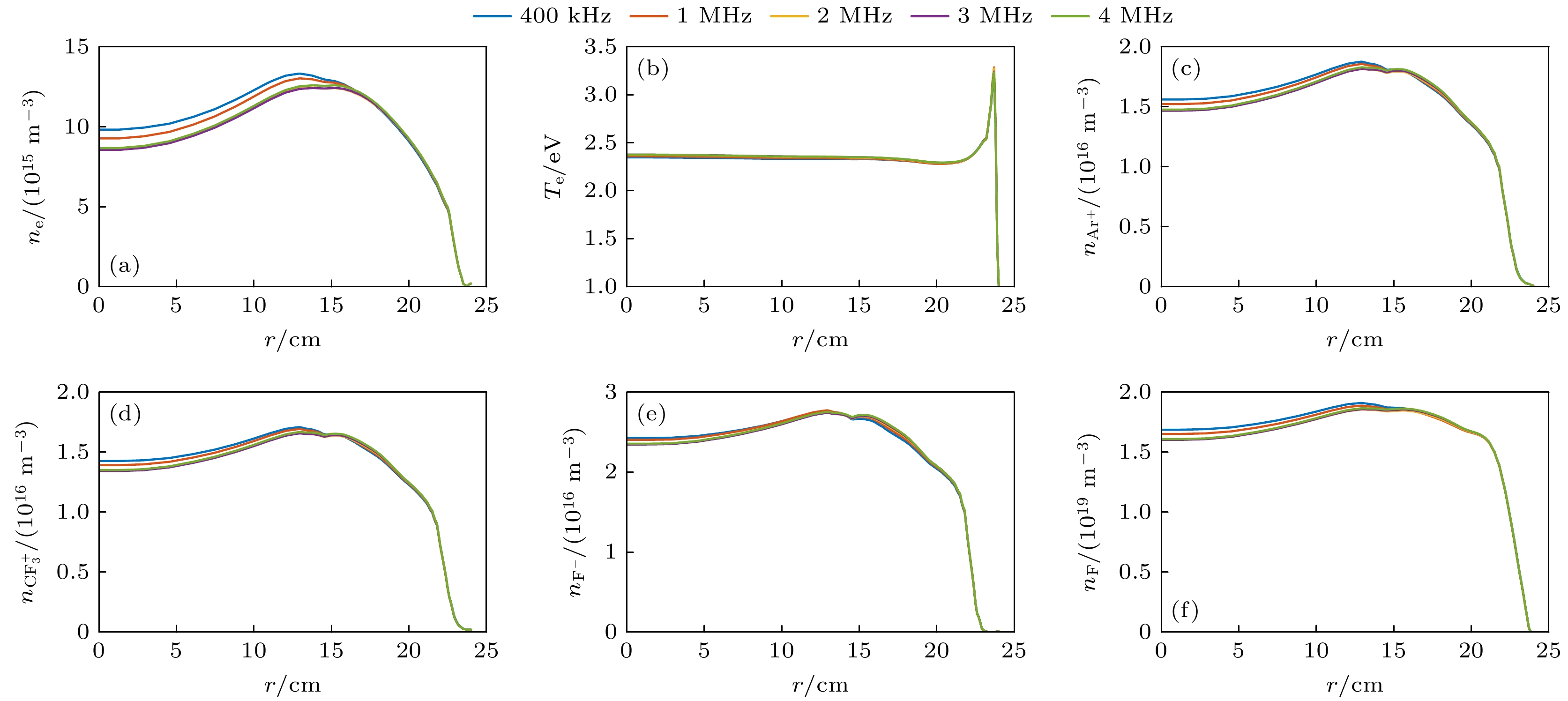
图 8 不同高频电压下(a)电子密度、(b)电子温度、(c) Ar+离子密度、(d) $\rm CF_3^+$离子密度、(e) F–离子密度、(f) F原子密度的r方向空间分布
Figure 8. The radial spatial distribution of (a) electron density, (b) electron temperature, (c) Ar+ density, (d) $\rm CF_3^+ $ density, (e) F– density, and (f) F density under different high-frequency voltages.
表 1 模型中考虑的碰撞反应
Table 1. Collision reactions considered in the model.
编号 反应表达式 文献 编号 反应表达式 文献 1 e + Ar → e + Ar [19] 39 e + CF4 → CF3 + F– [19] 2 Ar+ + Ar → Ar+ + Ar [19] 40 $\rm e + CF_4 \to CF_3^- + F $ [19] 3 $\rm CF_3^+ + Ar \to CF_3^+ + Ar $ [19] 41 F– + CF3 → e + CF4 [19] 4 $\rm CF_2^+ + Ar \to CF_2^+ + Ar $ [19] 42 F– + CF2 → e + CF3 [19] 5 CF+ + Ar → CF+ + Ar [19] 43 F– + CF → e + CF2 [19] 6 F+ + Ar → F+ + Ar [19] 44 F– + F → e + F2 [19] 7 F– + Ar → F– + Ar [19] 45 $\rm CF_3^- + CF_3^+ \to 2CF_3 $ [19] 8 $\rm CF_3^- + Ar \to CF_3^- + Ar $ [19] 46 $\rm F^- + CF_3^+ \to CF_3 + F $ [19] 9 Ar* + Ar → Ar* + Ar [19] 47 $\rm F^ + CF_3^+ \to CF_2 + F_2 $ [19] 10 CF3 + Ar → CF3 + Ar [19] 48 $\rm F^- + CF_2^+ \to CF_2 + F $ [19] 11 CF2 + Ar → CF2 + Ar [19] 49 $\rm F^- + CF_2^+ \to CF + F_2 $ [19] 12 CF + Ar → CF + Ar [19] 50 F– + CF+ → CF + F [19] 13 F2 + Ar → F2 + Ar [19] 51 F– + F+ → 2F [19] 14 F + Ar → F + Ar [19] 52 $\rm CF_3^- + CF_2^+ \to CF_3 + CF_2 $ [19] 15 e + CF4 → e + CF4 [19] 53 $\rm CF_3^- + CF^+ \to CF_3 + CF $ [19] 16 Ar+ + CF4 → Ar+ + CF4 [19] 54 $\rm CF_3^- + F^+ \to CF_3 + F $ [19] 17 $\rm CF_3^+ + CF_4 \to CF_3^+ + CF_4 $ [19] 55 $\rm CF_2^+ + CF_3 \to CF_3^+ + CF_2 $ [19] 18 $\rm CF_2^+ + CF_4 \to CF_2^+ + CF_4 $ [19] 56 $\rm CF^+ + CF_3 \to CF_3^+ + CF $ [19] 19 CF+ + CF4 → CF+ + CF4 [19] 57 $\rm CF^+ + CF_2 \to CF_2^+ + CF $ [19] 20 F+ + CF4 → F+ + CF4 [19] 58 F + CF3 → CF4 [19] 21 F– + CF4 → F– + CF4 [19] 59 F + CF2 → CF3 [19] 22 $\rm CF_3^- + CF_4 \to CF_3^- + CF_4 $ [19] 60 F + CF → CF2 [19] 23 Ar* + CF4 → Ar* + CF4 [19] 61 F2 + CF3 → CF4 + F [19] 24 CF3 + CF4 → CF3 + CF4 [19] 62 F2 + CF2 → CF3 + F [19] 25 CF2 + CF4 → CF2 + CF4 [19] 63 $\rm CF_3^- + F\to CF_3 + F^- $ [19] 26 CF + CF4 → CF + CF4 [19] 64 e + Ar → 2e + Ar+ [20] 27 F2 + CF4 → F2 + CF4 [19] 65 e + Ar → e + Ar* [20] 28 F + CF4 → F + CF4 [19] 66 e + Ar* → 2e + Ar+ [20] 29 Ar + Ar → Ar + Ar [19] 67 Ar* + Ar* → e + Ar + Ar+ [20] 30 CF4 + CF4 → CF4 + CF4 [19] 68 Ar* + CF2 → Ar + CF + F [21] 31 Ar + CF4 → Ar + CF4 [19] 69 Ar* + CF3 → Ar + CF2 + F [21] 32 e + CF4 → e + CF3 + F [19] 70 Ar* + CF4 → Ar + CF2 + F2 [21] 33 e + CF4 → e + CF2 + 2F [19] 71 Ar+ + CF2 → Ar + CF+ + F [21] 34 e + CF4 → e + CF + 3F [19] 72 $\rm Ar^+ + CF_3 \to Ar + CF_2^+ + F $ [21] 35 $\rm e + CF_4 \to 2e + CF_3^+ + F $ [19] 73 $\rm Ar^+ + CF_4 \to Ar + CF_3^+ + F $ [22] 36 $\rm e + CF_4 \to 2e + CF_2^+ + 2F $ [19] 74 $\rm Ar^+ + CF_3^- \to Ar + CF_3 $ [21] 37 e + CF4 → 2e + CF+ + 3F [19] 75 Ar+ + F– → Ar + F [21] 38 e + CF4 → 2e + CF3 + F+ [19] 76 $\rm CF_3^+ + Ar\to CF_3 + Ar^+ $ [21] -
[1] Lieberman M A, Lichtenberg A J 2005 Principles of Plasma Discharges and Materials Processing (New York: Wiley) pp387−457
[2] 王友年, 宋远红, 张钰如 2024 射频等离子体物理基础(北京: 科学出版社) 第236页
Wang Y N, Song Y H, Zhang Y R 2024 Fundamentals of Radio-frequency Plasma Physics (Beijing: Science Press) p236
[3] Zorat R, Goss J, Boilson D, Vender D 2000 Plasma Sources Sci. Technol. 9 161
Google Scholar
[4] Kimura T, Kasugai H 2010 J. Appl. Phys. 107 083308
Google Scholar
[5] Saikia P, Bhuyan H, Escalona M, Favre M, Rawat R S, Wyndham E 2018 AIP Adv. 8 045113
Google Scholar
[6] Donkó Z, Derzsi A, Vass M, Horváth B, Wilczek S, Hartmann B, Hartmann P 2021 Plasma Sources Sci. Technol. 30 095017
Google Scholar
[7] Vahedi V, DiPeso G, Birdsall C K, Lieberman M A, Rognlien T D 1993 Plasma Sources Sci. Technol. 2 261
Google Scholar
[8] Wünderlich D, Gutser R, Fantz U 2009 Plasma Sources Sci. Technol. 18 045031
Google Scholar
[9] Passchier J D P, Goedheer W J 1993 J. Appl. Phys. 74 3744
Google Scholar
[10] Alves L L, Marques L 2012 Plasma Phys. Controlled Fusion 54 124012
Google Scholar
[11] Graves D B 1987 J. Appl. Phys. 62 88
Google Scholar
[12] Kushner M J 2009 J. Phys. D: Appl. Phys. 42 194013
Google Scholar
[13] Kushner M J 2007 IEEE Trans. Plasma Sci. 14 188
[14] Yang Y, Kushner M J 2010 Plasma Sources Sci. Technol. 19 055011
Google Scholar
[15] Model Low-Temperature Plasma Sources with the Plasma Module https://www.comsol.com/plasma-module [2025-8-16]
[16] Benchmark Model of a Capacitively Coupled Plasma https://www.comsol.com/model/benchmark-model-of-a-capacitively-coupled-plasma-11745 [2025-8-16]
[17] Model of an Argon/Chlorine Inductively Coupled Plasma Reactor with RF Bias https://www.comsol.com/model/model-of-an-argonchlorine-inductively-coupled-plasma-reactor-with-rf-bias-110171 [2025-8-16]
[18] Model of an Argon/Oxygen Capacitively Coupled Plasma Reactor https://www.comsol.com/model/model-of-an-argonoxygen-capacitively-coupled-plasma-reactor-108931 [2025-8-16]
[19] Li J Z, Zhao M L, Zhang Y R, Gao F, Wang Y N 2025 Comput. Phys. Commun. 307 109392
Google Scholar
[20] Wen Y Y, Li X Y, Zhang Y R, Song Y H, Wang Y N 2022 J. Phys. D: Appl. Phys. 55 200001
Google Scholar
[21] Vasenkov A V, Li X, Oehrlein G S, Kushner M J 2004 J. Vac. Sci. Technol. , A 22 511-530
Google Scholar
[22] Zhang Y R, Bogaerts A, Wang Y N 2012 J. Phys. D: Appl. Phys. 45 485204
Google Scholar
Catalog
Metrics
- Abstract views: 628
- PDF Downloads: 26
- Cited By: 0









DownLoad: