-
基于保偏光子晶体光纤提出并构建了一种掺铒光纤激光扭转传感器. 该传感器将基于保偏光子晶体光纤的Sagnac干涉仪引入掺铒光纤环形腔中作滤波器和扭转传感器件, 利用光纤激光器线宽窄、信噪比高的优势, 成功实现了高分辨率的光纤扭转传感器. 实验系统研究了激光器的输出特性及扭转响应特性. 研究结果表明, 该扭转传感器可以实现的最大线性测量范围可达480° (31.02 rad/m), 最大扭转传感灵敏度为0.032 nm/(°) (0.5 nm/(rad/m)), 分辨率高达0.681° (0.06 rad/m). 同时, 在20—95 ℃温度变化范围内, 该传感器随温度的变化量仅为4×10–3 nm/℃, 温度交叉敏感带来的扭转角度的测量误差仅为0.16 (°)/℃. 其温度稳定性和温度对扭转角度测量造成的误差分别为现有报道的2/73和40/333. 本文提出的光纤激光扭转传感器具有线性响应范围宽、分辨率高、温度稳定性好等显著优势, 在航空航天、医疗微创手术、机械结构形变感知等领域具有巨大的应用潜力.Torsion information is important for rotating systems, industrial monitoring, transportation engineering, and medical equipment. Optical fiber torsion sensors have significant advantages, such as immune to electromagnetic interference, small size, and light weight. Sagnac loop interferometer (SI) torsion sensors have attracted much attention due to their compact structure, high sensitivity, excellent stability, and low cost. However, their nonlinear response limits the measurement range, while the wide full width at half maximum and low signal-to-noise ratio (SNR) reduce the resolution of torsion sensors. To solve these problems, a fiber ring laser torsion sensor (FRLTS) based on homemade polarization-maintaining photonic crystal fiber (PM-PCF) is proposed in this work. The torsion sensor introduces a PM-PCF based SI into the erbium-doped fiber ring cavity as a filter and torsion sensor device. The interference spectrum of SI is derived by the transmission matrix method and simulated, and then the sensing principle of the sensor is obtained. Subsequently, the experimental system is set up to study the lasing output characteristics and torsion response of the FRLTS. By taking advantage of the narrow linewidth and high signal-to-noise ratio (SNR) of fiber ring lasers, a high-resolution fiber torsion sensor is successfully obtained. The experimental results show that the maximum linear torsion measurement range of the sensor can be extended to 480° (from –260° to 220°), the maximum torsion sensitivity is 0.032 nm/(°), and the resolution is as high as 0.681°. Furthermore, in a temperature range from 20 ℃ to 95 ℃, the temperature-induced wavelength variation is only 4×10–3 nm/℃, corresponding to a torsion angle measurement error of 0.16(°)/℃. Compared with existing reports, its temperature stability is increased by 37.5 times, while the temperature-induced error in angle measurements is reduced by 9.375 times. The proposed FRLTS not only successfully achieves high-resolution and wide-range torsion sensing, but also effectively suppresses cross-sensitivity caused by temperature. Therefore, the torsion sensor has significant potential applications in fields such as aerospace and robotics where precise measurement of minute torsion angle is required in special environments.
[1] Cui J X, Cheng X, Gunawardena D S, Leong C Y, Dash J N, Lau A P T, Tam H Y 2024 Opt. Laser Technol. 174 110548
Google Scholar
[2] Cao J Q, Wang B, Huang B S, Lou S Q, Sheng Z F, Chu P K 2024 J. Lightwave Technol. 42 5743
Google Scholar
[3] López-Higuera J M, Cobo L R, Incera A Q, Cobo A 2011 J. Lightwave Technol. 29 587
Google Scholar
[4] Yin G L, Xu Z, Ma J M, Zhu T 2022 J. Lightwave Technol. 41 1851
[5] Zheng Y C, Li J J, Liu Y, Li Y, Qu S L 2023 J. Lightwave Technol. 42 2513
[6] Duan J A, Xie Z, Wang C, Zhou J Y, Li H T, Luo Z, Chu D K, Sun X Y 2016 Opt. Laser Technol. 83 94
Google Scholar
[7] Lin C Y, Wang L A, Chern G W 2001 J. Lightwave Technol. 19 1159
Google Scholar
[8] 朱涛, 饶云江, 莫秋菊 2006 55 249
Google Scholar
Zhu T, Rao Y J, Mo Q J 2006 Acta Phys. Sin. 55 249
Google Scholar
[9] Ghasemi P, Yam S S H 2022 J. Lightwave Technol. 40 1224
Google Scholar
[10] Yin G L, Fu Q J, Yang P X, Zhu T 2022 Opt. Laser Technol. 156 108461
Google Scholar
[11] Cao J Q, Lou S Q, Huang B S, Gu S, Jia H Q, Sheng X Z, Wang X 2023 Opt. Fiber Technol. 80 103431
Google Scholar
[12] Zhang R W, Liu X J, Shang Q H, Yang J R 2023 J. Lightwave Technol. 42 921
[13] Shi L L, Zhu T, Fan Y E, Chiang K S, Rao Y J 2011 Opt. Commun. 284 5299
Google Scholar
[14] 娄淑琴, 鹿文亮, 王鑫 2013 62 090701
Google Scholar
Lou S Q, Lu W L, Wang X 2013 Acta Phys. Sin. 62 090701
Google Scholar
[15] Chen W G, Lou S Q, Wang L W, Zou H, Lu W L, Jian S S 2011 IEEE Photonics Technol. Lett. 23 1639
Google Scholar
[16] Huang B, Shu X W 2018 Opt. Express 26 4563
Google Scholar
[17] Htein L, Gunawardena D S, Liu Z Y, Tam H Y 2020 Opt. Express 28 33841
Google Scholar
[18] Lin W H, Shao L Y, Vai M I, Shum P P, Liu S Q, Liu Y B, Zhao F, Xiao D R, Liu Y H, Tan Y D, Wang W Z 2021 J. Lightwave Technol. 39 3350
Google Scholar
[19] Liu X J, Wang F J, Yang J R, Zhang X D, Du X L 2019 Sensors 19 3613
Google Scholar
[20] Cao J Q, Guo Y Y, Gao W, Wang X, Lou S Q, Sheng Z F 2024 IEEE Sens. J. 25 4647
[21] Ma X K, Lou S Q, Cao J Q, Huang B S 2025 Infrared Phys. Techn. 147 105776
Google Scholar
[22] 郭玉颖, 杜梦珠, 高炜, 曹佳琦, 盛新志, 娄淑琴, 廉正刚 2025 中国激光 52 1306003
Google Scholar
Guo Y Y, Du M Z, Gao W, Cao J Q, Sheng X Z, Lou S Q, Lian Z G 2025 Chin. J. Lasers 52 1306003
Google Scholar
[23] Bo W, Liu B, Liu J, He X D, Yuan J H, Wu Q 2022 IEEE Sens. J. 22 7779
Google Scholar
[24] Zu P, Chan C C, Jin Y X, Gong T X, Zhang Y F, Chen L H, Dong X Y 2011 IEEE Photonics Technol. Lett. 23 920
Google Scholar
[25] Chiavaioli F, Gouveia C A J, Jorge P A S, Baldini F 2017 Biosensors 7 23
Google Scholar
-
图 2 SI滤波器的扭转响应光谱 (a) 滤波谱随扭转角度的变化(仿真); (b) 滤波器谐振峰波长随扭转角度的变化(仿真); (c) 滤波谱随扭转角度的变化(实验); (d) 滤波器谐振峰波长随扭转角度的变化(实验)
Fig. 2. The torsion response spectrum of the SI filter: (a) Variation of the filter spectrum with the torsion angle (simulation); (b) variation of the peak wavelength of the filter with the torsion angle (simulation); (c) variation of the filter spectrum with the torsion angle (experiment); (d) variation of peak wavelength of the filter with torsion angle (experiment).
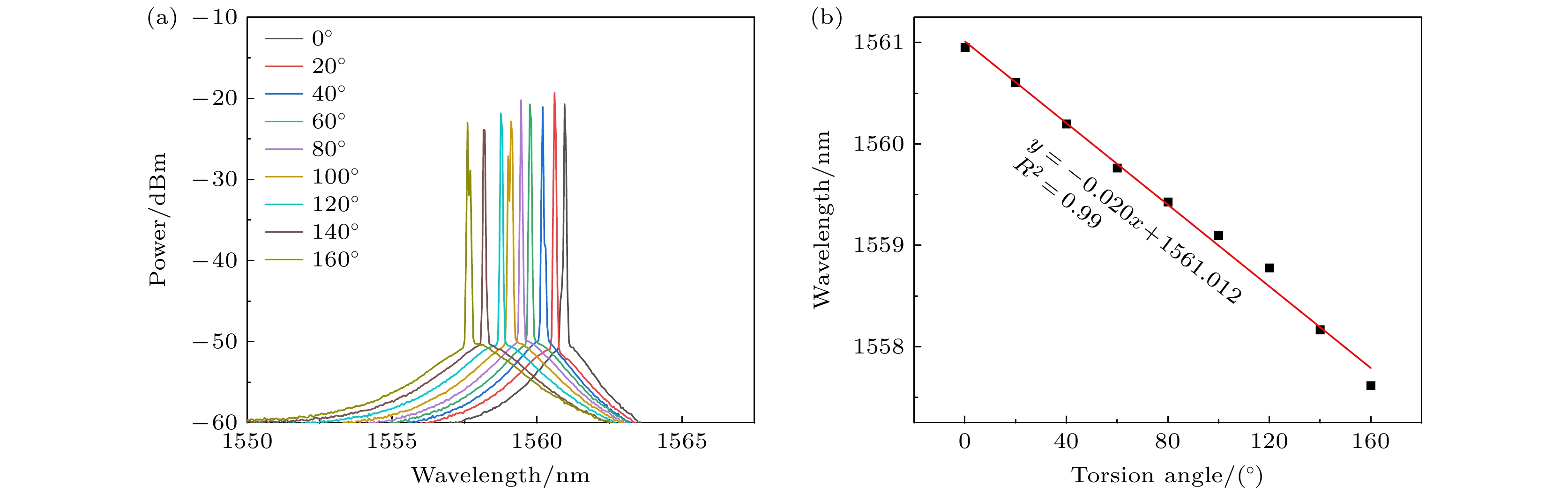
图 7 顺时针施加扭转时, 激光输出波长随扭转角度的变化 (a) 输出激光峰值波长随扭转角度的变化情况; (b) 输出激光波长与扭转角度的关系
Fig. 7. The variation of the lasing wavelength with torsion angle when torsion is applied along clockwise direction: (a) Variation of the output laser wavelength with the torsion angle; (b) the relationship between laser wavelength and torsion angle.
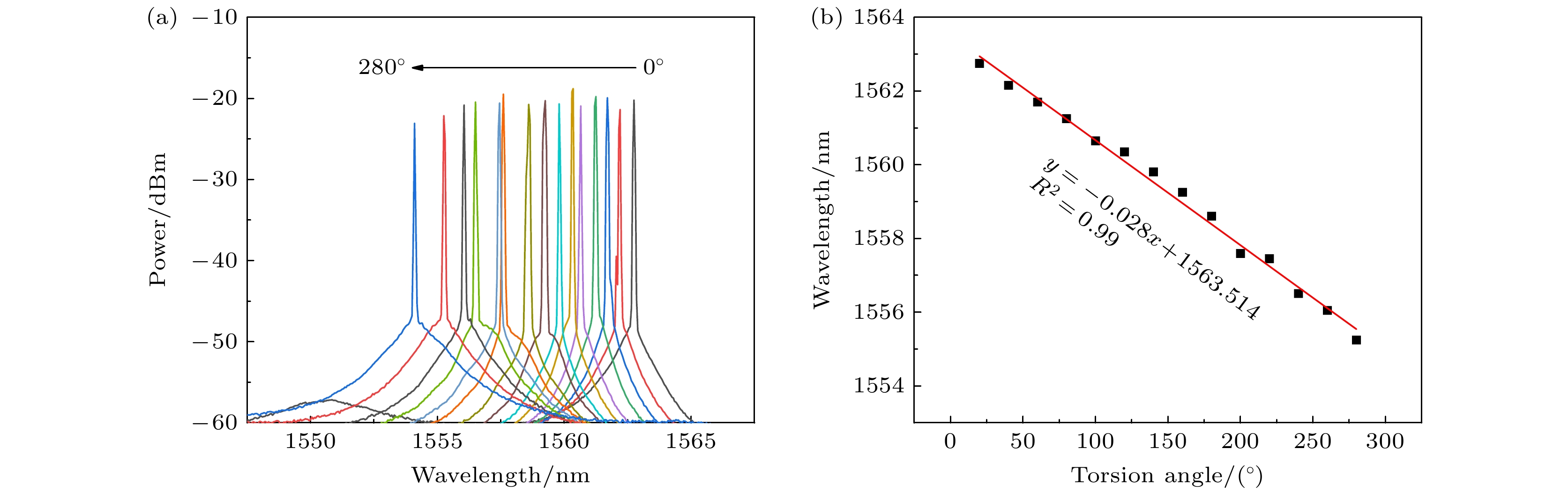
图 8 逆时针施加扭转时, 激光输出波长随扭转角度的变化 (a) 输出激光峰值波长随扭转角度的变化情况; (b) 激光波长与扭转角度的关系
Fig. 8. The variation of the lasing wavelength with torsion angle when torsion is applied along counterclockwise direction: (a) Variation of the output laser wavelength with the torsion angle; (b) the relationship between laser wavelength and torsion angle.
图 9 顺时针及逆时针施加扭转时, 矢量扭转角度的测量 (a) 输出激光峰值波长随扭转角度的变化情况; (b) 激光波长与扭转角度的关系
Fig. 9. Measurement of the vector torsion angle when torsion is applied clockwise and counterclockwise: (a) Variation of the output laser wavelength with the torsion angle; (b) the relationship between output laser wavelength and torsion angle.
表 1 各类型激光传感器性能对比
Table 1. Performance comparison of various types of laser sensors.
Type Structures Linear response range Sensitivity Resolution Direction Temperature
errorRefs. FRLTS LPG based FRLRS 47° (–23.5°—23.5°)
200 rad/m (–100—100 rad/m)0.0062 nm/(°)
0.084 nm/(rad/m)4.33°
0.12 rad/mYes — [13] PMF based FRLTS 300° (0°—300°) 0.043 nm/(°) 2.45° Yes — [19] Side-Polished MZI Fiber based FRLTS 160° (–80°—80°)
11.2 rad/m (–5.6 rad/m—5.6 rad/m)0.019 nm/(°)
0.27 nm/(rad/m)— Yes — [23] elliptical-core based FRLTS 340° (–340°—0°) 0.1 nm/(°) 0.43° Yes 1.5° [21] SSAF based FRLTS 380° (–380°—0°)
16.6 rad/m (–16.6 rad/m—0 rad/m)0.0625 nm/(°)
1.97 nm/(rad/m)4.73°
0.015 rad/mYes — [20] PM-PCF based FRLTS 480° (–260°—220°)
–16.8 rad/m—14.22 rad/m
(31.02 rad/m)0.032 nm/(°)
0.5 nm/(rad/m)0.681°
0.06 rad/mYes 0.16° This
work -
[1] Cui J X, Cheng X, Gunawardena D S, Leong C Y, Dash J N, Lau A P T, Tam H Y 2024 Opt. Laser Technol. 174 110548
Google Scholar
[2] Cao J Q, Wang B, Huang B S, Lou S Q, Sheng Z F, Chu P K 2024 J. Lightwave Technol. 42 5743
Google Scholar
[3] López-Higuera J M, Cobo L R, Incera A Q, Cobo A 2011 J. Lightwave Technol. 29 587
Google Scholar
[4] Yin G L, Xu Z, Ma J M, Zhu T 2022 J. Lightwave Technol. 41 1851
[5] Zheng Y C, Li J J, Liu Y, Li Y, Qu S L 2023 J. Lightwave Technol. 42 2513
[6] Duan J A, Xie Z, Wang C, Zhou J Y, Li H T, Luo Z, Chu D K, Sun X Y 2016 Opt. Laser Technol. 83 94
Google Scholar
[7] Lin C Y, Wang L A, Chern G W 2001 J. Lightwave Technol. 19 1159
Google Scholar
[8] 朱涛, 饶云江, 莫秋菊 2006 55 249
Google Scholar
Zhu T, Rao Y J, Mo Q J 2006 Acta Phys. Sin. 55 249
Google Scholar
[9] Ghasemi P, Yam S S H 2022 J. Lightwave Technol. 40 1224
Google Scholar
[10] Yin G L, Fu Q J, Yang P X, Zhu T 2022 Opt. Laser Technol. 156 108461
Google Scholar
[11] Cao J Q, Lou S Q, Huang B S, Gu S, Jia H Q, Sheng X Z, Wang X 2023 Opt. Fiber Technol. 80 103431
Google Scholar
[12] Zhang R W, Liu X J, Shang Q H, Yang J R 2023 J. Lightwave Technol. 42 921
[13] Shi L L, Zhu T, Fan Y E, Chiang K S, Rao Y J 2011 Opt. Commun. 284 5299
Google Scholar
[14] 娄淑琴, 鹿文亮, 王鑫 2013 62 090701
Google Scholar
Lou S Q, Lu W L, Wang X 2013 Acta Phys. Sin. 62 090701
Google Scholar
[15] Chen W G, Lou S Q, Wang L W, Zou H, Lu W L, Jian S S 2011 IEEE Photonics Technol. Lett. 23 1639
Google Scholar
[16] Huang B, Shu X W 2018 Opt. Express 26 4563
Google Scholar
[17] Htein L, Gunawardena D S, Liu Z Y, Tam H Y 2020 Opt. Express 28 33841
Google Scholar
[18] Lin W H, Shao L Y, Vai M I, Shum P P, Liu S Q, Liu Y B, Zhao F, Xiao D R, Liu Y H, Tan Y D, Wang W Z 2021 J. Lightwave Technol. 39 3350
Google Scholar
[19] Liu X J, Wang F J, Yang J R, Zhang X D, Du X L 2019 Sensors 19 3613
Google Scholar
[20] Cao J Q, Guo Y Y, Gao W, Wang X, Lou S Q, Sheng Z F 2024 IEEE Sens. J. 25 4647
[21] Ma X K, Lou S Q, Cao J Q, Huang B S 2025 Infrared Phys. Techn. 147 105776
Google Scholar
[22] 郭玉颖, 杜梦珠, 高炜, 曹佳琦, 盛新志, 娄淑琴, 廉正刚 2025 中国激光 52 1306003
Google Scholar
Guo Y Y, Du M Z, Gao W, Cao J Q, Sheng X Z, Lou S Q, Lian Z G 2025 Chin. J. Lasers 52 1306003
Google Scholar
[23] Bo W, Liu B, Liu J, He X D, Yuan J H, Wu Q 2022 IEEE Sens. J. 22 7779
Google Scholar
[24] Zu P, Chan C C, Jin Y X, Gong T X, Zhang Y F, Chen L H, Dong X Y 2011 IEEE Photonics Technol. Lett. 23 920
Google Scholar
[25] Chiavaioli F, Gouveia C A J, Jorge P A S, Baldini F 2017 Biosensors 7 23
Google Scholar
计量
- 文章访问数: 1277
- PDF下载量: 19
- 被引次数: 0








下载: