-
The micro-newton-level cusped field Hall thruster is an electric propulsion device that employs microwave-assisted ionization control. It serves as an actuator in drag-free control systems, ensuring control accuracy and stability by providing continuously adjustable thrust over a wide range. However, a mode transition occurring in the regulation process can lead to a sudden change in anode current, thereby degrading control precision and stability. Therefore, it is necessary to investigate the underlying patterns of mode transition. This study examines the variations in internal plasma parameters and discharge characteristics of the thruster before and after microwave mode transition, primarily through probe diagnostics. Experimental results indicate that prior to mode transition, the plasma luminous region is primarily concentrated within the electron cyclotron resonance (ECR) area, approximately 1–3 mm upstream of the anode. After the transition, the luminous region moves further upstream, and the plasma density near the anode exceeds the cutoff density, dropping sharply along the axial direction. The fundamental cause of the change in electron heating mechanism is the alteration in the propagation characteristics of fundamental waves due to this plasma density variation. When the plasma density rises to the cutoff density, the R-wave and O-wave, which drive ionization, are rapidly attenuated or reflected. At this point, the R-wave cannot reach the resonance layer, causing the dominant ECR ionization to become ineffective. The ionization mechanism shifts from being dominated by the R-wave and O-wave to being dominated primarily by the O-wave. Consequently, the electron heating mechanism shifts from volume heating to surface wave heating. This research will provide a basis for subsequently optimizing microwave transmission in the thruster and for reducing the threshold at which mode transition occurs.
-
Keywords:
- cusped field Hall thruster /
- mode transition /
- probe diagnostics /
- wave-plasma interactions
[1] Kawamura S, Nakamura T, Ando M, I–II–et al. 2006 Classical Quantum Gravity 23 S125
Google Scholar
[2] Cornelisse J W 1996 Classical Quantum Gravity 13 A251
Google Scholar
[3] Vetrugno D 2017 Int. J. Mod. Phys. D 26 1741023
Google Scholar
[4] Mueller G 2024 Optics and Photonics for Advanced Dimensional Metrology III Strasbourg, FRANCE 2024 p27
[5] Sala L 2025 IL Nuovo Cimento C 48 103
[6] Cui K, Liu H, Jiang W, Yu D 2020 Microgravity Sci. Technol. 32 189
Google Scholar
[7] Liu H, Zeng M, Niu X, Huang H Y, Yu D R 2021 Appl. Sci. -Basel 11 6549
Google Scholar
[8] Liu H, Niu X, Zeng M, Wang S S, Cui K, Yu D R 2022 Acta Astronaut. 193 496
Google Scholar
[9] Chen Y, Wu J, Shen Y, Cao S 2024 Aerospace 11 329
Google Scholar
[10] Liu H, Zeng M, Chen Z, Qiao L, Huang H, Yu D 2021 Plasma Sources Sci. Technol. 30 09LT01
Google Scholar
[11] Zeng M, Liu H, Chen Z, Huang H, Yu D 2021 Vacuum 192 110486
Google Scholar
[12] Zeng M, Liu H, Chen Y, Wu J, Wang S, Huang H, Yu D 2022 Vacuum 205 111486
Google Scholar
