-
以地面发射的高功率电磁波与电离层等离子体之间的相互作用为研究对象, 基于等离子体流体模型和Zakharov方法, 建立了用于描述地面泵波作用下电离层等离子体中波-波、波-粒相互作用的物理数学模型, 开展了电离层主动加热的数值模拟研究. 计算结果表明: 当地面发射的泵波在电离层等离子体中传播时, 反射高度处电磁波能量的沉积会产生较强的局部电场, 从而激发参量不稳定性过程; 当满足频率和波矢的匹配关系时, 会激发泵波、Langmuir波和离子声波三波相互作用的参量衰减不稳定性, 以及泵波、上混杂波和下混杂波三波相互作用的参量不稳定性; 在本文所研究的泵波频率和功率范围内, 泵波频率的降低会导致寻常波的反射高度降低, 且电子温度的扰动比例随着频率的降低而升高, 而泵波功率的增大则会导致等离子体从泵波中吸收的能量增大、电子温度升高. 本文数值模拟结果揭示了不同泵波参数对电离层等离子体特性时空演化的影响规律以及波-粒能量输运过程, 阐释了实验观察到的参量不稳定性和受激电磁辐射等的产生机制.In low-pressure plasmas, the collisions between particles are weak and insufficient damping from collisions, leading to the gradual development of various waves and instabilities. Thus, the effects of wave-particle interaction are non-negligible in the non-equilibrium transport processes in plasma under low pressure conditions. For example, the heating of ionospheric plasma by high-frequency electromagnetic waves plays an important role in achieving over-the-horizon communication. During the wave propagation through the ionosphere, the electromagnetic radiation changes the local electron temperature and density, and simultaneously, excites various wave modes and instabilities. This study focuses on the interactions between high-power electromagnetic waves emitted from the ground and ionospheric plasma. Based on the plasma fluid model and Zakharov method, a physical-mathematical model is established to describe the wave-wave and wave-particle interactions in the ionospheric plasmas under the excitation of the pump waves. The modeling results of the active heating of ionosphere show that when the ground-emitted waves propagate in the ionospheric plasma, the energy deposition of the electromagnetic waves at the reflection height will excite a strong localized electric field, leading to the parametric instabilities. When the frequency and wave vector matching conditions are satisfied, two different three-wave interactions will be excited, i.e. the parametric decay instability involving the pump wave, Langmuir wave and ion acoustic wave, as well as the parametric instability related to the pump wave, upper hybrid and lower hybrid waves. Within a certain range of pump frequency and power studied in this study, the decrease of the pump frequency will lead to the decrease of the reflection height of the ordinary waves, and simultaneously, the perturbation ratios of the electron temperature will also increase. A higher pump wave power will enhance the energy absorption of the ionospheric plasma by the pump wave, thereby increasing the electron temperature. The modeling results not only reveal the spatiotemporal evolutions of the ionospheric plasma characteristics under various pump parameters and the energy transport processes between waves and particles, but also theoretically explain the parametric instability, stimulated electromagnetic emission and other phenomena observed in experiments.
-
Keywords:
- artificial heating of ionosphere /
- non-equilibrium transport /
- parametric instability /
- numerical simulation
[1] Stubbe P, Hagfor T 1997 Surv. Geophys. 18 57
Google Scholar
[2] 占亮 2007 硕士学位论文 (北京: 中国科学院研究生院)
Zhan L 2007 M. S. Thesis (Beijing: Graduate School of Chinese Academy of Science
[3] 黄文耿, 古士芬, 龚建村 2004 电波科学学报 19 296
Google Scholar
Huang W G, Gu S F, Gong J C 2004 Chin. J. Radio 19 296
Google Scholar
[4] Chang S S, Ni B B, Zhao Z Y , Gu X D, Zhou C 2014 Chin. Phys. B 23 089401
Google Scholar
[5] Gondarenko N A, Ossakow S L, Milikh G M 2005 J. Geophys. Res-Space Phys. 110 A09304
Google Scholar
[6] Li H P, Ostrikov K K, Sun W T 2018 Phys. Rep. 770-772 1
Google Scholar
[7] Streltsov A V, Berthelier J J, Chernyshov A A, et al. 2018 Space Sci. Rev. 214 1
Google Scholar
[8] 黄文耿 2003 博士学位论文 (北京: 中国科学院研究生院)
Huang W G 2003 Ph. D. Dissertation (Beijing: Graduate School of Chinese Academy of Science
[9] 李江挺 2012 博士学位论文 (西安: 西安电子科技大学)
Li J T 2012 Ph. D. Dissertation (Xi’an: Xidian University
[10] Gurevich A V, Lukyanov A V, Zybin K P 1996 Phys. Lett. A 211 363
Google Scholar
[11] Gurevich A V, Milikh G M 1997 J. Geophys. Res-Space Phys. 102 389
Google Scholar
[12] Stubbe P 1996 J. Atmos. Terr. Phys. 58 349
Google Scholar
[13] Bernhardt P A, Wong M, Huba J D, Fejer B G, Wagner L S, Goldstein J A, Selcher C A, Frolov V L, Sergeev E N 2000 J. Geophys. Res-Space Phys. 105 10657
Google Scholar
[14] 王晓钢 2014 等离子体物理基础 (北京: 北京大学出版社) 第3—15页
Wang X G 2014 Fundamentals of Plasma Physics (Beijing: Peking University Press) pp3–15
[15] 马腾才, 胡希伟, 陈银华 2012 等离子体物理原理(修订版) (合肥: 中国科学技术大学出版社) 第16—34页
Ma T C, Hu X W, Chen Y H 2012 Principles of Plasma Physics (Revised Edition) (Hefei: University of Science and Technology of China Press) pp16–34
[16] 汪四成, 方涵先, 杨升高, 翁利斌 2012 空间科学学报 32 818
Google Scholar
Wang S C, Fang H X, Yang S G, Weng L B 2012 Chin. J. Space Sci. 32 818
Google Scholar
[17] Wong A Y 1977 Laser Interact. Relat. Plasma Phenom. 4B 783
[18] Zakharov V E 1972 Sov. Phys. JETP 35 908
[19] DuBois D F, Rose H A, Russell D 1990 J. Geophys. Res-Space Phys. 95 21221
Google Scholar
[20] Eliasson B, Senior A, Rietveld M, et al. 2021 Nat. Commun. 12 6209
Google Scholar
[21] 杨利霞, 刘超, 李清亮, 闫玉波 2022 71 064101
Google Scholar
Yang L X, Liu C, Li Q L, Yan Y B 2022 Acta Phys. Sin. 71 064101
Google Scholar
[22] Bernhardt P A, Duncan L M 1982 J. Atmos. Terr. Phys. 44 1061
Google Scholar
[23] Gurevich A, Hagfors T, Carlson H, Karashtin A, Zybin K 1998 Phys. Lett. A 239 385
Google Scholar
[24] 王琛, 周晨, 赵正予, 张援农, 杨许铂 2015 地球 58 1853
Google Scholar
Wang C, Zhou C, Zhao Z Y, Zhang Y N, Yang X B 2015 Chin. J. Geophys. 58 1853
Google Scholar
[25] 古列维奇A V著 (刘选谋, 张训械译) 1986 电离层中的非线性现象 (北京: 科学出版社) 第245—249页
Gurevich A V (translated by Liu X M, Zhang X J) 1986 Nonlinear Phenomena in the Ionosphere (Beijing: Science Press) pp245–249
[26] Dysthe K B, Mjølhus E, Pécseli H L, Rypdal K 1983 Phys. Fluids 26 146
Google Scholar
[27] Banks P M, Kockarts G 1973 Aeronomy (New York: Academic Press
[28] 王琛 2016 博士学位论文 (武汉: 武汉大学)
Wang C 2016 Ph. D. Dissertation (Wuhan: Wuhan University
[29] 黄文耿, 古士芬 2003 空间科学学报 23 181
Google Scholar
Huang W G, Gu S F 2003 Chin. J. Space Sci. 23 181
Google Scholar
[30] Stubbe P, Varnum W S 1972 Planet Space Sci. 20 1121
Google Scholar
[31] 黄文耿, 古士芬 2003 空间科学学报 23 343
Google Scholar
Huang W G, Gu S F 2003 Chin. J. Space Sci. 23 343
Google Scholar
[32] Mahmoudian A, Nossa E, Isham B, Bernhardt P A, Briczinski S J, Sulzer M 2019 J. Geophys. Res-Space Phys. 124 3699
Google Scholar
[33] Frolov V L, Sergeev E N, Ermakova E N, Komrakov G P 2001 Geophys. Res. Lett. 28 3103
Google Scholar
[34] Bilitza D, Altadill D, Truhlik V, Shubin V, Galkin I, Reinisch B, Huang X 2017 Space Weather 15 418
Google Scholar
[35] Hedin A E 1991 J. Geophys. Res-Space Phys. 96 1159
Google Scholar
[36] Alken P, Thébault E, Beggan C D, et al. 2021 Earth Planets Space 73 1
Google Scholar
[37] Mur G 1981 IEEE Trans. Electromagn. Compat. 23 377
Google Scholar
[38] Eliasson B, Thidé B 2007 Geophys. Res. Lett. 34 L06106
Google Scholar
[39] 王晓钢 2014 等离子体物理基础 (北京: 北京大学出版社) 第79—81页
Wang X G 2014 Fundamentals of Plasma Physics (Beijing: Peking University Press) pp79–81
[40] 周晨, 王翔, 刘默然, 倪彬彬, 赵正予 2018 地球 61 4323
Google Scholar
Zhou C, Wang X, Liu M R, Ni B B, Zhao Z Y 2018 Chin. J. Geophys. 61 4323
Google Scholar
-
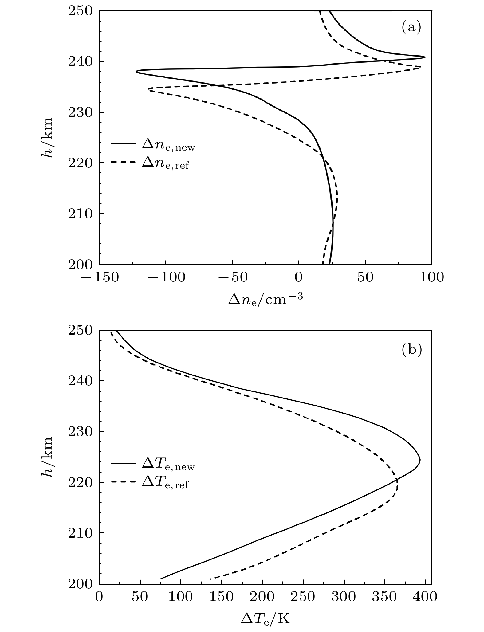
图 6 等离子体参量不稳定性演化过程 (a) h = 212 km高度处x, y, z方向电场强度的时间演化; (b) t = 6.25—8.00 ms时间内y方向电场慢变振幅实部εy, r时空演化过程二维等值线图; (c) t = 9.25—10.45 ms时间内y方向电场强度二维Fourier变换图
Fig. 6. Evolutions of plasma parametric instabilities: (a) Temporal evolutions of the electric field intensity in the x, y and z directions at a height of h = 212 km; (b) two-dimensional contour of the spatiotemporal evolution of the real part of the slow-varying amplitude of the electric field in the y direction (εy, r) during t = 6.25—8.00 ms; (c) two-dimensional Fourier transform of the electric field intensity in the y direction during t = 9.25—10.45 ms.
表 1 平均动量传输碰撞截面$ {\bar Q_{\text{D}}} $[27]
Table 1. Mean momentum transfer collision cross section $ {\bar Q_{\text{D}}} $[27]
粒子种类 碰撞截面/cm2 N2 $(2.82-3.41\times 10^{-4} T_{\rm e}) \times T_{\rm e}^{1/2} \times 10^{-17} $ O2 $2.2\times 10^{-16} \times (1+3.6\times 10^{-2}T_{\rm e}^{1/2})$ O $1\times 10^{-15} $ H $(54.7-7.45\times 10^{-3}T_{\rm e}) \times 10^{-16} $ He $5.6\times 10^{-16} $ 粒子种类 碰撞频率/Hz N2 $2.33\times 10^{-11} n({\rm N_2}) (1-1.2\times 10^{-4} T_{\rm e}) T_{\rm e} $ O2 $1.8\times 10^{-10} n({\rm O_2}) (1 + 3.6\times 10^{-2}T_{\rm e}^{1/2}) T_{\rm e}^{1/2} $ O $8.2\times 10^{-10} n({\rm O} ) T_{\rm e}^{1/2} $ H $4.5\times 10^{-9}n({\rm H}) \times (1-1.35\times 10^{-4} T_{\rm e}) T_{\rm e}^{1/2} $ He $4.6\times 10^{-10}n({\rm He})T_{\rm e}^{1/2} $ 表 3 电磁波对电离层等离子体加热背景参数[31]
Table 3. Parameters for modeling of electromagnetic waves heating ionospheric plasmas[31].
参数名称 参数值 热层中性风速度vn/(m·s–1) 100 模拟区域高度范围/km 150—400 地磁场倾角θ/(°) 30.0 地磁场磁感应强度Bg/T 4.6×10–5 泵波频率f0/MHz 6.0 发射机有效辐射功率WERP/MW 200 表 4 阿雷西博天文台受激布里渊散射实验参数[32]
Table 4. Parameters of stimulated Brillouin scattering experiment at Arecibo Observatory[32].
参数名称 参数值 实验地点纬度 18°20'39" N 实验地点经度 66°45'10" W 地磁场磁感应强度Bg/T 4.6×10–5 泵波频率f0/MHz 5.125 发射机有效辐射功率WERP/MW 80 电离层F2层临界频率/MHz ~5.0 泵波反射高度/km ~325 表 5 挪威EISCAT电离层及电磁场参数[20]
Table 5. Parameters of ionosphere and electromagnetic field at EISCAT in Norway[20].
参数名称 参数值 O波频率f0/MHz 6.3 发射机有效辐射功率WERP/MW 554.1 探测波频率fprobe/Hz 10 电场强度E/(V·m–1) 0.2 地磁场磁感应强度Bg/μT 48.59 地磁场倾角θ/(°) 78.2 离子温度Ti/K 1000 表 6 俄罗斯Sura装置电离层加热实验典型参数[33]
Table 6. Typical parameters of ionospheric heating experiment at the Sura facility in Russia[33].
参数名称 参数值 泵波频率/MHz 4.3—9.5 实验时间范围/a 1996—2000 实验地点纬度 56.13°N 实验地点经度 46.10°E 有效辐射功率WERP/MW 30—60 表 7 电离层背景粒子及地磁场参数
Table 7. Parameters of ionospheric background particles and geomagnetic field.
参数名称 参数值 电子温度/K 1535.3—1832.4 电子数密度/m–3 3.72×1011—4.93×1011 地磁场倾角/(°) 72.1 地磁场磁感应强度/T 4.6×10–5 等离子体频率/MHz 5.47—6.30 上混杂频率/MHz 5.63—6.44 下混杂频率/kHz 7.88 -
[1] Stubbe P, Hagfor T 1997 Surv. Geophys. 18 57
Google Scholar
[2] 占亮 2007 硕士学位论文 (北京: 中国科学院研究生院)
Zhan L 2007 M. S. Thesis (Beijing: Graduate School of Chinese Academy of Science
[3] 黄文耿, 古士芬, 龚建村 2004 电波科学学报 19 296
Google Scholar
Huang W G, Gu S F, Gong J C 2004 Chin. J. Radio 19 296
Google Scholar
[4] Chang S S, Ni B B, Zhao Z Y , Gu X D, Zhou C 2014 Chin. Phys. B 23 089401
Google Scholar
[5] Gondarenko N A, Ossakow S L, Milikh G M 2005 J. Geophys. Res-Space Phys. 110 A09304
Google Scholar
[6] Li H P, Ostrikov K K, Sun W T 2018 Phys. Rep. 770-772 1
Google Scholar
[7] Streltsov A V, Berthelier J J, Chernyshov A A, et al. 2018 Space Sci. Rev. 214 1
Google Scholar
[8] 黄文耿 2003 博士学位论文 (北京: 中国科学院研究生院)
Huang W G 2003 Ph. D. Dissertation (Beijing: Graduate School of Chinese Academy of Science
[9] 李江挺 2012 博士学位论文 (西安: 西安电子科技大学)
Li J T 2012 Ph. D. Dissertation (Xi’an: Xidian University
[10] Gurevich A V, Lukyanov A V, Zybin K P 1996 Phys. Lett. A 211 363
Google Scholar
[11] Gurevich A V, Milikh G M 1997 J. Geophys. Res-Space Phys. 102 389
Google Scholar
[12] Stubbe P 1996 J. Atmos. Terr. Phys. 58 349
Google Scholar
[13] Bernhardt P A, Wong M, Huba J D, Fejer B G, Wagner L S, Goldstein J A, Selcher C A, Frolov V L, Sergeev E N 2000 J. Geophys. Res-Space Phys. 105 10657
Google Scholar
[14] 王晓钢 2014 等离子体物理基础 (北京: 北京大学出版社) 第3—15页
Wang X G 2014 Fundamentals of Plasma Physics (Beijing: Peking University Press) pp3–15
[15] 马腾才, 胡希伟, 陈银华 2012 等离子体物理原理(修订版) (合肥: 中国科学技术大学出版社) 第16—34页
Ma T C, Hu X W, Chen Y H 2012 Principles of Plasma Physics (Revised Edition) (Hefei: University of Science and Technology of China Press) pp16–34
[16] 汪四成, 方涵先, 杨升高, 翁利斌 2012 空间科学学报 32 818
Google Scholar
Wang S C, Fang H X, Yang S G, Weng L B 2012 Chin. J. Space Sci. 32 818
Google Scholar
[17] Wong A Y 1977 Laser Interact. Relat. Plasma Phenom. 4B 783
[18] Zakharov V E 1972 Sov. Phys. JETP 35 908
[19] DuBois D F, Rose H A, Russell D 1990 J. Geophys. Res-Space Phys. 95 21221
Google Scholar
[20] Eliasson B, Senior A, Rietveld M, et al. 2021 Nat. Commun. 12 6209
Google Scholar
[21] 杨利霞, 刘超, 李清亮, 闫玉波 2022 71 064101
Google Scholar
Yang L X, Liu C, Li Q L, Yan Y B 2022 Acta Phys. Sin. 71 064101
Google Scholar
[22] Bernhardt P A, Duncan L M 1982 J. Atmos. Terr. Phys. 44 1061
Google Scholar
[23] Gurevich A, Hagfors T, Carlson H, Karashtin A, Zybin K 1998 Phys. Lett. A 239 385
Google Scholar
[24] 王琛, 周晨, 赵正予, 张援农, 杨许铂 2015 地球 58 1853
Google Scholar
Wang C, Zhou C, Zhao Z Y, Zhang Y N, Yang X B 2015 Chin. J. Geophys. 58 1853
Google Scholar
[25] 古列维奇A V著 (刘选谋, 张训械译) 1986 电离层中的非线性现象 (北京: 科学出版社) 第245—249页
Gurevich A V (translated by Liu X M, Zhang X J) 1986 Nonlinear Phenomena in the Ionosphere (Beijing: Science Press) pp245–249
[26] Dysthe K B, Mjølhus E, Pécseli H L, Rypdal K 1983 Phys. Fluids 26 146
Google Scholar
[27] Banks P M, Kockarts G 1973 Aeronomy (New York: Academic Press
[28] 王琛 2016 博士学位论文 (武汉: 武汉大学)
Wang C 2016 Ph. D. Dissertation (Wuhan: Wuhan University
[29] 黄文耿, 古士芬 2003 空间科学学报 23 181
Google Scholar
Huang W G, Gu S F 2003 Chin. J. Space Sci. 23 181
Google Scholar
[30] Stubbe P, Varnum W S 1972 Planet Space Sci. 20 1121
Google Scholar
[31] 黄文耿, 古士芬 2003 空间科学学报 23 343
Google Scholar
Huang W G, Gu S F 2003 Chin. J. Space Sci. 23 343
Google Scholar
[32] Mahmoudian A, Nossa E, Isham B, Bernhardt P A, Briczinski S J, Sulzer M 2019 J. Geophys. Res-Space Phys. 124 3699
Google Scholar
[33] Frolov V L, Sergeev E N, Ermakova E N, Komrakov G P 2001 Geophys. Res. Lett. 28 3103
Google Scholar
[34] Bilitza D, Altadill D, Truhlik V, Shubin V, Galkin I, Reinisch B, Huang X 2017 Space Weather 15 418
Google Scholar
[35] Hedin A E 1991 J. Geophys. Res-Space Phys. 96 1159
Google Scholar
[36] Alken P, Thébault E, Beggan C D, et al. 2021 Earth Planets Space 73 1
Google Scholar
[37] Mur G 1981 IEEE Trans. Electromagn. Compat. 23 377
Google Scholar
[38] Eliasson B, Thidé B 2007 Geophys. Res. Lett. 34 L06106
Google Scholar
[39] 王晓钢 2014 等离子体物理基础 (北京: 北京大学出版社) 第79—81页
Wang X G 2014 Fundamentals of Plasma Physics (Beijing: Peking University Press) pp79–81
[40] 周晨, 王翔, 刘默然, 倪彬彬, 赵正予 2018 地球 61 4323
Google Scholar
Zhou C, Wang X, Liu M R, Ni B B, Zhao Z Y 2018 Chin. J. Geophys. 61 4323
Google Scholar
计量
- 文章访问数: 1518
- PDF下载量: 30
- 被引次数: 0








下载: