-
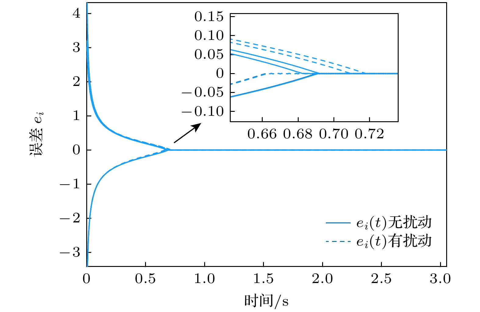
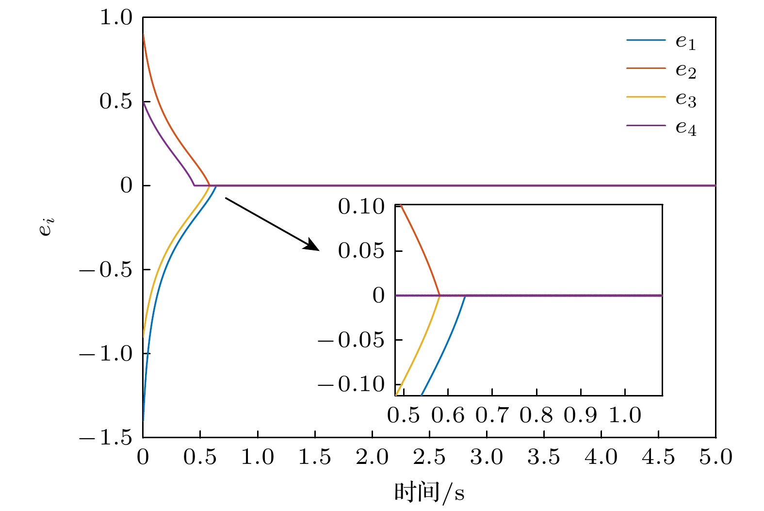
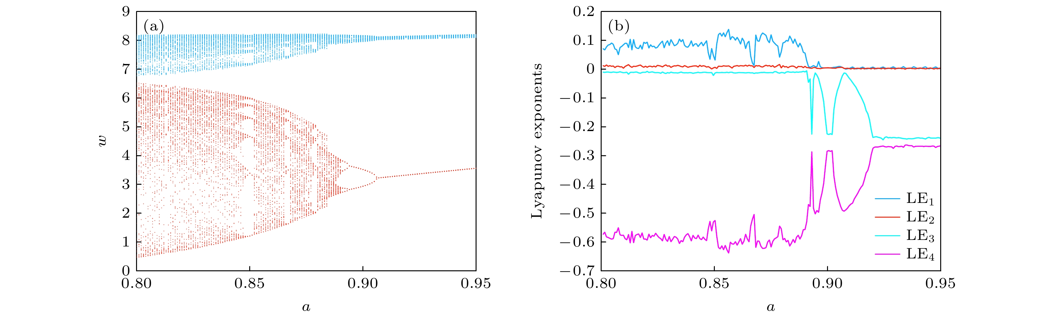
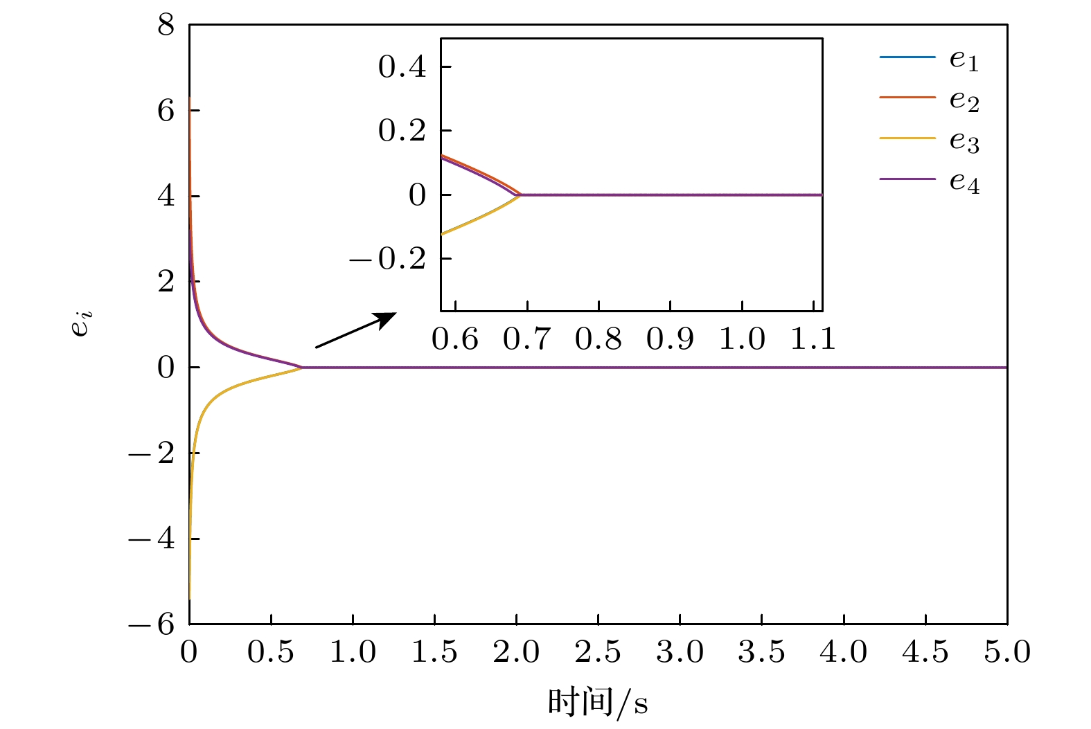
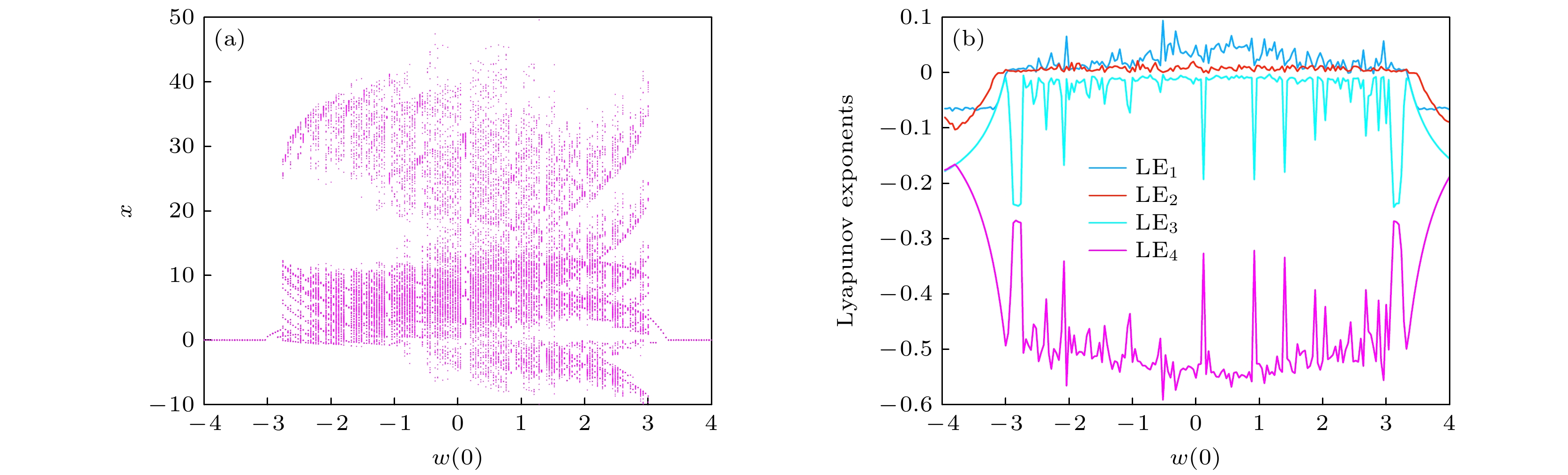
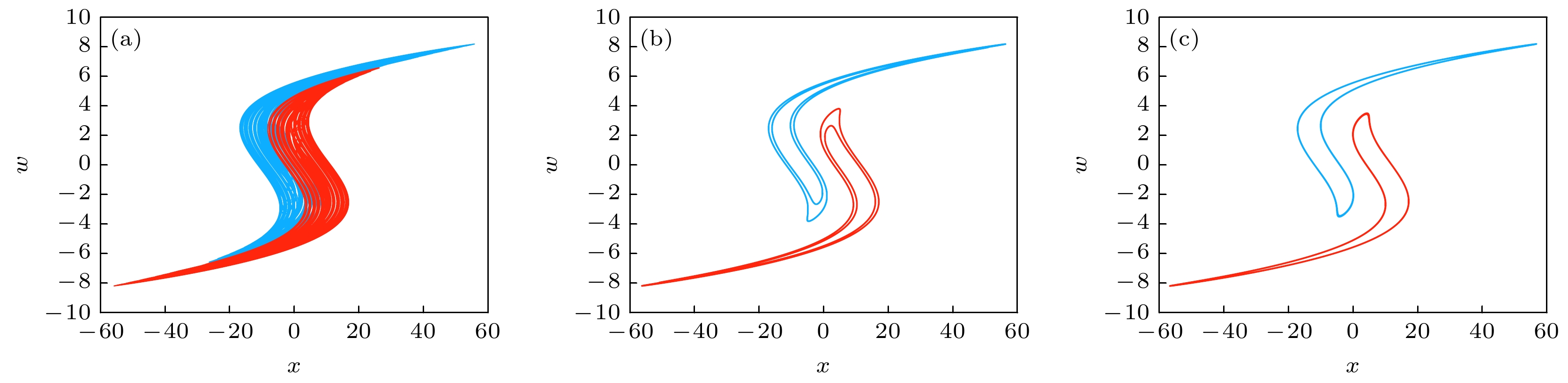
简单忆阻混沌系统的丰富动力学分析与预定义时间同步研究对充分认识系统动力学形成机制以及拓展混沌系统应用潜力有重要意义. 本文提出一种仅含单个非线性项的四维忆阻混沌系统模型, 旨在揭示系统在参数与初始条件变化下的多样动力学行为并实现高效预定义时间同步控制. 基于耗散性分析和Lyapunov指数量化, 结合参数分岔与多稳态研究, 揭示了该系统具有无穷多不稳定平衡点、同构与异构多稳态(点吸引子、周期吸引子与混沌吸引子)分布特征, 并发现通过调节忆阻器内部参数可精准实现信号的幅度控制, 从而为周期信号与混沌信号的有效调幅提供新的模型支撑. 针对该复杂动力学特性, 构建了包含线性与双向幂次非线性衰减项的预定义时间滑模面, 利用Lyapunov稳定性理论推导出误差系统在预设时间内收敛的一种新型的充分条件, 并设计了可调同步时间上界的双阶段滑模控制律. 数值仿真表明该系统能够在预定义时间内完成误差收敛, 且过程无超调或抖振, 具备高精度和强鲁棒性.The rich dynamical analysis and predefined-time synchronization of simple memristive chaotic systems are of great significance in fully understanding the mechanism of dynamics formation and expanding the potential applications of chaotic systems. A four-dimensional memristive chaotic system with only a single nonlinear term is proposed to reveal various dynamic behaviors under the change of parameters and initial conditions, and to realize effective synchronization control. Based on dissipativity analysis and Lyapunov exponent computation, and combined with bifurcation analysis and multi steady state exploration, it is shown that the system possesses an infinite number of unstable equilibrium points and exhibits homogeneous and heterogeneous multistability, including point attractors, periodic attractors, and chaotic attractors. Moreover, it is found that amplitude modulation of the output signals of the system can be precisely achieved by adjusting internal parameters of the memristor, thus providing a theoretical basis for achieving effective amplitude modulation of periodic and chaotic signals. A predefined-time sliding mode surface with linear and bidirectional power-law nonlinear decay terms is constructed to address synchronization. Sufficient conditions for predefined-time convergence of synchronization errors are derived using Lyapunov stability theory, and a double-stage sliding mode controller with an adjustable upper bound on synchronization time is designed. The resulting control law ensures an adjustable synchronization time bound and rapid error suppression under arbitrary disturbances. Numerical simulations further confirm the effectiveness and robustness of the proposed control scheme, indicating that even under external disturbances or significant variations in initial conditions, the error variables can still converge precisely within the predefined time.
-
Keywords:
- memristive chaotic system /
- multistability /
- amplitude modulation /
- sliding mode control /
- predefined-time synchronization
[1] Wang M J, Ding J, Li J H, He S B, Zhang X N, Iu H H C, Li Z J 2024 Eur. Phys. J. Plus 139 64
Google Scholar
[2] Lai Q, Liu Y J, Fortuna L 2024 IEEE Trans. Circuits Syst. I: Reg. Pap. 71 4665
Google Scholar
[3] Luo Y R, Fan C L, Xu C B, Li X Y 2024 Chaos Soliton. Fract. 183 114951
Google Scholar
[4] Lai Q, Liu Y 2025 Sci. China Technol. Sci. 68 1320401
Google Scholar
[5] 赖强, 秦铭宏 2025 贵州师范大学学报(自然科学版) 43 1
Lai Q, Qin M H 2025 J. Guizhou Normal Univ. (Nat. Sci. Ed. ) 43 1
[6] Yuan Y, Yu F, Tan B H, Huang Y Y, Yao W, Cai S, Lin H R 2025 Chaos 35 013121
Google Scholar
[7] Liu Y, Chen L, Li C D, Liu X, Zhou W H, Li K 2023 Soft Comput. 27 18403
Google Scholar
[8] Ding L N, Xuan M T 2025 Entropy 27 481
Google Scholar
[9] 张贵重, 全旭, 刘嵩 2022 71 240502
Google Scholar
Zhang G Z, Quan X, Liu S 2022 Acta Phys. Sin. 71 240502
Google Scholar
[10] He Y, Zhang Y Q, He X, Wang X Y 2021 Sci. Rep. 11 6398
Google Scholar
[11] Zhang B, Liu L 2023 Mathematics 11 2585
Google Scholar
[12] Madani Y A, Aldwoah K, Younis B, Alsharafi M, Osman O, Muflh B 2025 Sci. Rep. 15 14104
Google Scholar
[13] Han J P, Zhou L Q 2024 Neurocomputing 610 128612
Google Scholar
[14] 赵智鹏, 周双, 王兴元 2021 70 230502
Google Scholar
Zhao Z P, Zhou S, Wang X Y 2021 Acta Phys. Sin. 70 230502
Google Scholar
[15] Ramamoorthy R, Rajagopal K, Leutcho G D, Krejcar O, Namazi H, Hussain I 2022 Chaos Soliton. Fract. 156 111834
Google Scholar
[16] Beyhan S 2024 Chaos Soliton. Fract. 180 114578
Google Scholar
[17] Geng X T, Feng J W, Zhao Y, Li N, Wang J Y 2023 Electron. Res. Arch. 31 3291
Google Scholar
[18] 赖强, 王君 2024 73 180503
Google Scholar
Lai Q, Wang J 2024 Acta Phys. Sin. 73 180503
Google Scholar
[19] Tino N, Niamsup P 2021 Front. Appl. Math. Stat. 7 589406
Google Scholar
[20] Al-Saggaf U M, Bettayeb M, Djennoune S 2022 Eur. J. Control 63 164
Google Scholar
[21] Zhang M J, Zang H Y, Bai L Y 2022 Chaos Soliton. Fract. 164 112745
Google Scholar
[22] Yan S H, Wu X Y, Jiang J W 2025 Chaos Soliton. Fract. 196 116337
Google Scholar
[23] 贾美美, 曹家伟, 白明明 2024 73 170502
Google Scholar
Jia M M, Cao J W, Bai M M 2024 Acta Phys. Sin. 73 170502
Google Scholar
[24] Liu Y, Zhu F 2022 Comput. Intel. Neurosc. 2022 3264936
[25] Zheng W, Qu S C, Tang Q, Du X N 2025 J. Vib. Control 31 528-538
Google Scholar
[26] 包伯成, 胡文, 许建平, 刘中, 邹凌 2011 60 120502
Google Scholar
Bao B C, Hu W, Xu J P, Liu Z, Zou L 2011 Acta Phys. Sin. 60 120502
Google Scholar
[27] Li C B, Sprott J C 2016 Optik 127 10389
Google Scholar
[28] 赖强, 秦铭宏 2025 电子与信息学报 47 1
Lai Q, Qin M H 2025 J. Electron. Inf. Technol. 47 1
-
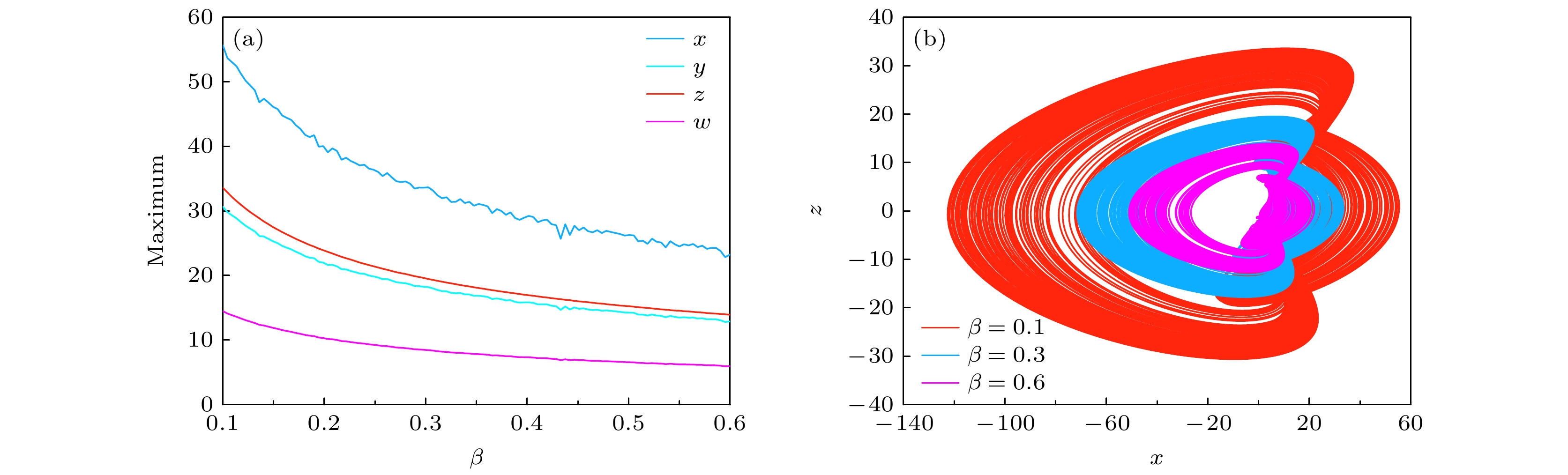
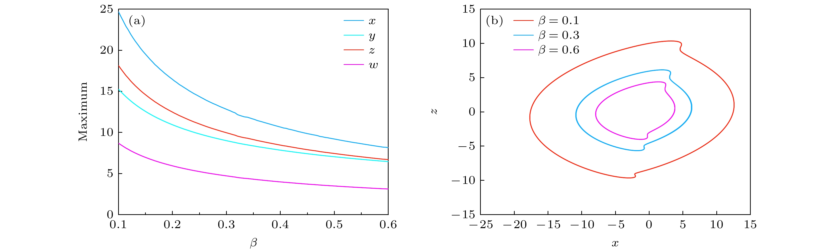
图 7 系统(2)的周期信号调幅控制 (a) $ \beta \in [0.1, 0.95] $时各状态变量的最大幅值; (b) 不同$ \beta $对应的周期吸引子
Fig. 7. Amplitude modulation control of periodic signals in system (2): (a) Maximum amplitudes of state variables for $ \beta \in [0.1, 0.95] $; (b) periodic attractors corresponding to different values of $ \beta $.
-
[1] Wang M J, Ding J, Li J H, He S B, Zhang X N, Iu H H C, Li Z J 2024 Eur. Phys. J. Plus 139 64
Google Scholar
[2] Lai Q, Liu Y J, Fortuna L 2024 IEEE Trans. Circuits Syst. I: Reg. Pap. 71 4665
Google Scholar
[3] Luo Y R, Fan C L, Xu C B, Li X Y 2024 Chaos Soliton. Fract. 183 114951
Google Scholar
[4] Lai Q, Liu Y 2025 Sci. China Technol. Sci. 68 1320401
Google Scholar
[5] 赖强, 秦铭宏 2025 贵州师范大学学报(自然科学版) 43 1
Lai Q, Qin M H 2025 J. Guizhou Normal Univ. (Nat. Sci. Ed. ) 43 1
[6] Yuan Y, Yu F, Tan B H, Huang Y Y, Yao W, Cai S, Lin H R 2025 Chaos 35 013121
Google Scholar
[7] Liu Y, Chen L, Li C D, Liu X, Zhou W H, Li K 2023 Soft Comput. 27 18403
Google Scholar
[8] Ding L N, Xuan M T 2025 Entropy 27 481
Google Scholar
[9] 张贵重, 全旭, 刘嵩 2022 71 240502
Google Scholar
Zhang G Z, Quan X, Liu S 2022 Acta Phys. Sin. 71 240502
Google Scholar
[10] He Y, Zhang Y Q, He X, Wang X Y 2021 Sci. Rep. 11 6398
Google Scholar
[11] Zhang B, Liu L 2023 Mathematics 11 2585
Google Scholar
[12] Madani Y A, Aldwoah K, Younis B, Alsharafi M, Osman O, Muflh B 2025 Sci. Rep. 15 14104
Google Scholar
[13] Han J P, Zhou L Q 2024 Neurocomputing 610 128612
Google Scholar
[14] 赵智鹏, 周双, 王兴元 2021 70 230502
Google Scholar
Zhao Z P, Zhou S, Wang X Y 2021 Acta Phys. Sin. 70 230502
Google Scholar
[15] Ramamoorthy R, Rajagopal K, Leutcho G D, Krejcar O, Namazi H, Hussain I 2022 Chaos Soliton. Fract. 156 111834
Google Scholar
[16] Beyhan S 2024 Chaos Soliton. Fract. 180 114578
Google Scholar
[17] Geng X T, Feng J W, Zhao Y, Li N, Wang J Y 2023 Electron. Res. Arch. 31 3291
Google Scholar
[18] 赖强, 王君 2024 73 180503
Google Scholar
Lai Q, Wang J 2024 Acta Phys. Sin. 73 180503
Google Scholar
[19] Tino N, Niamsup P 2021 Front. Appl. Math. Stat. 7 589406
Google Scholar
[20] Al-Saggaf U M, Bettayeb M, Djennoune S 2022 Eur. J. Control 63 164
Google Scholar
[21] Zhang M J, Zang H Y, Bai L Y 2022 Chaos Soliton. Fract. 164 112745
Google Scholar
[22] Yan S H, Wu X Y, Jiang J W 2025 Chaos Soliton. Fract. 196 116337
Google Scholar
[23] 贾美美, 曹家伟, 白明明 2024 73 170502
Google Scholar
Jia M M, Cao J W, Bai M M 2024 Acta Phys. Sin. 73 170502
Google Scholar
[24] Liu Y, Zhu F 2022 Comput. Intel. Neurosc. 2022 3264936
[25] Zheng W, Qu S C, Tang Q, Du X N 2025 J. Vib. Control 31 528-538
Google Scholar
[26] 包伯成, 胡文, 许建平, 刘中, 邹凌 2011 60 120502
Google Scholar
Bao B C, Hu W, Xu J P, Liu Z, Zou L 2011 Acta Phys. Sin. 60 120502
Google Scholar
[27] Li C B, Sprott J C 2016 Optik 127 10389
Google Scholar
[28] 赖强, 秦铭宏 2025 电子与信息学报 47 1
Lai Q, Qin M H 2025 J. Electron. Inf. Technol. 47 1
计量
- 文章访问数: 1368
- PDF下载量: 40
- 被引次数: 0








下载: