专题: 无序合金的序调控

编辑推荐
2025, 74 (19): 196101.
doi: 10.7498/aps.74.20250845
摘要 +
金属玻璃(MGs)的剪切带行为与其微观结构不均匀性密切相关. 传统分子动力学(MD)模拟因超快冷却速率导致MGs结构保留了更多液体特征, 而交换原子的蒙特卡罗(SMC)方法能够在模拟上制备出可匹配实验室时间冷却速度的低能态金属玻璃. 本文通过SMC结合MD方法, 构建软硬相分布可控的Cu50Zr50金属玻璃样品, 揭示纳米尺度结构不均匀性对剪切带萌生与扩展的调控机制. 由MD制备的软相中二十面体有序团簇含量较少, 优先激活塑性事件, 促进应力重新分布, 与邻近硬相一起响应对剪切带扩展起协同作用. MC制备的硬相区由于其高密度的二十面体团簇的含量, 使得应力局域集中, 形成窄剪切带. 通过调控硬相体积分数, 复合样品发生由韧到脆转变. 此外, 在保持硬相百分比不变的前提下, 不同序构策略可以改变非晶的力学行为: 离散硬相的分布能够增加样品的稳定性, 推迟剪切带的产生; 硬相包围软相的策略能够促进样品中产生二次剪切带, 使得剪切带区域相对非局域化. 该研究结果揭示了软硬区结构不均匀性对非晶合金力学性能的影响, 为采用序构方法设计金属玻璃力学性能提供了可能的理论指导.

编辑推荐
2025, 74 (19): 196402.
doi: 10.7498/aps.74.20250889
摘要 +
玻璃形成液体在温度变化过程中会表现出独特的动力学转变行为, 在降温过程中, 系统会经历从脆性液体到强性液体的转变, 称为强脆转变. 本研究以Fe-Zr-B-M四元体系为研究对象, 通过黏度实验揭示该体系存在显著的强脆转变行为, 并以晶化激活能作为评价指标, 建立Fe-Zr-B-M体系中强脆转变程度与玻璃形成能力之间的负相关性. 结果表明, 类晶团簇在Fe-Zr-B-M体系金属玻璃的凝固过程中起关键作用, 据此提出了基于二十面体团簇向类晶团簇结构转变的强脆转变机理, 并确立了混合焓和错配熵在调控Fe基非晶合金液体强脆转变过程中的重要作用.
专题: 量子信息处理

编辑推荐
2025, 74 (19): 190302.
doi: 10.7498/aps.74.20250865
摘要 +
量子通信基于量子力学基本原理实现信息的安全传输. 光子是量子通信中重要的信息载体. 基于光子的量子通信协议需要在通信双方传输光子, 但传输过程中由于环境噪声的存在不可避免地会发生光子传输损耗. 光子传输损耗极大地降低了长距离量子通信的通信效率, 甚至威胁通信安全, 成为实现长距离量子通信的主要障碍. 量子无噪声线性放大(noiseless linear amplification, NLA)是抵御光子传输损耗的重要方法, 它通过局域操作和后选择, 可有效地提高输出态中目标态的保真度或平均光子数, 且完美保留目标态的编码信息. 因此, 在量子通信中使用NLA技术可有效克服光子传输损耗, 延长通信距离, 对于实现远距离量子通信具有重要意义. 近年来, 研究人员提出了许多NLA方案, 并完成了部分方案的实验演示, 证明了NLA的可行性. 本文重点介绍在离散变量和连续变量量子系统中针对不同量子态的NLA方案, 并总结了几个具有代表性的NLA实验, 最后, 对NLA技术进行总结和展望. 本综述可为未来长距离量子通信网络的实用化发展提供理论支持.
核物理主题数据: 实验、理论与应用专题

编辑推荐
2025, 74 (19): 190601.
doi: 10.7498/aps.74.20250743
摘要 +
56Co衰变释放的γ射线能量范围为0.84—3.55 MeV, 其衰变数据是探测器效率刻度的重要依据. 早期针对56Co γ相对强度测量数据在Eγ > 2.5 MeV的高能区存在系统性偏差. 针对此问题, 本研究基于核科学参考文献库(Nuclear Science References, NSR)中的实验测量数据, 重点综合了2000年后的5项高精度实验测量结果, 对半衰期及γ发射几率等关键衰变数据进行系统分析, 给出了一套可用于探测器效率刻度的56Co衰变推荐数据. 在高能区段, 本工作所给出结果低于ENSDF现有评价数据约2%. 该推荐数据适用于高能伽马探测器的效率刻度, 可为Eγ > 2.5 MeV能区提供更准确的参考依据. 本文数据集可在科学数据银行数据库https://doi.org/10.57760/sciencedb.j00213.00169 中访问获取.
总论

2025, 74 (19): 190201.
doi: 10.7498/aps.74.20250642
摘要 +
实现国家标准时间的自主可控在当前的国际形势下具有重要现实意义. 本文通过研究基于自研铯基准钟和国产光抽运守时小铯钟, 产生一个独立的、不依赖于外部参考的时间尺度. 具体做法是将铯基准钟作为频率参考, 用于预报光抽运守时小铯钟的频率漂移. 通过分析光抽运守时小铯钟的噪声特性, 建立了原子钟的状态方程, 基于Kalman滤波算法估计光抽运守时小铯钟的状态. 时间尺度的计算是基于原子钟的频率状态估计和频率漂移状态估计作为预报值, 通过权重算法实现. 研究了基于预测误差的权重算法和噪声特性的权重算法, 结果表明利用Kalman滤波状态估计的情况下, 基于预测误差的权重算法显著提升了独立时间尺度的准确度. 选用铯基准钟作为频率参考, 计算得到的独立时间尺度的准确度和长期稳定度明显优于时间尺度本身作为频率参考的情况. 以国际标准时间UTCr为参考得出独立时间尺度的准确度保持在15 ns以内. 取样间隔为1 d的频率稳定度为1.57×10–14, 取样间隔为15 d的频率稳定度为4.29×10–15, 取样间隔为30 d的频率稳定度为2.87×10–15. 可满足当前国家用时需求.

2025, 74 (19): 190202.
doi: 10.7498/aps.74.20250716
摘要 +
目前基于激光振镜的结构光三维测量技术已经在焊装车间机器人抓取、搬运、上下料等工业场景中得到广泛应用. 然而, 在实际测量场景中存在凹陷、重叠、遮挡等复杂测量结构, 光在微面间易形成多重反射现象, 造成微面区域内的强度信息混叠, 最终导致该测量区域点云缺失. 为解决复杂结构区域测量过程中的点云缺失问题, 本文提出一种以激光振镜作为关键投射模组的双目点云传感器, 在不增加硬件的条件下实现两种不同模式的图像投射, 其中本文所提出的抗多重反射投图模式, 通过调控关键器件之间的时序配合关系, 完成了复杂结构位置的测量, 解决了多重反射干扰下的测量点云缺失问题. 最后, 在实际场景下进行多组实验, 验证所提策略的可行性. 结果表明, 在存在多重反射干扰的测量场景下, 本文所提出的抗多重反射投图模式测量黑件点云的完整性达到98.03%, 较常规测量模式提升18.98%, 有效解决了存在多重反射干扰场景内测量点云的缺失问题.

2025, 74 (19): 190203.
doi: 10.7498/aps.74.20250778
摘要 +
光子晶体因其独特的能带结构在光子学领域具有重要应用前景, 而准确预测其能带结构对于光子器件的设计与优化也至关重要. 鉴于此, 本文应用视觉变换器(vision transformer, ViT)模型, 探索高效、准确的光子晶体能带结构预测方法. 首先, 通过传统数值仿真方法得到光子晶体的能带结构数据, 构建了训练和测试数据集; 其次, 利用数据集对ViT模型进行训练, 训练过程中模型展现出良好的学习能力, 损失函数值持续下降, 最低可至4.42×10–6; 最终, 测试结果表明, ViT模型预测平均均方误差(MSE)低至3.46×10–5, 决定系数(R2)达到0.9996, 表明ViT模型具有极高的预测精度和良好的泛化能力. 研究表明, ViT模型能够有效预测光子晶体的能带结构, 为光子晶体相关研究和应用提供一种新的高效预测工具, 有望推动光子器件设计的进一步发展.

2025, 74 (19): 190301.
doi: 10.7498/aps.74.20250221
摘要 +
多体系统的纠缠判定与分类是当前量子信息领域人们研究的重点课题. 本文利用量子Fisher信息(quantum Fisher information, QFI)可以判定多体纠缠这一特性, 对多量子比特$W{\overline{W}} $态在白噪声环境下的量子纠缠进行了判定与分类研究. 在局域操作下, 结合已知量子态的信息, 给出了判定真正多体纠缠和含有量子纠缠的可见度判据. 特别地, 对于5比特$W{\overline{W}} $态和6比特$W{\overline{W}} $态, 由于拆分结构态的QFI最大值大于其本身的QFI, 所以无法严格地给出判定其真正多体纠缠的判据, 但给出了判定其可能是哪种纠缠结构的范围. 另外, 研究还发现随着量子比特数目的增加, 判定$W{\overline{W}} $态真正多体纠缠的条件变得越来越严苛, 而判定其含有纠缠的条件变得相对宽松. 考虑实验上对多体系统进行局域操作时, 紧邻量子比特间容易发生串扰现象, 本文借助Lipkin-Meshkov-Glick模型对不同多量子比特$W{\overline{W}} $态的纠缠分类进行了研究, 发现随着相互作用强度的增加, 即使在白噪声占比较大的情况下, 不同量子比特数的$W{\overline{W}} $态也可以区分, 解决了局域操作下区分困难的问题, 且随着相互作用强度的增大, 纠缠分类越容易实现. 这一点也充分展现了非局域操作相较于局域操作在纠缠分类方面的优势.

2025, 74 (19): 190303.
doi: 10.7498/aps.74.20250542
摘要 +
本文以旋转自旋-轨道角动量耦合玻色-爱因斯坦凝聚体为对象, 通过数值求解单粒子定态Schrödinger方程和具有平均场相互作用的Gross-Pitaevskii方程, 研究了自旋-轨道角动量耦合与旋转对单粒子基态性质和平均场相互作用基态性质的影响, 发现旋转将导致角动量空间中单粒子能谱的二重简并消失, 单粒子能谱不再是关于零点角动量左右对称, 单粒子基态和平均场基态为占据单个角动量的涡旋态, 其角动量大小与旋转频率、激光强度和自旋-轨道角动量耦合有关. 当旋转频率小于临界值时, 基态涡旋的角动量大小不受旋转频率的影响. 当旋转频率超过临界值时, 基态涡旋的角动量大小将随着旋转频率的增加而增加.

2025, 74 (19): 190701.
doi: 10.7498/aps.74.20250701
摘要 +
超窄线宽π相移光纤布拉格光栅在光纤传感领域发挥着重要的作用, 但是这种超窄线宽π相移光纤布拉格光栅对输入光强度非常敏感, 输入光在光栅内部产生光热效应会引起频率移动, 降低了光栅的测量精度, 同时激光器自身的频率漂移也会增大测量误差. 本文提出使用超窄线宽π相移光纤布拉格光栅进行高精度应变测量的方法, 采用单光子调制技术锁定激光频率到38 MHz超窄线宽π相移光纤布拉格光栅, 同时消除了光栅内部光热效应和激光频率起伏对应变测量的影响, 对于0—30 με范围的外部应变实现了测量精度为0.05 με的高精度测量, 该方法在航空航天、土木工程、能源工程等领域具有重要应用价值.
核物理学

编辑推荐
2025, 74 (19): 192101.
doi: 10.7498/aps.74.20250768
摘要 +
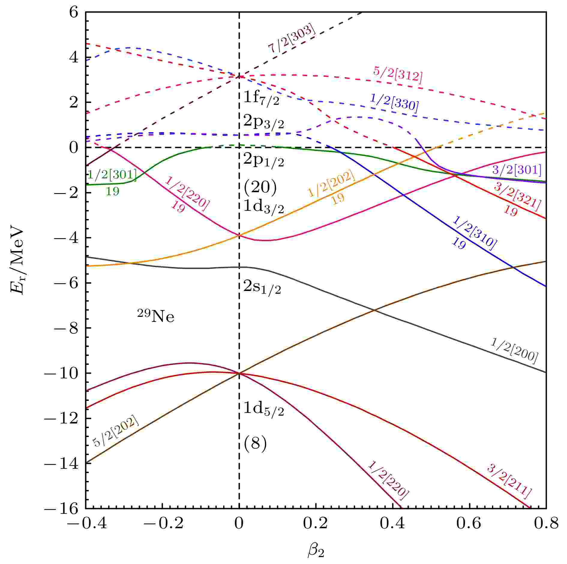
近年来, 29Ne作为$N=20$“反转岛”核区的关键核素, 其基态价中子组态表现出与传统壳模型预期(${\mathrm{f}}_{7/2}$轨道主导)相悖的${\mathrm{p}}_{3/2}$轨道主导特征, 并可能具有晕核结构. 本文基于相对论框架下的复动量表象(CMR)方法, 系统分析了29Ne在四极形变($\beta_2$)影响下的单粒子能级演化、轨道占据概率及径向密度分布. 计算结果表明: 在球形极限($\beta_2=0$)下, $2{\mathrm{p}}_{1/2}$和$2{\mathrm{p}}_{3/2}$能级显著下移至$1{\mathrm{f}}_{7/2}$能级下方, 形成典型的壳层反转; 当$\beta_2 \geqslant 0.58$ 时, 价中子占据由$1{\mathrm{f}}_{7/2}$分裂而成的$3/2[321]$轨道, 但其主要组分为${\mathrm{p}}_{3/2}$(占比68%), 且径向密度分布显著弥散, 符合晕核特征. 这些结果揭示了29Ne的p波主导机制与形变协同作用对晕结构形成的影响, 为反转岛核区的壳层演化提供了新的理论依据.

2025, 74 (19): 192301.
doi: 10.7498/aps.74.20250720
摘要 +
本文提出了一种用于计算原子核α衰变能($ Q_{\text{α}} $)的类液滴模型公式. 为了改进类液滴模型公式计算$ Q_{\text{α}} $的精度, 我们发展了神经网络结合类液滴模型公式的方法, 计算了原子核的$ Q_{\text{α}} $值. 通过分别对比类液滴模型计算的$ Q_{\text{α}} $值和神经网络结合类液滴模型公式的方法计算的$ Q_{\text{α}} $值与实验测量值的均方根偏差(RMSD), 发现类液滴模型计算的$ Q_{\text{α}} $值与实验值之间的RMSD从663.5 keV下降到神经网络结合类液滴模型公式的89.2 keV. 进而采用改进的$ Q_{\text{α}} $结合统一衰变公式计算了α衰变的半衰期. 虽然没有直接考虑原子核的壳效应, 但神经网络方法预测出了相应的超重核区双幻核的位置, 这与目前理论预测的超重双幻的位置非常接近, 从而给出了超重核区α衰变的稳定区域, 进一步证实了超重核稳定岛的存在.

编辑推荐
2025, 74 (19): 192901.
doi: 10.7498/aps.74.20250975
摘要 +
中国散裂中子源大气中子辐照谱仪中子能量覆盖meV—GeV, 1 MeV以上能区的中子能谱及注量评估对开展大气中子单粒子效应极为重要. 依托LANSCE WNR的ICE束线中子能谱实测数据, 探索了适用于中高能中子能谱、注量计算的物理模型、计数方式、截面文件等, 生成并验证了用于中子能谱和注量评估的具有能量分布、角度分布和空间分布的二次源项. 基于此获得的中子能谱和注量, 结合国际上现有同类装置及JESD89A参考中子能谱, 从谱型、勒谱和辐射效应等维度评估, 认为中国散裂中子源大气中子辐照谱仪可能是同类装置最接近自然条件大气中子能谱的装置; 同时结合Xilinx Ⅱ代FPGA大气中子实验, 证实中国散裂中子源大气中子辐照谱仪测试结果与国际同类装置上的测试结果具有很好的一致性. 为此, 基于中国散裂中子源大气中子辐照谱仪开展的大气中子单粒子效应研究与工程加速试验结果可直接应用于航空、航天、军事、民用等高可靠性领域, 助力新质生产力的发展.
原子和分子物理学

2025, 74 (19): 193101.
doi: 10.7498/aps.74.20250683
摘要 +
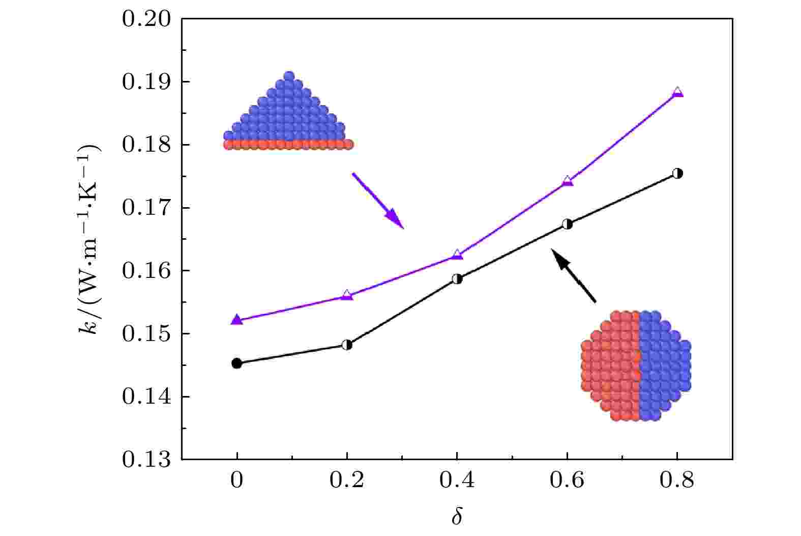
为了优选等离激元太阳能分解水体系中金属和半导体的复合光电极, 本文采用非平衡分子动力学方法计算了等离激元金属Cu, Ag和Au与半导体TiO2, ZnO和MoS2的复合电极在不同温度下的界面热导, 并通过计算声子态密度和声子参与率研究了不同频率的声子与界面热导的关系. 结果表明, 随温度的增加, 不同复合电极的界面热导增加. 在相同的半导体TiO2上, Cu-TiO2和Ag-TiO2界面热导均高于Au-TiO2, Cu-TiO2复合电极的界面热导在800 K时可以达到973.56 MW·m–2·K–1. 对于等离激元金属Au, 相对MoS2和TiO2, 其与ZnO复合的界面导热更高; 而对于等离激元金属Cu, Cu-TiO2的界面热导高于预测的Cu-ZnO, 这取决于更多处于核心热输运频段的低频声子参与界面热输运.

编辑推荐
2025, 74 (19): 193701.
doi: 10.7498/aps.74.20250603
摘要 +
在囚禁离子系统中, 基于范德波尔振子机制的单离子声子激光态已在微弱电场测量和弱力检测等领域得到应用. 声子激光态作为一种与光子激光的性质类似的相干声子态, 通过激光相干边带激励和冷却技术, 可以精确地调控离子的振动状态, 并有望在连续变量量子计算、量子非线性动力学和量子精密测量等领域展现进一步的应用. 本文采用三能级模型对单离子量子区域内的声子激光态进行理论研究, 通过求解主方程, 获得了声子激光态的稳态相图, 分析了系统的Wigner准概率分布和二阶关联特性. 本文针对离子阱体系提出了实验实现方案, 即通过蓝边带激光和红边带激光构成的双色光场共同作用于囚禁的单个40Ca+离子, 从而在量子区域内产生声子激光态, 并采用特征函数测量法对振动量子态进行表征.
电磁学、光学、声学、传热学、经典力学和流体动力学

2025, 74 (19): 194201.
doi: 10.7498/aps.74.20250627
摘要 +
本文研究了利用亨伯特二型(Humbert beams of type-II, HB-II)光束来提高基于轨道角动量(orbital angular momentum, OAM)的水下光通信系统传输特性的方法. 基于Rytov近似, 推导出了HB-II光束的螺旋相位谱的解析表达式, 并仿真分析了不同光源参数和海洋湍流对HB-II光束OAM模式探测概率的影响. 结果表明, HB-II光束在海洋湍流中的OAM模式探测概率随传播距离、轨道角动量模式数、光束束腰宽度和均方温度耗散率增加而降低, 该光束在海洋湍流中抗干扰能力随着动能耗散率的增加而增强, HB-II光束受以盐度波动驱动的海洋湍流的模式串扰更大. 本文的研究结果可以为基于HB-II光束的水下光通信系统设计提供理论参考.

2025, 74 (19): 194202.
doi: 10.7498/aps.74.20250610
摘要 +
GaN基肖特基势垒二极管(SBD)器件具有功率密度高、转换效率高以及开关特性好等优点. GaN材料在异质外延过程中不可避免地会引入大量的位错, 而位错会导致器件的可靠性问题. 本文报道了一种在自支撑GaN衬底上生长并制备的超低位错密度N+/N– GaN 准垂直SBD器件. 高分辨X射线衍射仪和原子力显微镜表征结果显示, 在自支撑GaN衬底上实现了总位错密度为1.01 × 108 cm–2, 表面均方根粗糙度为0.149 nm的高质量外延层的生长. 基于高质量外延层制备的器件在不使用任何终端、场板以及等离子体处理的情况下, 在反向电压为–5 V时表现出10–5 A/cm2的极低泄漏电流密度, 与在蓝宝石衬底上同步制备的对照组器件相比, 反向泄漏电流低4个数量级. 实验结果表明, 基于自支撑GaN衬底的准垂直GaN基SBD能够大幅度降低器件的反向漏电, 极大地提升准垂直SBD器件的电学性能. 使用微光显微镜对两组器件进行观察, 确定了准垂直SBD器件的泄漏电流主要集中在阳极边缘, 并解释了漏电机理. 最后对器件进行了变温测试, 在温度为100 ℃时, 仍表现出低于10–3 A/cm3的泄漏电流, 证明了自支撑GaN衬底上准垂直SBD器件具有优良的应用前景.

2025, 74 (19): 194203.
doi: 10.7498/aps.74.20250948
摘要 +
椭偏阿秒脉冲作为融合超短时间尺度(阿秒)与椭圆偏振特性的光场, 在探究物质超快手性动力学过程及X射线磁圆二色性等前沿方向具有重要应用价值. 本研究基于含时薛定谔方程的数值求解, 通过设计非均匀线偏振驱动激光场与Ne相互作用, 系统地研究了驱动激光场的非均匀度以及初始轨道的轨道角动量对孤立椭偏阿秒脉冲产生的调控规律. 本文计算了不同非均匀度的驱动激光场作用下的氖原子的高次谐波谱, 结果表明非均匀度参数的调节显著影响了高次谐波谱平滑程度以及频谱展宽程度, 进一步影响了辐射的阿秒脉冲的性质. 此外, 研究结果表明初始轨道的轨道角动量特性对脉冲偏振态起决定性作用, 当初始轨道角动量为零(如1s轨道)时, 辐射的阿秒脉冲是线偏振, 而当初始轨道角动量不为零(如环流态2p–轨道)时, 辐射的脉冲则为椭圆偏振. 该研究结果为非均匀线偏激光场驱动下原子孤立椭偏阿秒脉冲的实现及偏振特性调控提供了理论依据.

编辑推荐
2025, 74 (19): 194204.
doi: 10.7498/aps.74.20250909
摘要 +
光致异构化是分子光物理与光化学反应的核心, 其量子产率与激发态动力学演化路径相关. 改变分子激发态演化路径以实现对光化学反应的精准操控是物理学家、化学家长期以来追求的梦想. 本文采用飞秒泵浦-受激亏蚀-探测(pump-dump-probe)光谱技术, 研究了受激亏蚀光脉冲对1, 1'-二乙基-2, 2'-碘化菁(1, 1'-diethyl-2, 2'-cyanine iodide, 1122C)分子光异构化动力学的影响. 在泵浦-探测(pump-probe)实验中, 1122C分子被泵浦光激发之后, 处于激发态的分子以5.6 ps的时间常数沿扭转反应坐标发生结构变化, 从反式(trans-)构型转变为顺式(cis-)构型. 为了对该反应进行人为调控, 本文在传统泵浦-探测光谱的基础上, 引入第3束波长为1030 nm的飞秒受激亏蚀光. 受激亏蚀光脉冲成功使部分处于激发态的反式构型分子通过受激跃迁直接返回基态, 绕过了原本通向顺式产物的异构化通道. 通过比较顺式产物吸收信号的变化, 计算得出受激亏蚀光作用下顺式构型的产率降低了约12.1%. 本文研究实现了利用飞秒激光对超快光化学反应路径的主动干预, 展示了飞秒多脉冲光谱技术在调控分子激发态演化路径、优化光异构化反应产率的潜力. 该研究为将来对复杂光化学反应精准操控提供了理论和技术支持.

2025, 74 (19): 194301.
doi: 10.7498/aps.74.20250741
摘要 +
针对目前水下微弱信号探测对水听器高灵敏度的需求, 提出一种声学黑洞结构形式的高灵敏度水听器. 从几何声学出发, 将声学黑洞中弯曲波汇聚特性类比为水声学中声线弯曲, 提出一种波聚集特性简化理论. 基于该特性设计了一种二维声学黑洞水听器, 通过在弯曲式水听器中引入二维声学黑洞结构, 实现振动聚集, 进而提升水听器的高灵敏度性能. 通过结构控制变量, 对比分析4种厚度形式板, 验证了声学黑洞板在1.7—5.8 kHz频段内提高水听器接收灵敏度的显著优势. 分析了声学黑洞结构水听器接收灵敏度起伏较大的原因, 并进一步设计了声学黑洞与单端开口Helmholtz液腔耦合水听器, 将前两阶声学黑洞弯曲振动模态与液腔模态耦合实现宽带接收特性. 制作了两种水听器样机并在消声水池中进行测试. 结果表明, 二维声学黑洞水听器通过弯曲振动聚集效应可有效提高水听器接收灵敏度, 并与液腔结构通过多模态耦合形成宽带, 在2.6—5.3 kHz频段内灵敏度最高可达–169 dB, 起伏控制在8 dB以内.

2025, 74 (19): 194701.
doi: 10.7498/aps.74.20250759
摘要 +
近年来, 纳米技术的发展使得非球形纳米颗粒的工业化应用成为可能, 形貌各向异性的非球形颗粒有利于改善纳米流体的传热性能. 有研究表明, 将Janus 纳米颗粒引入到基液中可进一步增强纳米流体的导热特性. 本文设计了一种具备亲水侧面和疏水底面的锥形Janus纳米颗粒, 并将其引入到基液中形成锥形Janus纳米流体, 采用分子动力学模拟计算了锥形和球形两种Janus纳米流体的热导率, 对其导热机理进行计算分析. 结果表明, 锥形颗粒表面的类固液体层效应更明显, 其在基液中的扩散能力更强, 因此锥形纳米流体具备比球形纳米流体更强的导热性能. 对于Janus纳米流体, Janus颗粒独特的不对称结构使得其在基液中的布朗运动更为强烈, 有效增强了纳米流体内部的传热效率. 因此, 非球形颗粒与Janus颗粒的结合可进一步提高纳米流体的导热性能, 为开发新型传热工质提供了新的思路.
气体、等离子体和放电物理

编辑推荐
2025, 74 (19): 195201.
doi: 10.7498/aps.74.20250805
摘要 +
聚变装置表面涂覆壁处理如锂化、硼化、硅化等形成的涂层在高能氘粒子的轰击下会因为物理化学溅射损失, 从而使壁条件变差, 影响等离子体放电性能. 为了评估不同壁涂层的溅射损失行为, 本文采用两体碰撞近似模型, 对以碳、钨为基材的锂、硼和硅涂层材料在氘粒子轰击下的物理溅射行为进行了模拟分析. 结果表明, 因锂具有低的表面结合能而硅具有高的原子序数, 锂和硅分别在一定入射条件下溅射产额最大. 对于双层靶, 钨基涂层的溅射产额在特定能量出现剧增, 主要是由于钨溅射阈值高, 入射粒子在钨界面被大量反射, 并且具有较高的能量. 最后, 由于靶表面成分会随着入射通量增加而变化, 涂层材料的溅射产额也随之变化. 本研究为聚变装置壁处理涂层寿命的评估提供数据支持, 并为壁处理涂层材料设计及处理策略提供了重要的理论参考.

2025, 74 (19): 195202.
doi: 10.7498/aps.74.20250699
摘要 +
强度应变率效应是动态本构模型研究的关键问题, 金属自由面Richtmyer-Meshkov不稳定性实验反映了极端高应变率下材料强度行为. 本文针对冲击压力5.5 GPa的锡自由面Richtmyer-Meshkov不稳定性实验, 采用3种本构模型进行模拟. 基于弹性理想塑性模型获得与实验一致的自由面扰动尖钉速度极大值即可获得锡材料等效强度, 发现强度在~106 s–1应变率时比准静态~10–4 s–1应变率增大约64倍, 应变率硬化十分显著. 弹性理想塑性模型和Steinberg-Cochran-Guinan模型虽能捕捉尖钉速度极大值, 但却无法复现实验中速度下降的卸载过程; 而引入应变率效应的应力松弛模型获得了与实验一致的整个尖钉速度历程. 揭示了强度应变率效应的影响贯穿扰动发展过程, 将可供动态本构模型研究的实验数据从单一速度极大值拓展为全过程速度曲线, 大幅提升了实验数据的利用效率, 对极端高应变率下动态本构模型研究具有重要价值.
封面文章

封面文章
2025, 74 (19): 196102.
doi: 10.7498/aps.74.20250738
摘要 +
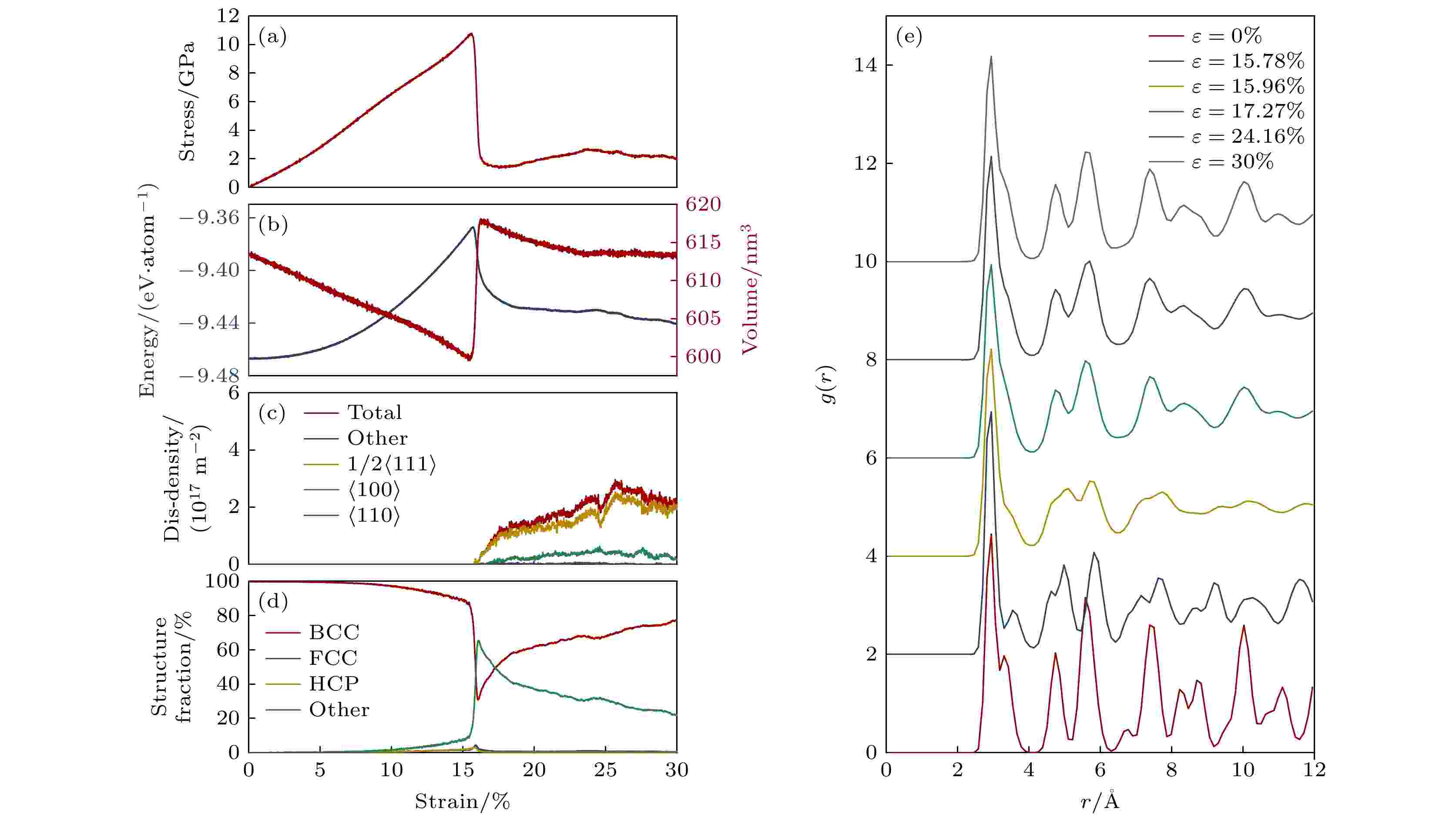
难熔多主元合金因其优异的高温性能和潜在工程应用成为材料领域研究热点, 其中NbTaTiZr四元多主元合金在高应变率与极端温度下的变形机制与力学行为尚不明确. 为揭示该合金的原子尺度响应规律, 构建了NbTaTiZr四元机器学习势, 结合分子动力学模拟系统研究了晶体取向、应变率、温度及组分对合金压缩力学行为的影响. NbTaTiZr在压缩时呈现出结构与力学响应的各向异性, 沿[111]晶向压缩时拥有最高屈服强度; 而沿[110]晶向压缩时的屈服强度最低, 在变形过程中更易产生孪晶; [100]晶向主要通过局域无序及位错滑移协调变形, 主导位错类型为1/2$ \left\langle{111}\right\rangle $. 应变率提升至1010 s–1时, 屈服强度显著增强且无序结构比例增大, 高应变率加载下通过抑制位错运动促进无序化转变. 该合金在2100 K高温下仍保持较高强度, Nb/Ta元素占比增加可显著提升屈服强度, 而Ti/Zr元素则产生负面效应. 研究揭示了多主元合金力学行为的各向异性特征与无序化转变的应变率依赖性, 为设计高性能难熔合金提供理论依据.
凝聚物质: 结构、力学和热学性质

编辑推荐
2025, 74 (19): 196401.
doi: 10.7498/aps.74.20250829
摘要 +
为改善增材制造过程中由于界面不稳定性引发的晶体结构缺陷问题, 本文基于线性稳定性理论, 系统研究了旋转与强剪切流协同作用对快速凝固中固-液界面形态稳定性的影响机制. 通过对增材制造过程的分析, 构建了包含旋转(泰勒数)与剪切流动参数的数学物理模型, 揭示了多物理场协同作用对界面不稳定性的调控规律. 研究发现强剪切流可有效降低逆临界形态数, 稳定固-液界面; 旋转场的引入则显著缩小了系统的不稳定性区域, 尤其在小波数范围内表现出显著的稳定作用. 此外旋转与流动的耦合效应进一步增强了界面附近溶质的均匀性, 并改善了熔池内的流动形态, 提升了整体的稳定性. 同时高表面能也表现出促进界面稳定的趋势, 旋转场对此效果具有增强作用. 本文的研究结果为实现高质量晶粒结构调控和增材制造工艺的参数优化提供了一定的理论支撑.

2025, 74 (19): 196801.
doi: 10.7498/aps.74.20250908
摘要 +
非对称润湿性Janus纤维膜凭借其两侧显著的润湿性差异, 在与液体相互作用时展现出诸多独特性能, 因此在微流控和生物医学等领域具有广阔的应用前景. 液滴定向输运作为Janus纤维膜的关键功能之一, 其输运机制与调控规律对于实际应用至关重要. 然而, 目前对于润湿性梯度及孔隙结构如何调控液滴定向输运行为的研究尚不充分. 本文建立了两相流-相场模型, 结合等离子体辅助构筑的Janus纤维膜液滴输运实验, 验证了模型的可靠性; 在此基础上, 系统研究了液滴在膜内的定向输运行为. 研究表明, 液滴从疏水侧向亲水侧的自发输运由表面自由能梯度、Laplace压差及毛细力协同驱动; 疏水层厚度、亲水层厚度、润湿性梯度和孔隙结构是调控输运效率的关键因素. 相较于传统非对称润湿性结构, 具有润湿性梯度的Janus纤维膜可显著提升液滴定向输运速度, 且亲水侧润湿性与输运速度呈显著正相关; 增大孔隙虽能加速液滴输运, 却会导致其在亲水侧的稳态铺展面积减小. 本研究为优化Janus纤维膜结构、实现液滴的高效与精准操控提供了重要理论依据.
凝聚物质: 电子结构、电学、磁学和光学性质

2025, 74 (19): 197101.
doi: 10.7498/aps.74.20250758
摘要 +
半狄拉克材料的各向异性使其具有独特的载流子传导操控选择性, 目前已分别在黑磷薄膜和拓扑金属ZrSiS材料中成功观测到半狄拉克电子行为, 即在半狄拉克点附近沿两个相互垂直的高对称路径上, 分别存在线性和抛物色散关系. 本文基于第一性原理计算, 预测在石墨烯基底上各向异性堆垛石墨烯纳米带阵列的结构体系中也可实现半狄拉克电子态. 还进一步研究了条带宽度、超胞中石墨烯宽度与条带宽度之比和外加电场对这种半狄拉克体系能带结构的影响. 值得注意的是在外电场作用下, 从计算模拟上分析了导带与价带由非锥型接触转变为锥型接触并逐步成为半狄拉克点的过程, 并相应存在从费米能级附近具有方向依赖的平带金属过渡到直接带隙半导体的相变. 该研究及其结果可能为二维材料纳米结构中半狄拉克电子态的实现与调控提供理论参考.

编辑推荐
2025, 74 (19): 197102.
doi: 10.7498/aps.74.20250904
摘要 +
采用静电悬浮技术研究了四元Fe75.6Nd10Y9B5.4合金的亚稳和稳定液态热物理性质及快速凝固规律, 其最大过冷度达到221 K (0.14TL). 精确测定了液态合金密度、热膨胀系数和比热与辐射率之比随温度的变化规律. 分子动力学模拟表明, Nd和Y两种稀土元素扩散系数均随温度下降以指数形式减小, 但相同温度下前者扩散速率高于后者. 当过冷度为80—158 K时, 初生(Nd, Y)2Fe17相枝晶生长速度从3.8 升高至5.7 mm·s–1, 且晶粒尺寸显著细化. 同时, 包晶转变也被促进, τ1-(Nd, Y)2Fe14B相体积分数增长至75%. 一旦过冷度达到180 K, 初生(Nd, Y)2Fe17相消失, τ1相直接从合金熔体中形核, 且生长速度随过冷度由2.6 增大至11.0 mm·s–1. 形成焓计算结果表明, Y元素固溶可以提升初生(Nd, Y)2Fe17和包晶τ1相的热力学稳定性, 所以两相内Y元素含量均显著高于Nd元素. 大过冷条件下, 扩散能力强的Nd元素在τ1相内的含量略微升高, 而Y元素含量下降.

编辑推荐
2025, 74 (19): 197301.
doi: 10.7498/aps.74.20250784
摘要 +
硅基纳米结构中杂质原子量子点阵列因其在量子计算、量子模拟等领域的巨大应用潜力而备受关注. 基于线形、环形和网状等不同几何结构排列的量子点阵列因拓扑特性的差异以及长程库仑相互作用的影响, 展现出各异的电子输运特性. 同时, 通过调控电子隧穿和波函数相位相干性, 可以深刻影响电子的跃迁输运行为. 本文致力于构建硅基纳米结构中杂质原子量子点阵列的通用Fermi-Hubbard模型, 探讨量子点分布的几何构型对电子的跃迁输运行为的调控机制. 特别以环形量子点阵列为例, 深入分析了不同几何结构和电子跃迁模式下的电子添加能谱与电导特性, 揭示了在位电子库仑排斥能、位间电子库仑排斥能、电子-离子实长程库仑吸引能与量子点耦合对电子跃迁行为的影响, 为理解量子点阵列几何分布对跳跃电子输运特性的调控机制提供了基本理论框架.

编辑推荐
2025, 74 (19): 197302.
doi: 10.7498/aps.74.20250814
摘要 +
本文系统地研究了半磁性拓扑绝缘体中的非线性霍尔效应及其调控机制. 研究发现半磁性拓扑绝缘体的非线性霍尔效应依赖于系统的磁性层的磁矩方向. 数值计算结果表明, 相对于线性霍尔电导, 系统的非线性霍尔电导对磁矩水平方向的变化较为敏感, 该现象可作为实验上辨别磁矩取向变化的表征指标. 本研究不仅加深了对半磁性拓扑绝缘体量子输运行为的理解, 还为多功能拓扑电子器件的设计提供了理论依据.

编辑推荐
2025, 74 (19): 197401.
doi: 10.7498/aps.74.20250728
摘要 +
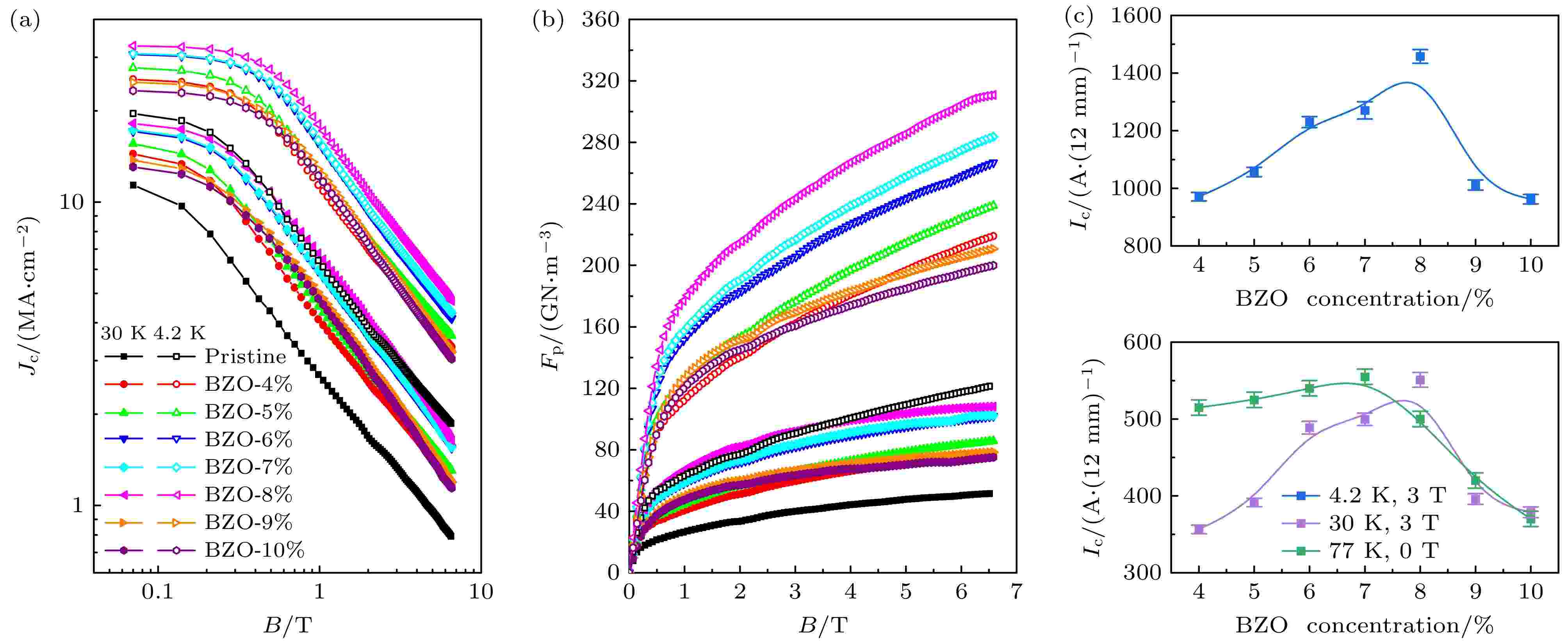
为解决传统元素掺杂YBa2Cu3O7–δ (YBCO)薄膜时掺杂相尺寸不可控和分布不均匀的问题, 本文采用预制纳米晶添加技术在YBCO高温超导带材中引入了弥散分布的小尺寸BaZrO3 (BZO)纳米晶作为磁通钉扎中心, 显著提高了YBCO薄膜在低温下的在场性能. 本文系统研究了原始尺寸约为8 nm的BZO纳米晶不同浓度的添加效果. 实验结果表明, 在4.2, 30和77 K温度条件下, BZO纳米晶添加对YBCO的自场和在场性能提升的最佳摩尔百分比浓度为8%. 在30 K@3 T时, BZO-8%的Fp约为92.06 GN/m3, 分别是BZO-4%和原始样品的1.54倍和2.3倍.

编辑推荐
2025, 74 (19): 197701.
doi: 10.7498/aps.74.20250654
摘要 +
电子器件向着大功率、小型化方向发展对环氧树脂电子封装材料的高温电学性能提出了更高的要求. 本研究采用环氧基封端苯基三硅氧烷(ETS)作为功能单体, 通过交联反应将Si—O键引入到双酚A环氧树脂中, 系统研究了ETS对环氧树脂复合材料的结构以及高温电学特性的影响及调控作用. 实验结果表明, 随着ETS含量的增大, 环氧树脂复合材料的交联度逐渐降低. 当ETS添加质量分数为2.5%时, 复合材料的玻璃化转变温度及热稳定性得到了提升, 且呈现最优综合电学性能, 在70 ℃下, 该复合材料电导率大幅下降, 空间电荷积聚程度得到明显改善, 陷阱深度加深, 介电损耗降低, 击穿强度提升至74.2 kV/mm. 随着ETS含量的逐步增大, 环氧复合材料的电学性能呈现先增强后减弱的非线性变化规律, 这种浓度依赖性行为与纳米填料改性体系具有相似的特性演变特征. 本文提出通过对硅氧烷与环氧交联后构成的微观交联网络拓扑结构演变来解释ETS对环氧树脂高温电学性能的影响. 本研究为开发硅氧烷改性高性能环氧树脂电子封装材料提供了重要的理论依据以及设计策略.

编辑推荐
2025, 74 (19): 197702.
doi: 10.7498/aps.74.20250938
摘要 +
微波可调器件是相控阵天线和射频前端的重要组成部分, 对于实现频率、相位和幅度的精准控制至关重要. 电介质陶瓷块体材料在微波可调器件中应用广泛, 但不易集成. 电介质薄膜材料具有易集成、低成本、高调谐速率、低功耗、小尺寸、连续可调等优点, 且相比块体材料更易与现代集成电路工艺兼容. 目前, 基于电介质薄膜材料设计器件的前提是: 在提高薄膜结晶质量的同时, 需采用低介电常数和低损耗的材料作为衬底来降低其对整体介电性能的影响. 然而, 适合电介质薄膜外延生长的低介电低损耗衬底(如MgO, Si等)与电介质薄膜晶格失配较大(>5%), 造成高质量外延生长面临较大挑战, 导致难以厘清其本征构效关系, 阻碍了其性能的协同优化, 进而无法获得高可调低损耗的电介质薄膜材料. 因此, 本研究基于激光脉冲沉积技术, 利用畴匹配外延机制在MgO(001)衬底上制备出了高性能的Ba0.6Sr0.4TiO3外延薄膜, 其可调率达到67.2%, 品质因子为49, 优值因子为32.93. 与已有报道相比, 本研究制备的Ba0.6Sr0.4TiO3薄膜表现出更高的介电可调率和更低的介电损耗, 系统地分析了薄膜形貌、晶体结构、温度等因素对其介电性能的影响, 为厘清Ba1–xSrxTiO3薄膜的宽频域构效关系奠定了基础, 凸显了其在可调谐微波器件中的应用潜力.

2025, 74 (19): 197801.
doi: 10.7498/aps.74.20250859
摘要 +
基于连续域束缚态(bound states in the continuum, BIC)的全介质超表面因其具有超高品质因子(quality factor, Q), 能有效地增强光与物质的相互作用, 而被广泛应用于微纳生物传感领域. 本文提出了一种基于BIC的矩形全介质双聚体超表面, 并采用有限元方法进行仿真模拟以及使用时域耦合模进行理论分析. 针对超表面中两长方对的角度、折射率、宽度和高度等参数, 分别设计了4种系统破缺方式, 均实现了对称保护型BIC (symmetry-protected BIC, SP-BIC)向准BIC (quasi-BIC, QBIC)模式的转变, 获得的最大Q因子高达1.75×104. 引入相同的不对称参数后, 4种调控方式下的超表面灵敏度几乎处于同一水平, 而传感品质因数(figure of merit, FOM)的差异可达103数量级. 在同一调控方式下, 当破缺参数绝对值相等时, 正向破缺的超表面的灵敏度和FOM都高于负向破缺. 经优化调节后, 超表面的灵敏度和FOM分别达到了395 nm/RIU和3502 RIU–1, 其综合性能指标已优于大部分现有研究. 该超表面为生物、医疗领域的传感检测提供了有效手段, 同时该研究为基于BIC的折射率传感器的设计提供了新思路.
物理学交叉学科及有关科学技术领域

2025, 74 (19): 198101.
doi: 10.7498/aps.74.20250523
摘要 +
高输出功率密度下的热积累问题是氮化镓基功率器件面临的关键瓶颈之一. 纳米晶金刚石钝化层策略在GaN基高功率器件散热方面发挥着重要的作用. 在硅基AlGaN/GaN异质结材料上制备了厚420—440 nm、晶粒尺寸330—380 nm的纳米晶金刚石薄膜, 制备了纳米晶金刚石钝化的GaN基横向肖特基二极管器件, 并对比研究了其与SiNx钝化器件的电学、热学性质. 测试结果显示, 在直流偏置下, 有无纳米晶钝化层的二极管器件正向特性基本一致; 在–20 V偏置电压下, 对两种器件施加2.5 V脉冲电压后, 纳米晶钝化二极管电流密度仅退化2.6%, 而SiNx钝化器件电学特性几乎完全退化, 表明纳米晶金刚石钝化二极管具有对电流崩塌现象优异的抑制能力; 在变直流功率条件下对两种器件的热成像显微观测结果显示, 发生热损毁时, SiNx钝化器件输出功率密度约4 W/mm, 而纳米晶钝化器件则约为7.5 W/mm. 本文是纳米晶金刚石钝化工艺在GaN基功率二极管散热应用的首次报道, 充分证明了该策略在GaN基功率二极管方面的应用潜力.

2025, 74 (19): 198102.
doi: 10.7498/aps.74.20250815
摘要 +
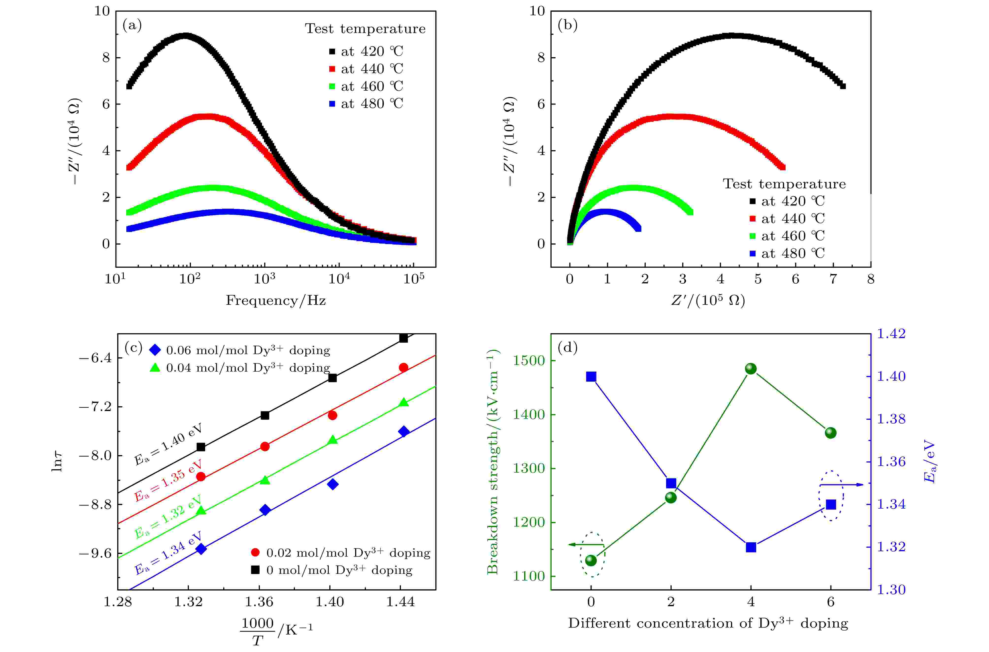
电介质玻璃陶瓷材料兼具高功率密度与高能量密度, 在脉冲功率器件的轻量化、小型化与集成化方面具有重要的应用前景. 本研究采用高温熔融、快速冷却结合析晶工艺, 成功制备了不同摩尔浓度稀土Dy3+掺杂的BaO-Na2O-Nb2O5基玻璃陶瓷, 并系统探究了Dy3+掺杂对玻璃陶瓷微观结构、结晶行为及介电储能性能的影响. 结果表明, Dy3+掺杂对基体玻璃陶瓷的相结构无明显影响, 但适量掺杂可促进钨青铜结构Ba2NaNb5O15陶瓷相的析出, 同时提高玻璃陶瓷的结晶度, 进而提升其介电常数. 此外, Dy3+掺杂能够有效抑制晶粒生长, 增强玻璃陶瓷的耐击穿场强. 当Dy3+掺杂浓度为0.04 mol/mol时, 玻璃陶瓷表现出优异的介电储能性能: 介电常数达97, 击穿场强提升至1485 kV/cm, 储能密度高达8.01 J/cm3, 是未掺杂玻璃陶瓷储能性能的1.87倍. 本研究为优化玻璃陶瓷材料的介电储能性能提供了重要的实验依据和技术参考, 对推动高性能脉冲功率器件的发展具有重要意义.

2025, 74 (19): 198201.
doi: 10.7498/aps.74.20250818
摘要 +
[EMIm]+Cl–+AlCl3离子液体是一种在铝离子电池中具有突出应用前景的电解液. 由于该离子液体中存在的可迁移离子种类多样(Al3+, AlCl3, [AlCl4]–和[Al2Cl7]–), 而且迁移离子类型之间存在实验研究尚未完全明晰的转换反应过程, 这导致其离子迁移机制复杂且离子扩散动力学过程缓慢, 难以通过常规的基于第一性原理分子动力学的方法实现具有显著统计意义的扩散动力学过程模拟. 本文建立了不同浓度的[EMIm]+Cl–+AlCl3离子液体原子尺度结构模型, 并基于第一性原理分子动力学模拟和主动学习方法构建了训练集和测试集, 实现了高精度的深度学习神经网络原子间势函数的拟合, 其拟合能量和原子受力误差分别为5×10–4 eV/atom和5×10–2 eV/Å. 进一步通过比较深度学习势与第一性原理分子动力学模拟计算得到的[EMIm]+Cl–+AlCl3离子液体径向分布函数和振动谱密度函数, 佐证了机器学习势进行分子动力学计算的可靠性. 最后, 基于深度学习势函数的分子动力学开展了针对包含上万原子体系不同浓度比例的[EMIm]+Cl–+AlCl3离子液体纳秒级别的扩散动力性质的研究, 预测显示300 K下该系列离子液体中Al3+扩散系数基本保持在4×10–7 cm2/s. 基于深度学习势分子动力学轨迹明确了Al3+的两种主要扩散机制: 其一为[AlCl4]–和[Al2Cl7]–在不同溶剂壳层结构的迁移机制; 其二为AlCl3分子通过电解液中[Al2Cl7]–与 [AlCl4]–之间传递AlCl3互相转换实现长程输运的过程. 本文对Al离子电池离子液体电解液的Al3+传输机理进行了更加深入的阐释, 并进一步推动了机器学习势在模拟具有复杂分子结构和扩散动力学反应机制的电解液领域应用.

编辑推荐
2025, 74 (19): 198501.
doi: 10.7498/aps.74.20250426
摘要 +
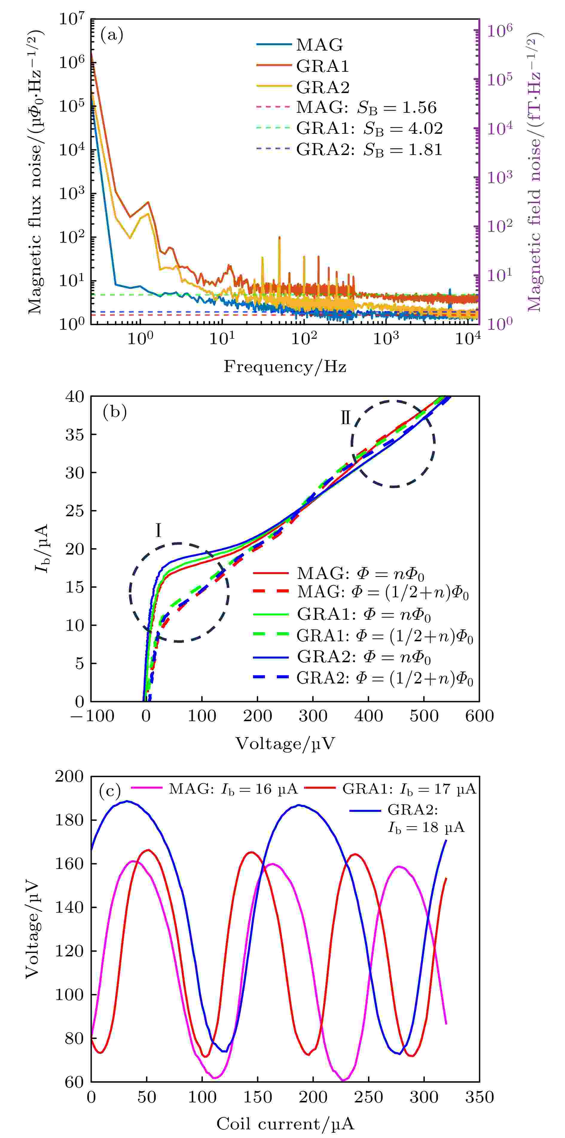
超导量子干涉器件(SQUID)作为一种超灵敏的磁通传感器, 在生物磁探测、低场核磁共振、地球物理探矿等领域得到广泛应用. 本文设计开发了一种用于脑磁(MEG)系统的集成SQUID芯片, 并进行了批量封装测试. 其中, 每个芯片上集成了两个一阶平面梯度计和一个磁强计, 采用亚微米约瑟夫森结制备技术, 实现0.7 μm×0.7 μm的亚微米结尺寸. SQUID与探测线圈采用Nb超导引线连接, 集成到同一芯片上. 对171个SQUID器件的测试结果显示, 这些器件在磁场白噪声、I-V特性、V-Φ特性等方面表现优异. 本文制备的SQUID器件工作电流集中在15—20 μA, 电压摆幅集中在80—120 μV. 此外, 超过80%的SQUID器件的磁场白噪声低于$ 5{\text{ fT/}}\sqrt {{\text{Hz}}} $, 能够满足多通道SQUID脑磁系统的要求.

2025, 74 (19): 198502.
doi: 10.7498/aps.74.20250849
摘要 +
利用密度泛函理论结合非平衡格林函数的第一性原理方法, 研究了金属相1T-MoS2和Pd金属为非对称源漏电极的5 nm二维SiC场效应晶体管的输运性质, 并系统分析了1T-MoS2电极层数增加以及工作电压减小对器件工作性能的影响机制. 研究结果表明1T-MoS2层数增加会增大器件空穴肖特基势垒高度, 但同时提高带边输运系数, 二者相互竞争共同影响器件的工作性能. SiC的宽禁带特征可以显著抑制短沟道效应, 使所有器件都可以满足关态要求. 更重要的是, 所有器件在0. 64 V工作电压下的亚阈值摆幅都接近60 mV/dec物理极限, 且各项工作性能参数均能显著超越国际设备和系统路线图(IRDS)为高性能器件设定的标准. 此外, 器件的工作电压可以进一步降低至0.52 V, 对应的功耗延迟积和延迟时间低至0.086 fJ/μm和0.038 ps, 仅为IRDS标准的14%和4%. 本工作提出的非对称源漏电极设计策略, 不仅很好地解决了现有二维材料场效应晶体管开态电流不高以及短沟道效应制约关态电流的问题, 更为后摩尔时代超低功耗纳米电子器件的发展提供了重要的解决方案.
地球物理学、天文学和天体物理学

2025, 74 (19): 199201.
doi: 10.7498/aps.74.20250580
摘要 +
来自地球大气层的伽马射线闪(TGF)常伴随雷暴、闪电活动, 现已成为宇宙线物理和大气物理交叉学科中的研究热点. 相对论逃逸电子雪崩机制(RREA)被普遍认为可解释卫星和地面实验中伴随闪电先导过程的TGF现象. 本文基于CORSIKA软件包, 模拟了宇宙线次级电子在雷暴云强电场中引发的RREA过程, 并研究了RREA电子的强度和能量分布. 结果表明, 随着雷暴云内电场强度和电场区垂直尺度的增加, RREA电子数目均呈指数增长; 发生RREA机制的雪崩距离常数(λ)随电场强度的增加而减小, 当电场为–1600和–3000 V/cm时, λ分别约为282 m和69 m. RREA电子的能谱随电场强度和电场区垂直尺度的增加而逐渐变软, 其平均能量随电场强度的增加而增加, 当雷暴云内电场区垂直尺度大于400 m时, RREA电子的平均能量逐渐趋于稳定. 模拟发现, 电场为–3000 V/cm、电场区的垂直尺度为800 m时, RREA电子的平均能量约为11.7 MeV. 本文通过蒙特卡罗方法复现了大气中难以直接观测的RREA过程, 该模拟结果为研究TGF源区特征提供了重要信息, 为地面实验探测下行TGF提供了线索, 并有助于研究大气中闪电的触发机制.