[13] Zeng M, Liu H, Huang H, Yu D 2023 J. Phys. D: Appl. Phys. 56 215203
Google Scholar
[14] Fukuda T, Ueda S, Ohnishi Y, Inomoto M, Abe T 2008 RARIFIED GAS DYNAMICS: Proceedings of the 26th International Symposium on Rarified Gas Dynamics Kyoto (Japan), June 20–July 25, 2008 pp923−928
[15] Tsukizaki R, Ise T, Koizumi H, Togo H, Nishiyama K, Kuninaka H 2014 J. Propul. Power 30 1383
Google Scholar
[16] Tani Y, Tsukizaki R, Koda D, Nishiyama K, Kuninaka H 2019 Acta Astronaut. 157 425
Google Scholar
[17] Tani Y, Yamashita Y, Tsukizaki R, Nishiyama K, Kuninaka H 2020 Acta Astronaut. 176 77
Google Scholar
[18] Yamashita Y, Tsukizaki R, Daiki K, Tani Y, Shirakawa R, Hattori K, Nishiyama K 2021 Acta Astronaut. 185 179
Google Scholar
[19] Yamashita Y, Tsukizaki R, Nishiyama K 2021 Plasma Sources Sci. Technol. 30 095023
Google Scholar
[20] Gao Y, Fan W, Hu P, Liu H, Yu D 2020 Plasma Sources Sci. Technol. 29 095021
Google Scholar
[21] Yang Y R, Fu S H, Ding Z F 2022 AIP Adv. 12 055325
Google Scholar
[22] Li J, Fu S, Yang Y, Ding Z 2021 Plasma Sci. Technol. 23 085506
Google Scholar
[23] Fu S H, Ding Z F 2021 Phys. Plasmas 28 033510
Google Scholar
[24] Fu S H, Ding Z F 2021 Plasma Sources Sci. Technol. 30 125004
Google Scholar
[25] Ding Z F, Yang Y R, Fu S H 2023 AIP Adv. 13 095007
Google Scholar
[26] Fu S H, Tian L C, Ding Z F 2022 Plasma Sources Sci. Technol. 31 025004
Google Scholar
[27] Zeng M, Liu H, Huang H, Yu D 2023 Plasma Sources Sci. Technol. 32 095014
Google Scholar
[28] Chen F F, Arnush D 2001 Phys. Plasmas 8 5051
Google Scholar
[29] Sugai H, Ghanashev I, Mizuno K 2000 Appl. Phys. Lett. 77 3523
Google Scholar
[30] Bittencourt J A 2004 Fundamentals of Plasma Physics (New York: Springer New York) pp400–452
[31] 李鑫, 曾明, 刘辉, 宁中喜, 于达仁 2023 72 225202
Google Scholar
Li X, Zeng M, Liu H, Ning Z X, Yu D R 2023 Acta Phys. Sin. 72 225202
Google Scholar
-
图 4 阳极电压、微波功率调节结果 (a) 4 W微波功率下调控阳极电压300—700 V, 阳极电流变化结果; (b) 500 V阳极电压下调控微波功率1—5 W, 阳极电流变化结果
Figure 4. Results of anode voltage and microwave power regulation: (a) Variation of anode current with anode voltage regulated from 300 to 700 V at a fixed microwave power of 4 W; (b) variation of anode current with microwave power regulated from 1 to 5 W at a fixed anode voltage of 500 V.
图 5 两种不同工况下等离子体亮区的分布 (a) 0.3 sccm/2 W工况在等离子体亮区阳极前端; (b) 0.4 sccm/4 W工况等离子体亮区退至阳极端面后
Figure 5. Distribution of the plasma luminous region under two different operating conditions: (a) Distribution of the plasma luminous region upstream of the anode under the condition of 0.3 sccm and 2 W; (b) plasma luminous region recedes downstream beyond the anode end-face under the condition of 0.4 sccm and 4 W.
图 7 无直流电压下驻波比与反射系数随着调控参数而发生突变 (a) 1—5 W微波功率变化下驻波比与反射系数显著增大; (b) 0.1—0.5 sccm工质流量下驻波比与反射系数显著增大
Figure 7. Abrupt changes in VSWR and reflection coefficient with control parameters in the absence of a DC voltage: (a) Significant increase in VSWR and reflection coefficient with microwave power varied from 1 to 5 W; (b) sharp rise in VSWR and reflection coefficient with propellant flow rate adjusted from 0.1 to 0.5 sccm.
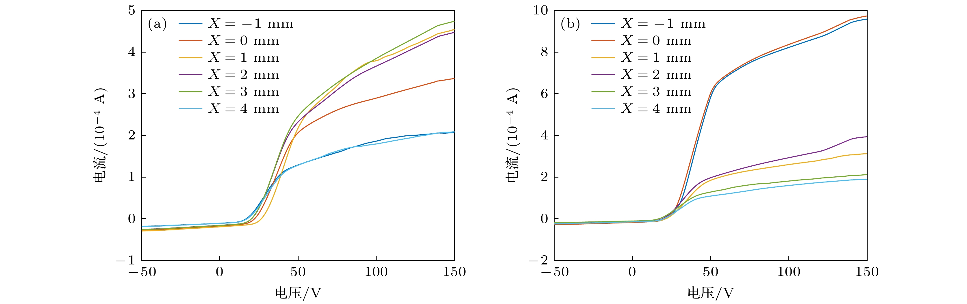
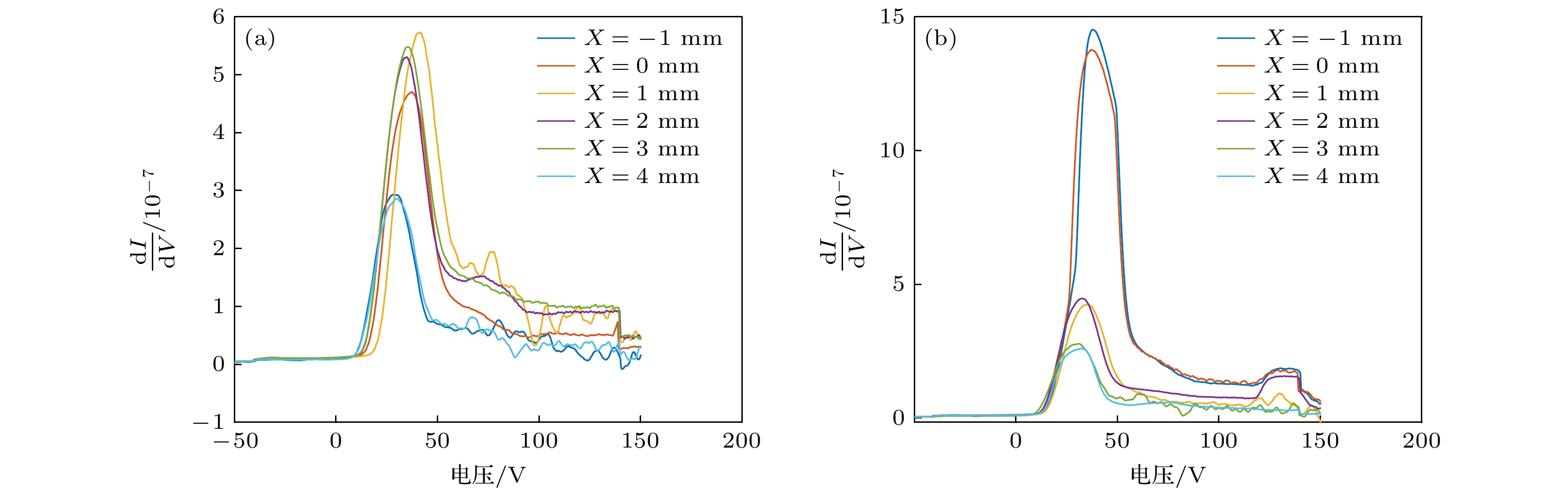
图 10 模式转换前后I-V曲线的一阶导数分布 (a) 模式转换前X = –1—4 mm I-V曲线的一阶导数分布; (b) 模式转换后X = –1—4 mm I-V曲线的一阶导数分布
Figure 10. Profiles of the first derivative of the I-V curves before and after mode transition: (a) Distribution of the first derivative for I-V curves at X = –1 to 4 mm before mode transition; (b) distribution of the first derivative for I-V curves at X = –1 to 4 mm after mode transition.
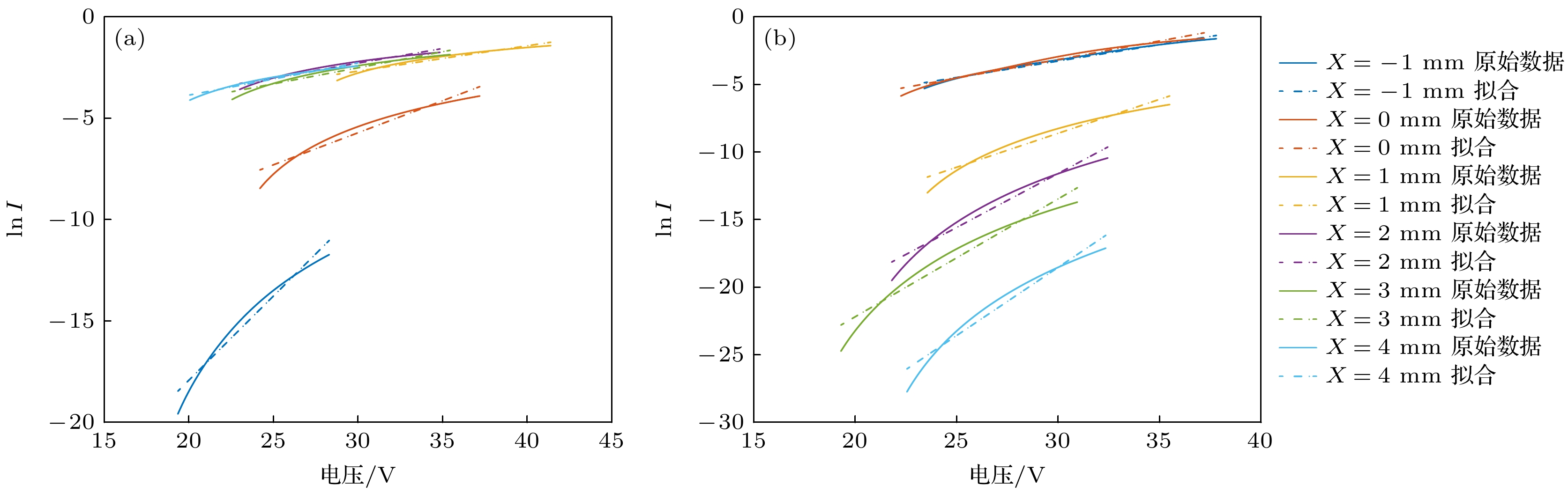
图 11 模式转换前后电子温度拟合曲线 (a) 模式转换前X = –1—4 mm测点处电子温度拟合直线; (b) 模式转换后X = –1—4 mm测点处电子温度拟合直线
Figure 11. Fitting curves for electron temperature before and after mode transition: (a) Linear fits to the electron temperature at measurement points from X = –1 to 4 mm before mode transition; (b) linear fits to the electron temperature at measurement points from X = –1 to 4 mm after mode transition.
图 12 模式转换过程中推力器通道内等离子体参数的变化 (a) 模式转换前通道内各测点的电子温度及等离子体密度; (b) 模式转换后通道内各测点的电子温度及等离子体密度
Figure 12. Evolution of plasma parameters within the thruster channel during the mode transition process: (a) Electron temperature and plasma density at various measurement locations within the channel before mode transition; (b) electron temperature and plasma density at various measurement locations within the channel after mode transition.
-
[1] Kawamura S, Nakamura T, Ando M, I–II–et al. 2006 Classical Quantum Gravity 23 S125
Google Scholar
[2] Cornelisse J W 1996 Classical Quantum Gravity 13 A251
Google Scholar
[3] Vetrugno D 2017 Int. J. Mod. Phys. D 26 1741023
Google Scholar
[4] Mueller G 2024 Optics and Photonics for Advanced Dimensional Metrology III Strasbourg, FRANCE 2024 p27
[5] Sala L 2025 IL Nuovo Cimento C 48 103
[6] Cui K, Liu H, Jiang W, Yu D 2020 Microgravity Sci. Technol. 32 189
Google Scholar
[7] Liu H, Zeng M, Niu X, Huang H Y, Yu D R 2021 Appl. Sci. -Basel 11 6549
Google Scholar
[8] Liu H, Niu X, Zeng M, Wang S S, Cui K, Yu D R 2022 Acta Astronaut. 193 496
Google Scholar
[9] Chen Y, Wu J, Shen Y, Cao S 2024 Aerospace 11 329
Google Scholar
[10] Liu H, Zeng M, Chen Z, Qiao L, Huang H, Yu D 2021 Plasma Sources Sci. Technol. 30 09LT01
Google Scholar
[11] Zeng M, Liu H, Chen Z, Huang H, Yu D 2021 Vacuum 192 110486
Google Scholar
[12] Zeng M, Liu H, Chen Y, Wu J, Wang S, Huang H, Yu D 2022 Vacuum 205 111486
Google Scholar
[13] Zeng M, Liu H, Huang H, Yu D 2023 J. Phys. D: Appl. Phys. 56 215203
Google Scholar
[14] Fukuda T, Ueda S, Ohnishi Y, Inomoto M, Abe T 2008 RARIFIED GAS DYNAMICS: Proceedings of the 26th International Symposium on Rarified Gas Dynamics Kyoto (Japan), June 20–July 25, 2008 pp923−928
[15] Tsukizaki R, Ise T, Koizumi H, Togo H, Nishiyama K, Kuninaka H 2014 J. Propul. Power 30 1383
Google Scholar
[16] Tani Y, Tsukizaki R, Koda D, Nishiyama K, Kuninaka H 2019 Acta Astronaut. 157 425
Google Scholar
[17] Tani Y, Yamashita Y, Tsukizaki R, Nishiyama K, Kuninaka H 2020 Acta Astronaut. 176 77
Google Scholar
[18] Yamashita Y, Tsukizaki R, Daiki K, Tani Y, Shirakawa R, Hattori K, Nishiyama K 2021 Acta Astronaut. 185 179
Google Scholar
[19] Yamashita Y, Tsukizaki R, Nishiyama K 2021 Plasma Sources Sci. Technol. 30 095023
Google Scholar
[20] Gao Y, Fan W, Hu P, Liu H, Yu D 2020 Plasma Sources Sci. Technol. 29 095021
Google Scholar
[21] Yang Y R, Fu S H, Ding Z F 2022 AIP Adv. 12 055325
Google Scholar
[22] Li J, Fu S, Yang Y, Ding Z 2021 Plasma Sci. Technol. 23 085506
Google Scholar
[23] Fu S H, Ding Z F 2021 Phys. Plasmas 28 033510
Google Scholar
[24] Fu S H, Ding Z F 2021 Plasma Sources Sci. Technol. 30 125004
Google Scholar
[25] Ding Z F, Yang Y R, Fu S H 2023 AIP Adv. 13 095007
Google Scholar
[26] Fu S H, Tian L C, Ding Z F 2022 Plasma Sources Sci. Technol. 31 025004
Google Scholar
[27] Zeng M, Liu H, Huang H, Yu D 2023 Plasma Sources Sci. Technol. 32 095014
Google Scholar
[28] Chen F F, Arnush D 2001 Phys. Plasmas 8 5051
Google Scholar
[29] Sugai H, Ghanashev I, Mizuno K 2000 Appl. Phys. Lett. 77 3523
Google Scholar
[30] Bittencourt J A 2004 Fundamentals of Plasma Physics (New York: Springer New York) pp400–452
[31] 李鑫, 曾明, 刘辉, 宁中喜, 于达仁 2023 72 225202
Google Scholar
Li X, Zeng M, Liu H, Ning Z X, Yu D R 2023 Acta Phys. Sin. 72 225202
Google Scholar
Catalog
Metrics
- Abstract views: 277
- PDF Downloads: 13
- Cited By: 0









DownLoad: