-
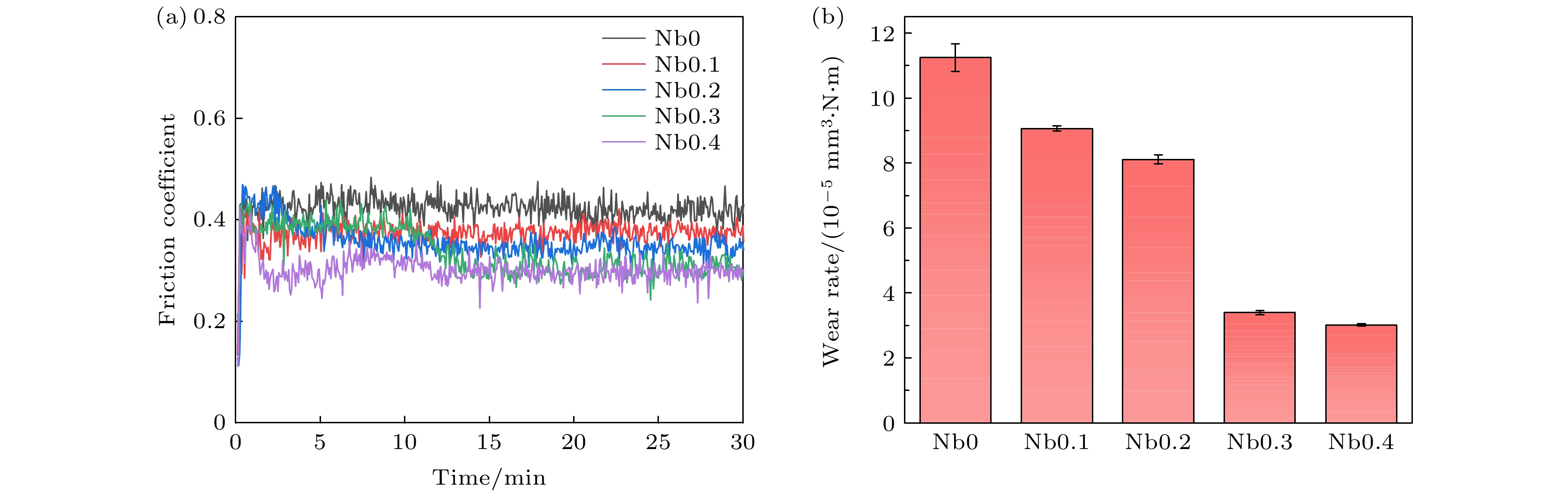
AlCoCrFeNi high-entropy alloys have consistently attracted attention due to their outstanding strength-to-ductility ratio. However, the substantial content of expensive cobalt in these alloys has somewhat limited their engineering applications. Consequently, there is an urgent need to design and develop high-performance, low-cost cobalt-free high-entropy alloys. AlCrFeNi alloys exhibit microstructures and properties similar to AlCoCrFeNi alloys. Simultaneously, the absence of Co significantly reduces costs and markedly improves casting performance. These alloys represent a potential structural material for harsh environments, demonstrating promising engineering applications. In order to explore the phase modulation mechanism of Nb element on AlCrFeNi alloy, this study combines experiments with first principles calculations to systematically investigate the effects of Nb on the microstructure, mechanical properties and wear resistance of AlCrFeNi alloy. The research results show that the AlCrFeNiNb0.4 high-entropy alloy has the best mechanical properties and wear resistance.The doping of Nb changes the wear mechanism of the AlCrFeNi alloy and improves the wear resistance of the alloy. This is attributed to the phase modulation effect of Nb on AlCrFeNi alloy. On the one hand, it induces the precipitation of Laves phase, which has high hardness, and on the other hand, it solidly dissolves in the BCC and B2 phases of the alloy, significantly improving the mechanical properties of the two phases. In addition, Nb doping refines the microstructure of the AlCrFeNi alloy, which leads to an increase in the phase interface density, thus enhancing the hardness, yield strength and wear resistance of the alloy. First principles calculations show that the Nb atoms change the electronic structures of the BCC and B2 phases in the AlCrFeNi alloy, thereby enhancing the stability of the two phases and confirming the solid solution strengthening effect of Nb on the two phases. The Nb atoms form strong antibonds with most of the atoms in the two phases, which further explains the nature of the generation of a large number of Laves phases in the microstructure of the alloy after Nb doping.
-
Keywords:
- AlCrFeNiNbx high-entropy alloys /
- first principles /
- mechanical properties /
- wear behavior
[1] Yeh J W, Chen S K, Lin S J, Gan J Y, Chin T S, Shun T T, Chang S Y 2004 Adv. Eng. Mater. 6 299
Google Scholar
[2] Braeckman B R, Boydens F, Hidalgo H, Dutheil P, Jullien M, Thomann A L, Depla D 2015 Thin Solid Films 580 71
Google Scholar
[3] Tsai M H, Yeh J W 2014 Mater. Res. Lett. 2 107
Google Scholar
[4] Tsai K Y, Tsai M H, Ye J W 2013 Acta Mater. 61 4887
Google Scholar
[5] Dong Y, Lu Y P, Kong J R, Zhang J J, Li T J 2013 J. Alloys Compd. 573 96
Google Scholar
[6] Ding Q Q, Zhang Y, Chen X, Fu X Q, Chen D K, Chen S J, Gu L, Wei F, Bei H B, Gao Y F, Wen M R, Li J X, Zhang Z, Zhu T, Ritchie R O, Yu Q 2019 Nature 574 223
Google Scholar
[7] Yang Y F, Hu F, Xia T, Li R H, Bai J Y, Zhu J Q, Zhang G F 2024 J. Alloys Compd. 986 177691
[8] Hua Z L, Guo L, Zhang Y, Dai Y L, Zhang D C, Mei F S, Lin J G 2025 Intermetallics 180 108711
Google Scholar
[9] Tian T, Zhang X L, Xue Y Z, Huang H B, Jiang Q Q, Tang J G 2024 Mol. Catal. 569 114571
[10] Liu J H, Li Z H, Lin D Y, Tang Z X, Song X G, He P, Zhang S Y, Bian H, Fu W, Song Y 2024 J. Mater. Sci. Technol. 189 211
Google Scholar
[11] Sonar T, Ivanov M, Trofimov E, Tingaev A, Suleymanova I 2024 Mater. Sci. Energy Technol. 7 35
[12] Zhao Q, Ren Z X, Zhao P W, Yoshida K 2025 Phys. Lett. B 860 139196
Google Scholar
[13] Gutierrez R E, Matanovic I, Polak M P, Morgan D, Schamiloglu E 2025 J. Electron Spectrosc. Relat. Phenom. 278 147512
Google Scholar
[14] Doan D Q, Fang T H, Chen T H 2021 Sci. Rep. 11 13680
Google Scholar
[15] Zhang Y, Zuo T T, Tang Z, Gao M C, Dahmen K A, Liaw P K, Lu Z P 2014 Prog. Mater. Sci. 61 1
Google Scholar
[16] Jiang Z F, Chen W P, Xia Z B, Xiong W, Fu Z Q 2019 Intermetallics 108 45
Google Scholar
[17] Zhang J J, Yang J J, Liu T G, Tian D H, Liu H C, Yang G C, Lu Y H, Shoji T 2024 J. Mater. Res. Technol. 33 6688
Google Scholar
[18] Ma Q, Zhao W, Li X, Gao W F, Zhang H, Ma X, Lv Y X, Xiao G C 2024 Mater. Charact. 215 114146
Google Scholar
[19] Wang Z W, Li Y C, Dong H, Wang Y 2025 Tribol. Int. 202 110379
Google Scholar
[20] Munitz A, Salhov S, Guttmann G, Derimow N, Nahmany M 2019 Mater. Sci. Eng. A 742 1
Google Scholar
[21] Segall M D, Lindan P J, Probert M A, Pickard C J, Hasnip P J, Clark S J, Payne M C 2002 J. Phys. Condens. Matter 14 2717
Google Scholar
[22] Wu T, Yang C, Yu L T, Zheng X F, Zhang L F, Jiang Y T, Xue X P, Lu Y H, Luan B L 2024 Appl. Surf. Sci. 677 161032
Google Scholar
[23] Li Z, Gain A K, Cui Y L, Zhang L C 2025 Wear 570 205934
Google Scholar
[24] Xie Y J, Jiang W Y, Xu K G, Wen X, Huang B S 2025 Mater. Today Commun. 43 111662
Google Scholar
[25] Kang H Y, Yang X H, Sun X Y, Wang C Y, Xiao P 2025 J. Alloys Compd. 1010 177873
Google Scholar
[26] Liu S, Zhan Y Z, Wu J Y, Chen X X, Ye H M 2016 Comput. Mater. Sci. 117 1
Google Scholar
[27] Chen X Q, Niu H Y, Li D Z, Li Y Y 2011 Intermetallics 19 1275
Google Scholar
[28] Sun L, Huang Y D, Zhao K F, Chen Z M, Shang X T, Xu W, Zhai W Y, Han P Y, Jia J, Peng J H 2025 Comput. Condens. Matter 43 e01027
Google Scholar
[29] Pugh S F 1954 Philos. Mag. 45 823
Google Scholar
[30] Hu W C, Liu Y, Li D J, Li K, Jin H L, Xu Y X, Zeng X Q 2014 Philos. Mag. 94 3945
Google Scholar
-
表 1 各相成分值
Table 1. Component values at each phase.
Alloys Phases Al/% Cr/% Fe/% Ni/% Nb/% Nb0 BCC 10.41 44.02 37.57 7.99 0 B2 37.96 9.03 13.15 39.86 0 Nb0.1 BCC 10.77 46.23 35.73 6.70 0.57 B2 32.70 13.13 16.97 35.86 1.34 Laves 9.33 22.83 31.60 10.86 25.37 Nb0.2 BCC 9.13 46.35 36.03 6.23 2.26 B2 32.27 13.85 16.60 35.92 1.36 Laves 10.41 23.43 29.39 11.05 25.72 Nb0.3 BCC 10.30 42.97 36.25 7.04 3.45 B2 37.34 10.14 13.26 37.81 1.45 Laves 10.73 23.36 29.40 10.84 25.67 Nb0.4 BCC 10.79 39.49 35.14 7.36 7.23 B2 34.32 12.44 15.00 36.80 1.47 Laves 11.45 23.53 27.58 11.20 26.24 表 2 体系的总能量、缺陷形成能、形成热与结合能
Table 2. Total energy, defect formation energy, heat of formation, and binding energy of the systems.
System Site Ef H E Etotal Al2Cr8Fe8Ni2 — — –0.11667 –3.62827 –29079.07198 AlCr8Fe8Ni2Nb Al site 1.17184 –0.05808 –3.84808 –30623.59838 Al2Cr7Fe8Ni2Nb Cr site –0.00317 –0.11683 –3.90007 –28335.21599 Al2Cr8Fe7Ni2Nb Fe site 1.10657 –0.06134 –3.85692 –29872.04588 Al2Cr8Fe8NiNb Ni site 0.76522 –0.07841 –3.92992 –29358.95247 Al8Cr2Fe2Ni8 — — –0.34288 –3.47834 –18426.86037 Al7Cr2Fe2Ni8Nb Al site 0.51441 –0.31716 –3.73102 –19972.04421 Al8CrFe2Ni8Nb Cr site –0.67442 –0.37660 –3.78370 –17683.67563 Al8Cr2FeNi8Nb Fe site –1.45347 –0.41555 –3.83498 –19222.39432 Al8Cr2Fe2Ni7Nb Ni site –1.26742 –0.40625 –3.88161 –18708.77351 表 3 Nb掺杂前后BCC相键的布居数
Table 3. Bond populations in the BCC phase before and after Nb doping.
System Bond Population Length Al2Cr8Fe8Ni2 Ni—Ni 0.01 3.54777 Fe—Ni 0.11 3.24825 Fe—Fe 0.07 3.34922 Cr—Ni –0.03 3.48801 Cr—Fe –0.05 3.15932 Cr—Cr –0.37 3.28039 Al—Ni 0.11 3.42543 Al—Fe 0.11 3.20017 Al—Cr 0.08 3.05610 Al—Al 0.00 4.80639 Al2Cr7Fe8Ni2Nb Ni—Ni –0.02 3.73872 Fe—Ni 0.10 3.32775 Fe—Fe 0.07 3.34938 Cr—Ni –0.09 3.65638 Cr—Fe –0.05 3.13931 Cr—Cr –0.39 3.12486 Al—Ni 0.13 3.40228 Al—Fe 0.11 3.23175 Al—Cr 0.10 2.99913 Al—Al 0.00 4.85985 Ni—Nb 0.57 2.58120 Fe—Nb –0.03 3.32742 Cr—Nb –0.31 3.75318 Al—Nb –0.14 3.66437 表 4 Nb掺杂前后B2相键的布居数
Table 4. Bond populations in the BCC phase before and after Nb doping.
System Bond Population Length Al8Cr2Fe2Ni8 Al—Al 0.01 3.20558 Al—Cr –0.44 3.07520 Al—Fe 0.24 2.47738 Al—Ni 0.27 2.70429 Cr—Fe –1.00 2.44941 Cr—Ni –0.40 2.50288 Fe—Ni –0.15 3.07799 Ni—Ni –0.20 3.21284 Al8Cr2FeNi8Nb Al—Al –0.02 3.23276 Al—Cr –0.26 3.24161 Al—Fe 0.21 2.84415 Al—Nb 0.00 2.65091 Al—Ni 0.24 2.87858 Cr—Fe –0.73 2.46354 Cr—Nb –2.36 2.45989 Cr—Ni –0.19 2.74444 Fe—Ni –0.14 3.22725 Ni—Nb –0.33 3.26054 表 5 各体系的弹性刚度常数
Table 5. Elastic stiffness constants of systems.
Al2Cr8Fe8Ni2 Al2Cr7Fe8Ni2Nb Al8Cr2Fe2Ni8 Al8Cr2FeNi8Nb C11 128.29975 736.29805 270.3648 127.11465 C22 177.42665 215.33585 691.93215 203.93235 C33 267.0162 –375.11635 250.2832 1766.9252 C12 178.20038 343.45855 93.53145 74.19628 C23 160.14022 –33.38788 81.9077 256.06083 C13 177.82828 304.61232 97.42585 345.99403 C44 –92.7819 167.42425 31.8253 59.76855 C55 –22.91365 –568.51245 53.94125 71.5073 C66 81.31915 333.01795 64.64615 31.13195 表 6 各体系的弹性柔顺常数
Table 6. Elastic flexibility constants of systems.
Al2Cr8Fe8Ni2 Al2Cr7Fe8Ni2Nb Al8Cr2Fe2Ni8 Al8Cr2FeNi8Nb S11 –0.0156972 0.0004691 0.00475 0.0242321 S22 0.0010798 0.0025236 0.0015446 0.0065644 S33 0.005798 0.0088133 0.0054491 0.0021923 S12 0.0131561 0.0029681 –0.0004152 –0.0019679 S23 –0.0082161 –0.0063358 –0.0003173 –0.0007382 S13 0.0026282 –0.0003899 –0.002034 –0.0055097 S44 0.0106177 –0.0063815 0.0665176 0.0392295 S55 0.0225751 0.006832 0.0391124 0.0261333 S66 0.0115169 –0.0040258 0.0181006 0.038512 表 7 各体系的弹性常数
Table 7. Elastic constants of systems.
Systems B/GPa G/GPa E/GPa HV/GPa Al2Cr8Fe8Ni2 168.320 107.811 266.529 15.356 Al2Cr7Fe8Ni2Nb 216.860 137.470 340.468 17.906 Al8Cr2Fe2Ni8 178.191 63.838 171.084 5.431 Al8Cr2FeNi8Nb 221.891 79.373 212.751 6.325 -
[1] Yeh J W, Chen S K, Lin S J, Gan J Y, Chin T S, Shun T T, Chang S Y 2004 Adv. Eng. Mater. 6 299
Google Scholar
[2] Braeckman B R, Boydens F, Hidalgo H, Dutheil P, Jullien M, Thomann A L, Depla D 2015 Thin Solid Films 580 71
Google Scholar
[3] Tsai M H, Yeh J W 2014 Mater. Res. Lett. 2 107
Google Scholar
[4] Tsai K Y, Tsai M H, Ye J W 2013 Acta Mater. 61 4887
Google Scholar
[5] Dong Y, Lu Y P, Kong J R, Zhang J J, Li T J 2013 J. Alloys Compd. 573 96
Google Scholar
[6] Ding Q Q, Zhang Y, Chen X, Fu X Q, Chen D K, Chen S J, Gu L, Wei F, Bei H B, Gao Y F, Wen M R, Li J X, Zhang Z, Zhu T, Ritchie R O, Yu Q 2019 Nature 574 223
Google Scholar
[7] Yang Y F, Hu F, Xia T, Li R H, Bai J Y, Zhu J Q, Zhang G F 2024 J. Alloys Compd. 986 177691
[8] Hua Z L, Guo L, Zhang Y, Dai Y L, Zhang D C, Mei F S, Lin J G 2025 Intermetallics 180 108711
Google Scholar
[9] Tian T, Zhang X L, Xue Y Z, Huang H B, Jiang Q Q, Tang J G 2024 Mol. Catal. 569 114571
[10] Liu J H, Li Z H, Lin D Y, Tang Z X, Song X G, He P, Zhang S Y, Bian H, Fu W, Song Y 2024 J. Mater. Sci. Technol. 189 211
Google Scholar
[11] Sonar T, Ivanov M, Trofimov E, Tingaev A, Suleymanova I 2024 Mater. Sci. Energy Technol. 7 35
[12] Zhao Q, Ren Z X, Zhao P W, Yoshida K 2025 Phys. Lett. B 860 139196
Google Scholar
[13] Gutierrez R E, Matanovic I, Polak M P, Morgan D, Schamiloglu E 2025 J. Electron Spectrosc. Relat. Phenom. 278 147512
Google Scholar
[14] Doan D Q, Fang T H, Chen T H 2021 Sci. Rep. 11 13680
Google Scholar
[15] Zhang Y, Zuo T T, Tang Z, Gao M C, Dahmen K A, Liaw P K, Lu Z P 2014 Prog. Mater. Sci. 61 1
Google Scholar
[16] Jiang Z F, Chen W P, Xia Z B, Xiong W, Fu Z Q 2019 Intermetallics 108 45
Google Scholar
[17] Zhang J J, Yang J J, Liu T G, Tian D H, Liu H C, Yang G C, Lu Y H, Shoji T 2024 J. Mater. Res. Technol. 33 6688
Google Scholar
[18] Ma Q, Zhao W, Li X, Gao W F, Zhang H, Ma X, Lv Y X, Xiao G C 2024 Mater. Charact. 215 114146
Google Scholar
[19] Wang Z W, Li Y C, Dong H, Wang Y 2025 Tribol. Int. 202 110379
Google Scholar
[20] Munitz A, Salhov S, Guttmann G, Derimow N, Nahmany M 2019 Mater. Sci. Eng. A 742 1
Google Scholar
[21] Segall M D, Lindan P J, Probert M A, Pickard C J, Hasnip P J, Clark S J, Payne M C 2002 J. Phys. Condens. Matter 14 2717
Google Scholar
[22] Wu T, Yang C, Yu L T, Zheng X F, Zhang L F, Jiang Y T, Xue X P, Lu Y H, Luan B L 2024 Appl. Surf. Sci. 677 161032
Google Scholar
[23] Li Z, Gain A K, Cui Y L, Zhang L C 2025 Wear 570 205934
Google Scholar
[24] Xie Y J, Jiang W Y, Xu K G, Wen X, Huang B S 2025 Mater. Today Commun. 43 111662
Google Scholar
[25] Kang H Y, Yang X H, Sun X Y, Wang C Y, Xiao P 2025 J. Alloys Compd. 1010 177873
Google Scholar
[26] Liu S, Zhan Y Z, Wu J Y, Chen X X, Ye H M 2016 Comput. Mater. Sci. 117 1
Google Scholar
[27] Chen X Q, Niu H Y, Li D Z, Li Y Y 2011 Intermetallics 19 1275
Google Scholar
[28] Sun L, Huang Y D, Zhao K F, Chen Z M, Shang X T, Xu W, Zhai W Y, Han P Y, Jia J, Peng J H 2025 Comput. Condens. Matter 43 e01027
Google Scholar
[29] Pugh S F 1954 Philos. Mag. 45 823
Google Scholar
[30] Hu W C, Liu Y, Li D J, Li K, Jin H L, Xu Y X, Zeng X Q 2014 Philos. Mag. 94 3945
Google Scholar
Catalog
Metrics
- Abstract views: 462
- PDF Downloads: 9
- Cited By: 0









DownLoad: