-
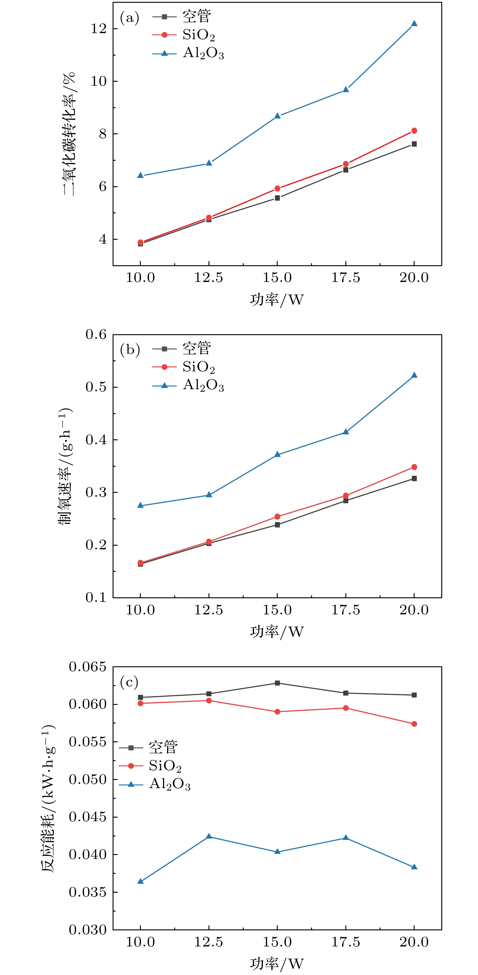
The utilization of in-situ resource on Mars is currently one of the key research focuses in deep space exploration. Non-thermal plasma technology provides a promising approach for in-situ conversion of high-concentration CO2 in the Martian atmosphere, with advantages such as strong environmental adaptability and high system efficiency. In this study, a coaxial packed-bed dielectric barrier discharge reactor is employed to investigate the discharge characteristics of simulated Martian atmospheric CO2, with particular emphasis on the effects of SiO2 and Al2O3 packing materials on CO2 conversion performance and energy consumption. Through in-situ spectral diagnostics, the variation patterns of characteristic spectral lines of excited-state CO2 and O2 under different operating conditions are investigated in this work. It is found that increasing the discharge power promotes the generation of excited-state reactive species, which facilitates the activation and conversion of carbon dioxide. Furthermore, increasing the discharge power effectively enhances the electric field strength in CO2 discharge. Compared with plasma only and the use of SiO2 packing material, the system exhibits a more significant electric field enhancement effect when packed with Al2O3 beads. Based on numerical simulations, the electron impact reaction rate constant and electron energy distribution function of CO2 discharge are obtained. The results reveal that packing the discharge gap with Al2O3 material significantly changes the physical characteristics of CO2 discharge, enhances both the electric field strength and the mean electron energy, thereby generating more high-energy electrons and asymmetric vibrational excited states of CO2. This ultimately promotes the CO2 decomposition reaction for oxygen production. Finally, the study examines the effectiveness of CO2 decomposition for oxygen production under various typical operating conditions. It is demonstrated that increasing the discharge power and packing with Al2O3 both contribute to improving the CO2 conversion rate and oxygen production rate, while reducing the energy consumption of the reaction. The introduction of Al2O3 packing enhances the electric field strength, thereby improving CO2 conversion and O2 production, achieving a CO2 conversion rate of 12.18% and a minimum energy consumption of 0.36 kWh/g. This study provides theoretical and experimental support for the future applications of non-thermal plasma technology in the in-situ resource utilization of Martian atmosphere, offering insights into sustainable resource utilization in deep space exploration.
-
Keywords:
- Martian atmosphere /
- CO2 conversion /
- discharge characteristics /
- dielectric barrier discharge
[1] 于登云, 孙泽洲, 孟林智, 石东 2016 深空探测学报 3 108
Yu D Y, Sun Z Z, Meng L Z, Shi D 2016 J. Deep Space Explor. 3 108
[2] 孙泽洲, 饶炜, 贾阳, 王闯, 董捷, 陈百超 2021 空间控制技术与应用 47 9
Sun Z Z, Rao Y, Jia Y, Wang C, Dong J, Chen B C 2021 Aerospace Control Appl. 47 9
[3] Sanders G B, Paz A, Oryshchyn L, Araghi K, Muscatello A, Linne D L, Kleinhenz J E, Peters T 2015 AIAA SPACE 2015 Conference and Exposition (American Institute of Aeronautics and Astronautics
[4] Starr S O, Muscatello A C 2020 Planet. Space Sci. 182 104824
Google Scholar
[5] Zhu H W, Tan S H, Lan C T, Liu D W, Lu X P 2025 ACS Sustainable Chem. Eng. 13 8406
Google Scholar
[6] Hecht M, Hoffman J, Rapp D, McClean J, SooHoo J, Schaefer R, Aboobaker A, Mellstrom J, Hartvigsen J, Meyen F, Hinterman E, Voecks G, Liu A, Nasr M, Lewis J, Johnson J, Guernsey C, Swoboda J, Eckert C, Alcalde C, Poirier M, Khopkar P, Elangovan S, Madsen M, Smith P, Graves C, Sanders G, Araghi K, de la Torre Juarez M, Larsen D, Agui J, Burns A, Lackner K, Nielsen R, Pike T, Tata B, Wilson K, Brown T, Disarro T, Morris R, Schaefer R, Steinkraus R, Surampudi R, Werne T, Ponce A 2021 Space Sci. Rev. 217 9
Google Scholar
[7] Guerra V, Silva T, Pinhão N, Guaitella O, Guerra-Garcia C, Peeters F J J, Tsampas M N, van de Sanden M C M 2022 J. Appl. Phys. 132 070902
Google Scholar
[8] Engeling K W, Gott R P 2023 IEEE Tran. Plasma Sci. 51 1568
Google Scholar
[9] Liu Y, Silva T, Dias T C, Viegas P, Zhao X, Du Y, He J, Guerra V 2025 Plasma Sources Sci. Techn. 34 035003
Google Scholar
[10] 张泰恒, 王绪成, 张远涛 2021 70 215201
Google Scholar
Zhang T H, Wang X C, Zhang Y T 2021 Acta Phys. Sin. 70 215201
Google Scholar
[11] Guerra V, Silva T, Ogloblina P, Grofulović M, Terraz L, Silva M L d, Pintassilgo C D, Alves L L, Guaitella O 2017 Plasma Sources Sci. Techn. 26 11LT01
Google Scholar
[12] Ogloblina P, Morillo-Candas A S, Silva A F, Silva T, Tejero-del-Caz A, Alves L L, Guaitella O, Guerra V 2021 Plasma Sources Sci. Techn. 30 065005
Google Scholar
[13] Qian M, Yan F, Zhang P, Li B, Wu Z 2024 Solar Syst. Res. 58 419
Google Scholar
[14] Kelly S, Verheyen C, Cowley A, Bogaerts A 2022 Chem 8 2797
Google Scholar
[15] Kelly S, Mercer E, Gorbanev Y, Fedirchyk I, Verheyen C, Werner K, Pullumbi P, Cowley A, Bogaerts A 2024 J. CO2 Util. 80 102668
[16] Wang X C, Gao S H, Zhang Y T 2023 IEEE Trans. Plasma Sci. 51 49
Google Scholar
[17] O’Modhrain C, Trenchev G, Gorbanev Y, Bogaerts A 2024 ACS Eng. Au 4 333
[18] 付强, 叶子凡, 王语菲, 常正实 2023 石油学报(石油加工) 39 1003
Fu Q, Ye Z F, Wang Y F, Chang Z S 2023 Acta Petrolei Sin. (Petroleum Processing Section) 39 1003
[19] Fu Q, Wang Y, Chang Z 2023 Journal of CO2 Utilization 70 102430
[20] Fu Q, Ye Z, Guo H, Duan Z, Luo J, Chang Z 2024 Plasma Process. Polym. 21 e2400085
Google Scholar
[21] 付强, 王聪, 王语菲, 常正实 2022 71 115204
Google Scholar
Fu Q, Wang C, Wang Y F, Chang Z S 2022 Acta Phys. Sin. 71 115204
Google Scholar
[22] Wang X C, Bai J X, Zhang T H, Sun Y, Zhang Y T 2022 Vacuum 203 111200
Google Scholar
[23] Bogaerts A, Tu X, Whitehead J C, Centi G, Lefferts L, Guaitella O, Azzolina-Jury F, Kim H-H, Murphy A B, Schneider W F, Nozaki T, Hicks J C, Rousseau A, Thevenet F, Khacef A, Carreon M 2020 J. Phys. D: Appl. Phys. 53 443001
Google Scholar
[24] Ashford B, Wang Y L, Poh C K, Chen L W, Tu X 2020 Appl. Catal. B: Environ. Energy 276 119110
Google Scholar
[25] Mei D H, Zhu X B, Wu C F, Ashford B, Williams P T, Tu X 2016 Appl. Catal. B: Environ. Energy 182 525
Google Scholar
[26] Francke K P, Rudolph R, Miessner H 2003 Plasma Chem. Plasma Process. 23 47
Google Scholar
[27] Zoran F, John J C 1997 J. Phys. D: Appl. Phys. 30 817
Google Scholar
[28] Xu S, Khalaf P I, Martin P A, Whitehead J C 2018 Plasma Sources Sci. Techn. 27 075009
Google Scholar
[29] Mei D H, Zhu X B, He Y L, Yan J D, Tu X 2015 Plasma Sources Sci. Techn. 24 015011
[30] Wang Y L, Craven M, Yu X T, Ding J, Bryant P, Huang J, Tu X 2019 ACS Catal. 9 10780
Google Scholar
[31] Ma Y C, Wang Y L, Harding J, Tu X 2021 Plasma Sources Sci. Techn. 30 105002
Google Scholar
[32] 李雪辰, 贾鹏英, 刘志辉, 李立春, 董丽芳 2008 57 1001
Google Scholar
Li X C, Jia P Y, Liu Z H, Li L C, Dong L F 2008 Acta Phys. Sin. 57 1001
Google Scholar
[33] Tu X, Gallon H J, Twigg M V, Gorry P A, Whitehead J C 2011 J. Phys. D: Appl. Phys. 44 274007
Google Scholar
[34] Reyes P, Gomez A, Vergara J, Martínez H, Torres C 2017 Rev. Mex. Fis. 63 363
[35] Wang Y L, Yang J Q, Sun Y H, Ye D Q, Shan B, Tsang S C E, Tu X 2024 Chem 10 2590
Google Scholar
[36] Fridman A 2008 Plasma Chemistry (Cambridge: Cambridge University Press) pp157−258
[37] Mackus A J M, Heil S B S, Langereis E, Knoops H C M, van de Sanden M C M, Kessels W M M 2009 J. Vac. Sci. Techn. A 28 77
[38] Reyes P G, Mendez E F, Osorio-Gonzalez D, Castillo F, Martínez H 2008 Phys. Status Solidi C 5 907
Google Scholar
[39] Li Z, Gillon X, Diallo M, Houssiau L, Pireaux J J 2011 J. Phys. Conf. Ser. 275 012020
Google Scholar
[40] Shao T, Yang Y X, Tu X, Murphy A B 2025 Fundament. Res. in Press
[41] Gallon H J, Kim H H, Tu X, Whitehead J C 2011 IEEE Trans. Plasma Sci. 39 2176
Google Scholar
[42] Van Laer K, Bogaerts A 2017 Plasma Sources Sci. Techn. 26 085007
Google Scholar
[43] Hagelaar G J M, Pitchford L C 2005 Plasma Sources Sci. Techn. 14 722
Google Scholar
[44] IST-Lisbon database, www. lxcat. net 2025-06-12
[45] Wang X C, Ai F, Zhang Y T 2024 Phys. Plasmas 31 013504
Google Scholar
[46] Wang X C, Li W K, Zhang Y T 2024 IEEE Trans. Plasma Sci. 52 1631
Google Scholar
[47] Ning W J, Shang H, Li Y J, Wen X, Shen S K, Huang X L, Jia S L 2025 Plasma Sources Sci. Techn. 34 095001
Google Scholar
-
表 1 不同填充状态下放电功率对平均电场强度的影响
Table 1. Effect of packing materials on the average electric field at different discharge powers.
放电功率/W 平均电场强度/(kV·cm–1) 空管 SiO2 Al2O3 10 1.32 1.40 1.55 12.5 1.46 1.48 1.72 15 1.53 1.61 1.79 17.5 1.68 1.74 1.95 20 1.82 1.88 2.11 表 A1 数值模拟中的二氧化碳活性粒子的种类及参数
Table A1. Types and parameters of carbon dioxide reactive species in numerical simulations.
活性粒子
种类物理意义描述 能量/eV 振动
激发态CO2 (0 1 0) 0.083 CO2 (0 2 0) 0.167 CO2 (1 0 0) 0.167 CO2 (0 3 0) + (1 1 0) 0.252 CO2 (0 0 1) 0.291 CO2 (0 4 0) + (1 2 0) + (0 1 1) 0.339 CO2 (2 0 0) 0.339 CO2 (0 5 0) + (2 1 0) + (1 3 0)
+ (0 2 1) + (1 0 1)0.422 CO2 (3 0 0) 0.5 CO2 (0 6 0) + (2 2 0) + (1 4 0) 0.505 CO2 (0 n 0) + (n 0 0) 2.5 电子式
激发态CO2 (e1) 7.0 CO2 (e2) 10.5 离子 CO2+ 13.8 -
[1] 于登云, 孙泽洲, 孟林智, 石东 2016 深空探测学报 3 108
Yu D Y, Sun Z Z, Meng L Z, Shi D 2016 J. Deep Space Explor. 3 108
[2] 孙泽洲, 饶炜, 贾阳, 王闯, 董捷, 陈百超 2021 空间控制技术与应用 47 9
Sun Z Z, Rao Y, Jia Y, Wang C, Dong J, Chen B C 2021 Aerospace Control Appl. 47 9
[3] Sanders G B, Paz A, Oryshchyn L, Araghi K, Muscatello A, Linne D L, Kleinhenz J E, Peters T 2015 AIAA SPACE 2015 Conference and Exposition (American Institute of Aeronautics and Astronautics
[4] Starr S O, Muscatello A C 2020 Planet. Space Sci. 182 104824
Google Scholar
[5] Zhu H W, Tan S H, Lan C T, Liu D W, Lu X P 2025 ACS Sustainable Chem. Eng. 13 8406
Google Scholar
[6] Hecht M, Hoffman J, Rapp D, McClean J, SooHoo J, Schaefer R, Aboobaker A, Mellstrom J, Hartvigsen J, Meyen F, Hinterman E, Voecks G, Liu A, Nasr M, Lewis J, Johnson J, Guernsey C, Swoboda J, Eckert C, Alcalde C, Poirier M, Khopkar P, Elangovan S, Madsen M, Smith P, Graves C, Sanders G, Araghi K, de la Torre Juarez M, Larsen D, Agui J, Burns A, Lackner K, Nielsen R, Pike T, Tata B, Wilson K, Brown T, Disarro T, Morris R, Schaefer R, Steinkraus R, Surampudi R, Werne T, Ponce A 2021 Space Sci. Rev. 217 9
Google Scholar
[7] Guerra V, Silva T, Pinhão N, Guaitella O, Guerra-Garcia C, Peeters F J J, Tsampas M N, van de Sanden M C M 2022 J. Appl. Phys. 132 070902
Google Scholar
[8] Engeling K W, Gott R P 2023 IEEE Tran. Plasma Sci. 51 1568
Google Scholar
[9] Liu Y, Silva T, Dias T C, Viegas P, Zhao X, Du Y, He J, Guerra V 2025 Plasma Sources Sci. Techn. 34 035003
Google Scholar
[10] 张泰恒, 王绪成, 张远涛 2021 70 215201
Google Scholar
Zhang T H, Wang X C, Zhang Y T 2021 Acta Phys. Sin. 70 215201
Google Scholar
[11] Guerra V, Silva T, Ogloblina P, Grofulović M, Terraz L, Silva M L d, Pintassilgo C D, Alves L L, Guaitella O 2017 Plasma Sources Sci. Techn. 26 11LT01
Google Scholar
[12] Ogloblina P, Morillo-Candas A S, Silva A F, Silva T, Tejero-del-Caz A, Alves L L, Guaitella O, Guerra V 2021 Plasma Sources Sci. Techn. 30 065005
Google Scholar
[13] Qian M, Yan F, Zhang P, Li B, Wu Z 2024 Solar Syst. Res. 58 419
Google Scholar
[14] Kelly S, Verheyen C, Cowley A, Bogaerts A 2022 Chem 8 2797
Google Scholar
[15] Kelly S, Mercer E, Gorbanev Y, Fedirchyk I, Verheyen C, Werner K, Pullumbi P, Cowley A, Bogaerts A 2024 J. CO2 Util. 80 102668
[16] Wang X C, Gao S H, Zhang Y T 2023 IEEE Trans. Plasma Sci. 51 49
Google Scholar
[17] O’Modhrain C, Trenchev G, Gorbanev Y, Bogaerts A 2024 ACS Eng. Au 4 333
[18] 付强, 叶子凡, 王语菲, 常正实 2023 石油学报(石油加工) 39 1003
Fu Q, Ye Z F, Wang Y F, Chang Z S 2023 Acta Petrolei Sin. (Petroleum Processing Section) 39 1003
[19] Fu Q, Wang Y, Chang Z 2023 Journal of CO2 Utilization 70 102430
[20] Fu Q, Ye Z, Guo H, Duan Z, Luo J, Chang Z 2024 Plasma Process. Polym. 21 e2400085
Google Scholar
[21] 付强, 王聪, 王语菲, 常正实 2022 71 115204
Google Scholar
Fu Q, Wang C, Wang Y F, Chang Z S 2022 Acta Phys. Sin. 71 115204
Google Scholar
[22] Wang X C, Bai J X, Zhang T H, Sun Y, Zhang Y T 2022 Vacuum 203 111200
Google Scholar
[23] Bogaerts A, Tu X, Whitehead J C, Centi G, Lefferts L, Guaitella O, Azzolina-Jury F, Kim H-H, Murphy A B, Schneider W F, Nozaki T, Hicks J C, Rousseau A, Thevenet F, Khacef A, Carreon M 2020 J. Phys. D: Appl. Phys. 53 443001
Google Scholar
[24] Ashford B, Wang Y L, Poh C K, Chen L W, Tu X 2020 Appl. Catal. B: Environ. Energy 276 119110
Google Scholar
[25] Mei D H, Zhu X B, Wu C F, Ashford B, Williams P T, Tu X 2016 Appl. Catal. B: Environ. Energy 182 525
Google Scholar
[26] Francke K P, Rudolph R, Miessner H 2003 Plasma Chem. Plasma Process. 23 47
Google Scholar
[27] Zoran F, John J C 1997 J. Phys. D: Appl. Phys. 30 817
Google Scholar
[28] Xu S, Khalaf P I, Martin P A, Whitehead J C 2018 Plasma Sources Sci. Techn. 27 075009
Google Scholar
[29] Mei D H, Zhu X B, He Y L, Yan J D, Tu X 2015 Plasma Sources Sci. Techn. 24 015011
[30] Wang Y L, Craven M, Yu X T, Ding J, Bryant P, Huang J, Tu X 2019 ACS Catal. 9 10780
Google Scholar
[31] Ma Y C, Wang Y L, Harding J, Tu X 2021 Plasma Sources Sci. Techn. 30 105002
Google Scholar
[32] 李雪辰, 贾鹏英, 刘志辉, 李立春, 董丽芳 2008 57 1001
Google Scholar
Li X C, Jia P Y, Liu Z H, Li L C, Dong L F 2008 Acta Phys. Sin. 57 1001
Google Scholar
[33] Tu X, Gallon H J, Twigg M V, Gorry P A, Whitehead J C 2011 J. Phys. D: Appl. Phys. 44 274007
Google Scholar
[34] Reyes P, Gomez A, Vergara J, Martínez H, Torres C 2017 Rev. Mex. Fis. 63 363
[35] Wang Y L, Yang J Q, Sun Y H, Ye D Q, Shan B, Tsang S C E, Tu X 2024 Chem 10 2590
Google Scholar
[36] Fridman A 2008 Plasma Chemistry (Cambridge: Cambridge University Press) pp157−258
[37] Mackus A J M, Heil S B S, Langereis E, Knoops H C M, van de Sanden M C M, Kessels W M M 2009 J. Vac. Sci. Techn. A 28 77
[38] Reyes P G, Mendez E F, Osorio-Gonzalez D, Castillo F, Martínez H 2008 Phys. Status Solidi C 5 907
Google Scholar
[39] Li Z, Gillon X, Diallo M, Houssiau L, Pireaux J J 2011 J. Phys. Conf. Ser. 275 012020
Google Scholar
[40] Shao T, Yang Y X, Tu X, Murphy A B 2025 Fundament. Res. in Press
[41] Gallon H J, Kim H H, Tu X, Whitehead J C 2011 IEEE Trans. Plasma Sci. 39 2176
Google Scholar
[42] Van Laer K, Bogaerts A 2017 Plasma Sources Sci. Techn. 26 085007
Google Scholar
[43] Hagelaar G J M, Pitchford L C 2005 Plasma Sources Sci. Techn. 14 722
Google Scholar
[44] IST-Lisbon database, www. lxcat. net 2025-06-12
[45] Wang X C, Ai F, Zhang Y T 2024 Phys. Plasmas 31 013504
Google Scholar
[46] Wang X C, Li W K, Zhang Y T 2024 IEEE Trans. Plasma Sci. 52 1631
Google Scholar
[47] Ning W J, Shang H, Li Y J, Wen X, Shen S K, Huang X L, Jia S L 2025 Plasma Sources Sci. Techn. 34 095001
Google Scholar
Catalog
Metrics
- Abstract views: 1267
- PDF Downloads: 35
- Cited By: 0









DownLoad: