搜索

x

留言板

尊敬的读者、作者、审稿人, 关于本刊的投稿、审稿、编辑和出版的任何问题, 您可以本页添加留言。我们将尽快给您答复。谢谢您的支持!

姓名
邮箱
手机号码
标题
留言内容
验证码

多量子比特GHZ态, ${\mathrm{W}}\overline{{\mathrm{W}}} $态, SGT态在单轴旋转模型下的纠缠判定区分

李岩 任志红

引用本文:
Citation:

多量子比特GHZ态, ${\mathrm{W}}\overline{{\mathrm{W}}} $态, SGT态在单轴旋转模型下的纠缠判定区分

李岩, 任志红

Entanglement detection and classification of multi-qubit GHZ state, ${\mathrm{W}}\overline{{\mathrm{W}}} $ state, and SGT state under one-axis twisting model

LI Yan, REN Zhihong
cstr: 32037.14.aps.74.20250715
Article Text (iFLYTEK Translation)
PDF
HTML
导出引用
  • 在量子信息领域, 不同纠缠态的判定与分类一直以来就是人们关注的重点课题. 本文借助实验上成熟可控的单轴旋转模型, 对常规局域操作下无法利用量子Fisher信息实现区分的3种特殊纠缠态(4比特GHZ态, 4比特${\mathrm{W}}\overline{{\mathrm{W}}}$态, 4比特SGT态)开展纠缠判定研究. 通过对3种量子态在单轴旋转模型下进行方向优化和相互作用强度调节, 实现了三者的量子Fisher信息区分. 另外, 还研究了4种环境噪声(即比特翻转信道、振幅阻尼信道、相位阻尼信道、去极化信道)对纠缠判定的影响. 结果显示, 在局域操作下, 4比特GHZ态的量子Fisher信息在4种噪声通道中随退相干参数p的变化明显区别于${\mathrm{W}}\overline{{\mathrm{W}}}$态和SGT态, 可以区分; 而${\mathrm{W}}\overline{{\mathrm{W}}}$态和SGT态的量子Fisher信息变化相同, 无法区分. 在单轴旋转模型下, 3种量子态的量子Fisher信息在4种噪声通道下的变化曲线互不相同, 可以明显区分. 需要注意的是, 在比特翻转通道中, 随着退相干参数p的变化, ${\mathrm{W}}\overline{{\mathrm{W}}}$态与SGT态的量子Fisher信息在中间区域($p \approx0.5$)有重叠, 无法区分. 本文的工作为多体系统的量子纠缠判定提供了一种新的思路.
    Entanglement detection and classification of different kinds of entangled states in quantum many-body systems have always been a key topic in quantum information and quantum computation. In this work, we investigate the entanglement detection and classification of three special entangled states: 4-qubit GHZ state, 4-qubit $ {\mathrm{W}}\overline{{\mathrm{W}}} $ state, and 4-qubit SGT state, which cannot be distinguished by the general quantum Fisher information (QFI) under the usual local operations. By utilizing the experimentally mature and controllable one-axis twisting model, along with optimized rotations and adjustable interaction strength, we successfully classify the three states by QFI. Additionally, we also study the effects of four types of environmental noise on entanglement detection, namely, bit-flip channel, amplitude-damping channel, phase-damping channel, and depolarizing channel. The results show that under local operations, the changes of the QFI from the 4-qubit GHZ state with decoherence parameter p in four noise channels are significantly different from those of the $ {\mathrm{W}}\overline{{\mathrm{W}}} $ state and SGT state, and thus making them distinguished. However, the QFI about the $ {\mathrm{W}}\overline{{\mathrm{W}}} $ state and the QFI about the SGT state exhibit the same variations and cannot be classified. In the one-axis twisting model, the variation curves of the QFI of the three states under the four noise channels are different from each other, which can be clearly observed. It should be noted that in the bit-flip channel, the QFI curves of the $ {\mathrm{W}}\overline{{\mathrm{W}}} $ state and the SGT state overlaps in the middle region ($ p\approx0.5 $), which prevents their classification. Our work provides a new method for entanglement detection and classification in quantum many-body systems, which will contribute to future research in quantum science and technology.
      通信作者: 李岩, li8989971@163.com
    • 基金项目: 国家自然科学基金(批准号: 12305024, 12205176, 92365116)、山西省应用基础研究计划项目(批准号: 202203021212193, 202203021212387, 202103021223251)和山西省高等学校青年学术带头人项目(批准号: 2024Q035)资助的课题.
      Corresponding author: LI Yan, li8989971@163.com
    • Funds: Project supported by the National Natural Science Foundation of China (Grant Nos. 12305024, 12205176, 92365116), the Applied Basic Research Program of Shanxi Province, China (Grant Nos. 202203021212193, 202203021212387, 202103021223251), and the Young Academic Leaders of Higher Learning Institutions of Shanxi Province, China (Grant No. 2024Q035).
    [1]

    Gühne O, Tóth G 2009 Phys. Rep. 474 1Google Scholar

    [2]

    Chefles A 2010 Contemp. Phys. 41 401

    [3]

    Bae J, Kwek L C 2015 J. Phys. A 48 083001Google Scholar

    [4]

    Friis N, Vitagliano G, Malik M, Huber M 2019 Nat. Rev. Phys. 1 72

    [5]

    Chen D X, Zhang Y, Zhao J L, Wu Q C, Fang Y L, Yang C P, Nori F 2022 Phys. Rev. A 106 022438Google Scholar

    [6]

    Zhu C H, Shi T T, Ding L Y, Zheng Z Y, Zhang X, Zhang W 2025 arXiv: 2502.20717v1 [quant-ph]

    [7]

    Cramer M, Plenio M B, Flammia S T, Somma R, Gross D, Bartlett S D, Landon-Cardinal O, Poulin D, Liu Y K 2010 Nat. Commun. 1 149Google Scholar

    [8]

    Wang T T, Song M H, Lyu L K, Witczak-Krempa W, Meng Z Y 2025 Nat. Commun. 16 96Google Scholar

    [9]

    He L, Zhao Q, Li Z D, Yin X F, Yuan X, Hung J C, Chen L K, Li L, Liu N L, Peng C Z, Liang Y C, Ma X F, Chen Y A, Pan J W 2018 Phys. Rev. X 8 021072

    [10]

    Zwerger M, Dür W, Bancal J D, Sekatski P 2019 Phys. Rev. Lett. 122 060502Google Scholar

    [11]

    Pezzè L, Smerzi A 2009 Phys. Rev. Lett. 102 100401Google Scholar

    [12]

    Hyllus P, Laskowski W, Krischek R, Schwemmer C, Wieczorek W, Weinfurter H, Pezzè L, Smerzi A 2012 Phys. Rev. A 85 022321Google Scholar

    [13]

    Huang Y L, Che L Y, Wei C, Xu F, Nie X F, Li J, Lu D W, Xin T 2025 npj Quantum Inf. 11 29Google Scholar

    [14]

    Ayachi F E, Mansour H A, Baz M E 2025 Commun. Theor. Phys. 77 065104Google Scholar

    [15]

    Feng T F, Vedral V 2022 Phys. Rev. D 106 066013Google Scholar

    [16]

    Li L J, Fan X G, Song X K, Ye L, Wang D 2024 Phys. Rev. A 110 012418Google Scholar

    [17]

    丘尚锋, 徐桥, 周晓祺 2025 74 110301Google Scholar

    Qiu S F, Xu Q, Zhou X Q 2025 Acta Phys. Sin. 74 110301Google Scholar

    [18]

    Li H, Gao T, Yan F L 2024 Phys. Rev. A 109 012213Google Scholar

    [19]

    Dong D D, Li L J, Song X K, Ye L, Wang D 2024 Phys. Rev. A 110 032420Google Scholar

    [20]

    Strobel H, Muessel W, Linnemann D, Zibold T, Hume D B, Pezzè L, Smerzi A, Oberthaler M K 2014 Science 345 424

    [21]

    Pezzè L, Li Y, Li W D, Smerzi A 2016 Proc. Natl. Acad. Sci. 113 11459Google Scholar

    [22]

    Pezzè L, Smerzi A, Oberthaler M K, Schmied R, Treutlein P 2018 Rev. Mod. Phys. 90 035005Google Scholar

    [23]

    任志红, 李岩, 李艳娜, 李卫东 2019 68 040601Google Scholar

    Ren Z H, Li Y, Li Y N, Li W D 2019 Acta. Phys. Sin. 68 040601Google Scholar

    [24]

    Qin Z Z, Gessner M, Ren Z H, Deng X W, Han D M, Li W D, Su X L, Smerzi A, Peng K C 2019 npj Quantum Inf. 5 3Google Scholar

    [25]

    Ren Z H, Li W D, Smerzi A, Gessner M 2021 Phys. Rev. Lett. 126 080502Google Scholar

    [26]

    Xu K, Zhang Y R, Sun Z H, Li H, Song P T, Xiang Z C, Huang K X, Li H, Shi Y H, Chen C T, Song X H, Zheng D N, Nori F, Wang H, Fan H 2022 Phys. Rev. Lett. 128 150501Google Scholar

    [27]

    Li Y, Ren Z H 2023 Phys. Rev. A 107 012403Google Scholar

    [28]

    Li Y, Ren Z H 2024 Chaos, Solitons and Fractals 186 115299Google Scholar

    [29]

    郑盟锟, 尤力 2018 67 160303Google Scholar

    Tey M K, You L 2018 Acta Phys. Sin. 67 160303Google Scholar

    [30]

    Fisher R A 1922 Philos. Trans. R. Soc. Lond. Ser. A 222 309Google Scholar

    [31]

    Cramér H 1946 Mathematical Methods of Statistics (Princeton: Princeton University

    [32]

    Li Y, Pezzè L, Gessner M, Ren Z H, Li W D, Smerzi A 2018 Entropy 20 628Google Scholar

    [33]

    Nolan S, Smerzi A, Pezze L 2021 npj Quantum Inf. 7 169Google Scholar

    [34]

    Han C Y, Ma Z, Qiu Y X, Fang R H, Wu J T, Zhan C, Li M J, Huang J H, Lu B, Lee C H 2024 Phys. Rev. Applied 22 044058Google Scholar

    [35]

    Li Y, Ren Z H 2022 Physica A 596 127137Google Scholar

    [36]

    Imai S, Smerzi A, Pezze L 2025 Phys. Rev. A 111 L020402Google Scholar

    [37]

    Braunstein S L, Caves C M 1994 Phys. Rev. Lett. 72 3439Google Scholar

    [38]

    Shen Y, Zhou J G, Huang J H, Lee C H 2024 Phys. Rev. A 110 042619Google Scholar

    [39]

    Fortes R, Rigolin G 2015 Phys. Rev. A 92 012338Google Scholar

    [40]

    Kraus K 1983 States, Effects and Operations: Fundamental Notions of Quantum Theory (Berlin: Springer-Verlag) pp1–12

    [41]

    Nielsen M A, Chuang I L 2000 Quantum Computation and Quantum Information (Cambridge: Cambridge University Press) pp473–497

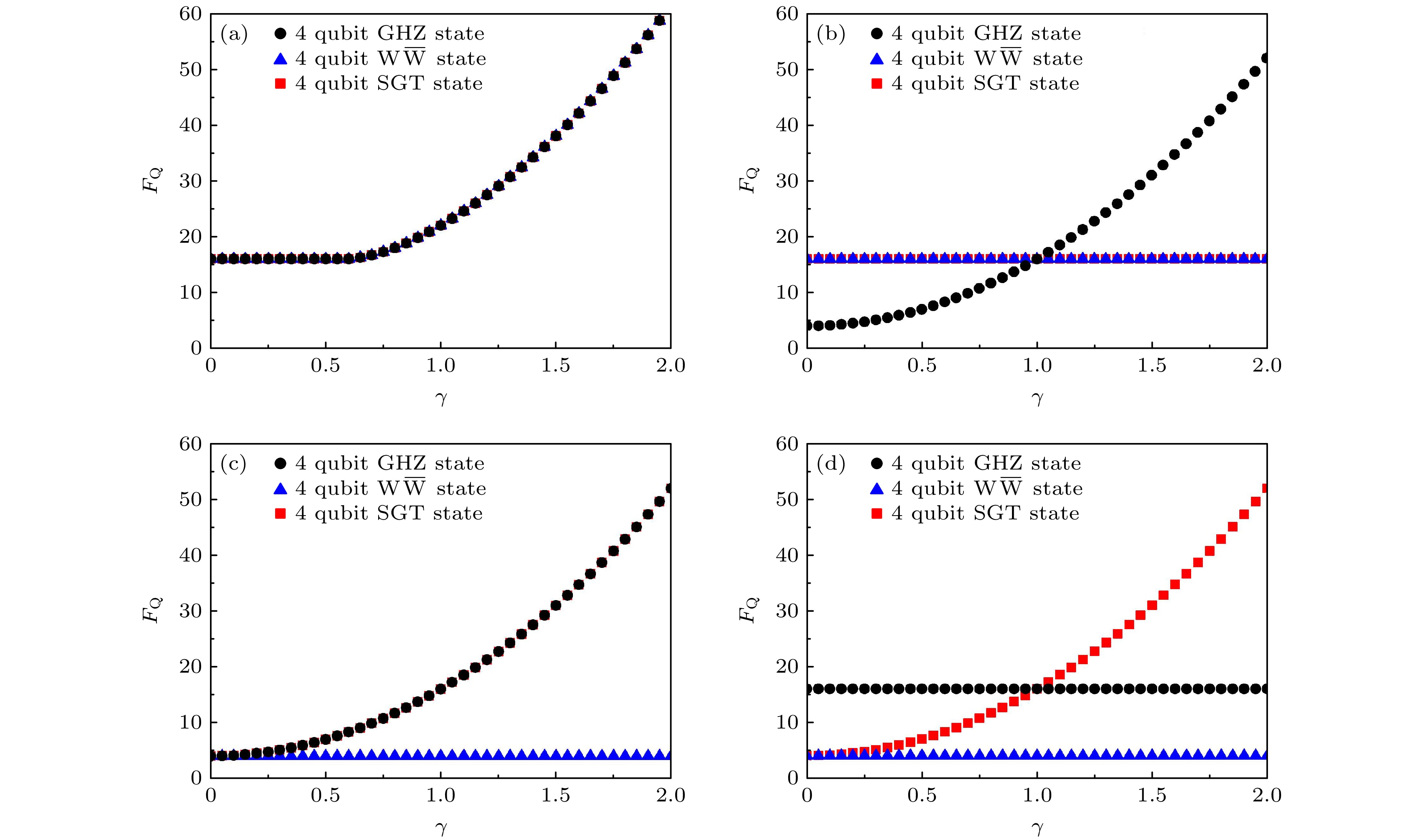
  • 图 1  4量子比特GHZ态、$ {\mathrm{W}}\overline{{\mathrm{W}}} $态和SGT态在单轴旋转模型下的量子Fisher信息. 黑色圆点、蓝色三角形、红色方块依次表示GHZ态、$ {\mathrm{W}}\overline{{\mathrm{W}}} $态和SGT态的量子Fisher信息随相互作用参数γ的变化结果 (a)彼此独立优化旋转方向n下的结果((25)式); (b)单轴旋转为x轴的结果((26)式); (c)单轴旋转为y轴的结果((27)式); (d)单轴旋转为z轴的结果((29)式)

    Fig. 1.  The QFI of the 4-qubit GHZ state, $ {\mathrm{W}}\overline{{\mathrm{W}}} $ state and SGT state under the one-axis twisting model. Black dots, blue triangles and red squares represent the QFI of the GHZ state, $ {\mathrm{W}}\overline{{\mathrm{W}}} $, and SGT state with respect to the interaction parameter γ: (a) The results under the condition that the rotation directions n are optimized independently (Eq. (25)); (b) the results when the rotation is along the x-axis (Eq. (26)); (c) the results when the rotation is along the y-axis (Eq. (27)); (d) the results when the rotation is along the z-axis (Eq. (29)).

    图 2  在局域操作下, 4量子比特GHZ态、$ {\mathrm{W}}\overline{{\mathrm{W}}} $态和SGT态在比特翻转、相位阻尼、振幅阻尼和去极化通道下的量子Fisher信息. 黑色圆点、蓝色三角形、红色方块依次表示GHZ态、$ {\mathrm{W}}\overline{{\mathrm{W}}} $态和SGT态的量子Fisher信息随退相干参数p的变化结果 (a)量子态在比特翻转通道下的结果; (b)量子态在相位阻尼通道中的结果; (c)在振幅阻尼通道中的结果; (d)在去极化通道下的结果

    Fig. 2.  The QFI of the 4-qubit GHZ state, $ {\mathrm{W}}\overline{{\mathrm{W}}} $ state and SGT state under the bit-flip, phase damping, amplitude damping, and depolarizing channels with local operations. Black dots, blue triangles and red squares represent the QFI of the GHZ state, $ {\mathrm{W}}\overline{{\mathrm{W}}} $, and SGT state with respect to the decoherence parameter p: (a) The results under the bit-flip channel; (b) the results under the phase damping channel; (c) the results under the amplitude damping channel; (d) the results under the depolarizing channel.

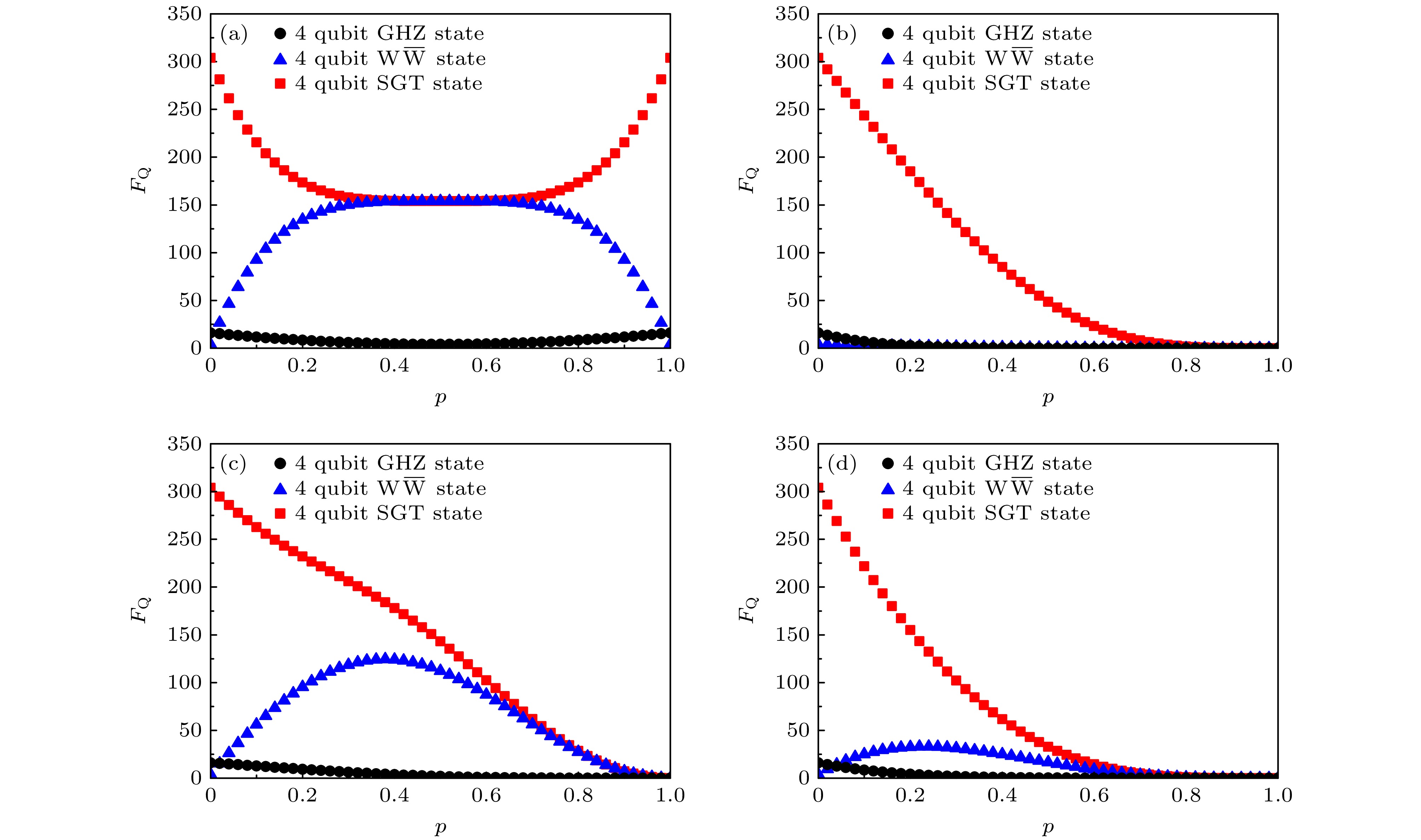
    图 3  在单轴旋转模型下($ \gamma=2 $), 4量子比特GHZ态、$ {\mathrm{W}}\overline{{\mathrm{W}}} $态和SGT态在比特翻转、相位阻尼、振幅阻尼和去极化通道下的量子Fisher信息. 黑色圆点、蓝色三角形、红色方块依次表示GHZ态、$ {\mathrm{W}}\overline{{\mathrm{W}}} $态和SGT态的量子Fisher信息随退相干参数p的变化结果 (a)量子态在比特翻转通道下的结果; (b)量子态在相位阻尼通道中的结果; (c)振幅阻尼通道中的结果; (d)去极化通道下的结果

    Fig. 3.  The QFI of the 4-qubit GHZ state, $ {\mathrm{W}}\overline{{\mathrm{W}}} $ state and SGT state under the bit-flip, phase damping, amplitude damping, and depolarizing channels in the one-axis twisting model ($ \gamma=2 $). Black dots, blue triangles and red squares represent the QFI of the GHZ state, $ {\mathrm{W}}\overline{{\mathrm{W}}} $, and SGT state with respect to the decoherence parameter p: (a) The results under the bit-flip channel; (b) the results under the phase damping channel; (c) the results under the amplitude damping channel; (d) the results under the depolarizing channel.

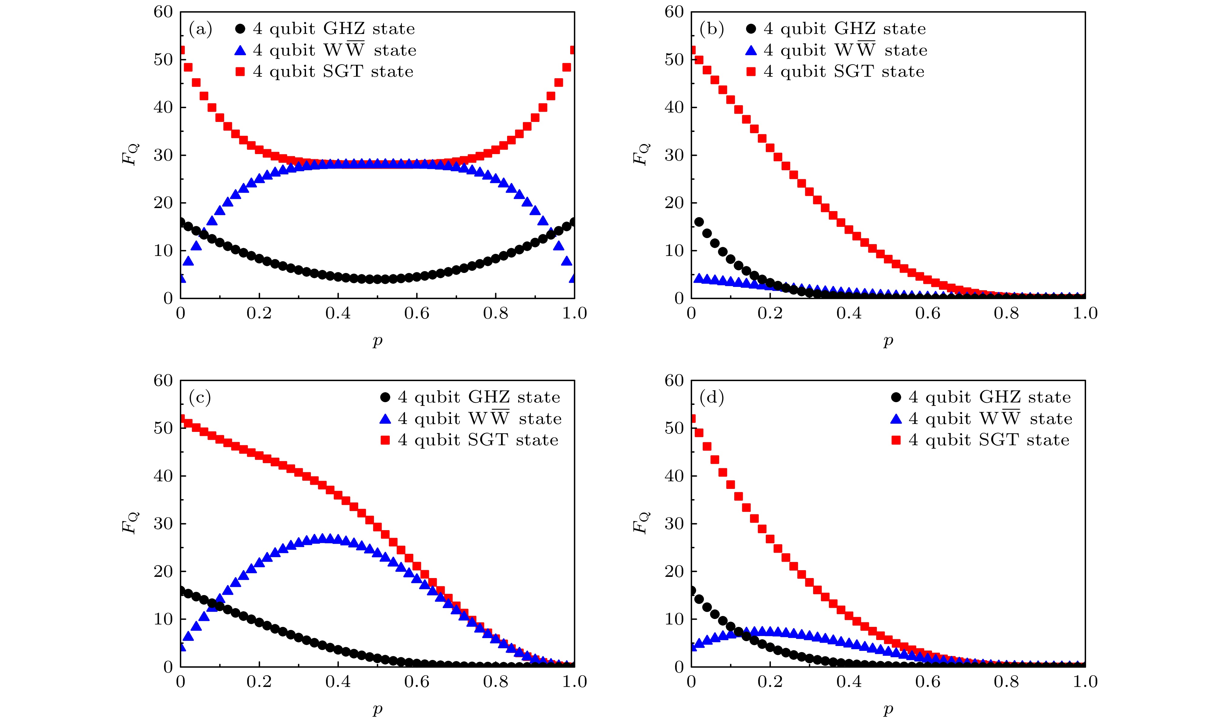
    图 4  在单轴旋转模型下($ \gamma=5 $), 4量子比特GHZ态、$ {\mathrm{W}}\overline{{\mathrm{W}}} $态和SGT态在比特翻转、相位阻尼、振幅阻尼和去极化通道下的量子Fisher信息. 黑色圆点、蓝色三角形、红色方块依次表示GHZ态、$ {\mathrm{W}}\overline{{\mathrm{W}}} $态和SGT态的量子Fisher信息随退相干参数p的变化结果 (a)量子态在比特翻转通道下的结果; (b)量子态在相位阻尼通道中的结果; (c)在振幅阻尼通道中的结果; (d)在去极化通道下的结果

    Fig. 4.  The QFI of the 4-qubit GHZ state, $ {\mathrm{W}}\overline{{\mathrm{W}}} $ state and SGT state under the bit-flip, phase damping, amplitude damping, and depolarizing channels in the one-axis twisting model ($ \gamma=5 $). Black dots, blue triangles and red squares represent the QFI of the GHZ state, $ {\mathrm{W}}\overline{{\mathrm{W}}} $ and SGT state with respect to the decoherence parameter p: (a) The results under the bit-flip channel; (b) the results under the phase damping channel; (c) the results under the amplitude damping channel; (d) the results under the depolarizing channel.

    Baidu
  • [1]

    Gühne O, Tóth G 2009 Phys. Rep. 474 1Google Scholar

    [2]

    Chefles A 2010 Contemp. Phys. 41 401

    [3]

    Bae J, Kwek L C 2015 J. Phys. A 48 083001Google Scholar

    [4]

    Friis N, Vitagliano G, Malik M, Huber M 2019 Nat. Rev. Phys. 1 72

    [5]

    Chen D X, Zhang Y, Zhao J L, Wu Q C, Fang Y L, Yang C P, Nori F 2022 Phys. Rev. A 106 022438Google Scholar

    [6]

    Zhu C H, Shi T T, Ding L Y, Zheng Z Y, Zhang X, Zhang W 2025 arXiv: 2502.20717v1 [quant-ph]

    [7]

    Cramer M, Plenio M B, Flammia S T, Somma R, Gross D, Bartlett S D, Landon-Cardinal O, Poulin D, Liu Y K 2010 Nat. Commun. 1 149Google Scholar

    [8]

    Wang T T, Song M H, Lyu L K, Witczak-Krempa W, Meng Z Y 2025 Nat. Commun. 16 96Google Scholar

    [9]

    He L, Zhao Q, Li Z D, Yin X F, Yuan X, Hung J C, Chen L K, Li L, Liu N L, Peng C Z, Liang Y C, Ma X F, Chen Y A, Pan J W 2018 Phys. Rev. X 8 021072

    [10]

    Zwerger M, Dür W, Bancal J D, Sekatski P 2019 Phys. Rev. Lett. 122 060502Google Scholar

    [11]

    Pezzè L, Smerzi A 2009 Phys. Rev. Lett. 102 100401Google Scholar

    [12]

    Hyllus P, Laskowski W, Krischek R, Schwemmer C, Wieczorek W, Weinfurter H, Pezzè L, Smerzi A 2012 Phys. Rev. A 85 022321Google Scholar

    [13]

    Huang Y L, Che L Y, Wei C, Xu F, Nie X F, Li J, Lu D W, Xin T 2025 npj Quantum Inf. 11 29Google Scholar

    [14]

    Ayachi F E, Mansour H A, Baz M E 2025 Commun. Theor. Phys. 77 065104Google Scholar

    [15]

    Feng T F, Vedral V 2022 Phys. Rev. D 106 066013Google Scholar

    [16]

    Li L J, Fan X G, Song X K, Ye L, Wang D 2024 Phys. Rev. A 110 012418Google Scholar

    [17]

    丘尚锋, 徐桥, 周晓祺 2025 74 110301Google Scholar

    Qiu S F, Xu Q, Zhou X Q 2025 Acta Phys. Sin. 74 110301Google Scholar

    [18]

    Li H, Gao T, Yan F L 2024 Phys. Rev. A 109 012213Google Scholar

    [19]

    Dong D D, Li L J, Song X K, Ye L, Wang D 2024 Phys. Rev. A 110 032420Google Scholar

    [20]

    Strobel H, Muessel W, Linnemann D, Zibold T, Hume D B, Pezzè L, Smerzi A, Oberthaler M K 2014 Science 345 424

    [21]

    Pezzè L, Li Y, Li W D, Smerzi A 2016 Proc. Natl. Acad. Sci. 113 11459Google Scholar

    [22]

    Pezzè L, Smerzi A, Oberthaler M K, Schmied R, Treutlein P 2018 Rev. Mod. Phys. 90 035005Google Scholar

    [23]

    任志红, 李岩, 李艳娜, 李卫东 2019 68 040601Google Scholar

    Ren Z H, Li Y, Li Y N, Li W D 2019 Acta. Phys. Sin. 68 040601Google Scholar

    [24]

    Qin Z Z, Gessner M, Ren Z H, Deng X W, Han D M, Li W D, Su X L, Smerzi A, Peng K C 2019 npj Quantum Inf. 5 3Google Scholar

    [25]

    Ren Z H, Li W D, Smerzi A, Gessner M 2021 Phys. Rev. Lett. 126 080502Google Scholar

    [26]

    Xu K, Zhang Y R, Sun Z H, Li H, Song P T, Xiang Z C, Huang K X, Li H, Shi Y H, Chen C T, Song X H, Zheng D N, Nori F, Wang H, Fan H 2022 Phys. Rev. Lett. 128 150501Google Scholar

    [27]

    Li Y, Ren Z H 2023 Phys. Rev. A 107 012403Google Scholar

    [28]

    Li Y, Ren Z H 2024 Chaos, Solitons and Fractals 186 115299Google Scholar

    [29]

    郑盟锟, 尤力 2018 67 160303Google Scholar

    Tey M K, You L 2018 Acta Phys. Sin. 67 160303Google Scholar

    [30]

    Fisher R A 1922 Philos. Trans. R. Soc. Lond. Ser. A 222 309Google Scholar

    [31]

    Cramér H 1946 Mathematical Methods of Statistics (Princeton: Princeton University

    [32]

    Li Y, Pezzè L, Gessner M, Ren Z H, Li W D, Smerzi A 2018 Entropy 20 628Google Scholar

    [33]

    Nolan S, Smerzi A, Pezze L 2021 npj Quantum Inf. 7 169Google Scholar

    [34]

    Han C Y, Ma Z, Qiu Y X, Fang R H, Wu J T, Zhan C, Li M J, Huang J H, Lu B, Lee C H 2024 Phys. Rev. Applied 22 044058Google Scholar

    [35]

    Li Y, Ren Z H 2022 Physica A 596 127137Google Scholar

    [36]

    Imai S, Smerzi A, Pezze L 2025 Phys. Rev. A 111 L020402Google Scholar

    [37]

    Braunstein S L, Caves C M 1994 Phys. Rev. Lett. 72 3439Google Scholar

    [38]

    Shen Y, Zhou J G, Huang J H, Lee C H 2024 Phys. Rev. A 110 042619Google Scholar

    [39]

    Fortes R, Rigolin G 2015 Phys. Rev. A 92 012338Google Scholar

    [40]

    Kraus K 1983 States, Effects and Operations: Fundamental Notions of Quantum Theory (Berlin: Springer-Verlag) pp1–12

    [41]

    Nielsen M A, Chuang I L 2000 Quantum Computation and Quantum Information (Cambridge: Cambridge University Press) pp473–497

  • [1] 李岩, 任志红. 多量子比特${\boldsymbol{W}}{\overline{{\boldsymbol{W}}}} $态在白噪声环境下的纠缠判定与分类.  , 2025, 74(19): 190301. doi: 10.7498/aps.74.20250221
    [2] 任亚雷, 周涛. 运动参考系中量子Fisher信息.  , 2024, 73(5): 050601. doi: 10.7498/aps.73.20231394
    [3] 周贤韬, 江英华. 带身份认证的量子安全直接通信方案.  , 2023, 72(2): 020302. doi: 10.7498/aps.72.20221684
    [4] 刘然, 吴泽, 李宇晨, 陈昱全, 彭新华. 基于量子Fisher信息测量的实验多体纠缠刻画.  , 2023, 72(11): 110305. doi: 10.7498/aps.72.20230356
    [5] 李竞, 丁海涛, 张丹伟. 非厄米哈密顿量中的量子Fisher信息与参数估计.  , 2023, 72(20): 200601. doi: 10.7498/aps.72.20230862
    [6] 李岩, 任志红. 多量子比特WV纠缠态在Lipkin-Meshkov-Glick模型下的量子Fisher信息.  , 2023, 72(22): 220302. doi: 10.7498/aps.72.20231179
    [7] 牛明丽, 王月明, 李志坚. 基于量子Fisher信息的耗散相互作用光-物质耦合常数的估计.  , 2022, 71(9): 090601. doi: 10.7498/aps.71.20212029
    [8] 贺志, 蒋登魁, 李艳. 一种与开放系统初态无关的非马尔科夫度量.  , 2022, 71(21): 210303. doi: 10.7498/aps.71.20221053
    [9] 唐杰, 石磊, 魏家华, 于惠存, 薛阳, 武天雄. 基于d维GHZ态的多方量子密钥协商.  , 2020, 69(20): 200301. doi: 10.7498/aps.69.20200799
    [10] 任志红, 李岩, 李艳娜, 李卫东. 基于量子Fisher信息的量子计量进展.  , 2019, 68(4): 040601. doi: 10.7498/aps.68.20181965
    [11] 武莹, 李锦芳, 刘金明. 基于部分测量增强量子隐形传态过程的量子Fisher信息.  , 2018, 67(14): 140304. doi: 10.7498/aps.67.20180330
    [12] 赵军龙, 张译丹, 杨名. 噪声对一种三粒子量子探针态的影响.  , 2018, 67(14): 140302. doi: 10.7498/aps.67.20180040
    [13] 郭红. Bose-Hubbard模型中系统初态对量子关联的影响.  , 2015, 64(22): 220301. doi: 10.7498/aps.64.220301
    [14] 常锋, 王晓茜, 盖永杰, 严冬, 宋立军. 光与物质相互作用系统中的量子Fisher信息和自旋压缩.  , 2014, 63(17): 170302. doi: 10.7498/aps.63.170302
    [15] 王晓芹, 逯怀新, 赵加强. 广义GHZ态的纠缠与非定域性.  , 2011, 60(11): 110301. doi: 10.7498/aps.60.110301
    [16] 宋立军, 严冬, 刘烨. 玻色-爱因斯坦凝聚系统的量子Fisher信息与混沌.  , 2011, 60(12): 120302. doi: 10.7498/aps.60.120302
    [17] 陈晓东, 肖邵军, 顾永建, 林秀敏. 基于法拉第旋转构造光子Bell态分析器和GHZ态分析器.  , 2010, 59(8): 5251-5255. doi: 10.7498/aps.59.5251
    [18] 查新未, 张淳民. 利用一个三粒子W态隐形传送N粒子GHZ态.  , 2008, 57(3): 1339-1342. doi: 10.7498/aps.57.1339
    [19] 郑亦庄, 戴玲玉, 郭光灿. 三粒子纠缠W态的隐形传态.  , 2003, 52(11): 2678-2682. doi: 10.7498/aps.52.2678
    [20] 林秀, 李洪才. 利用V形三能级原子与光场Raman相互作用制备多原子GHZ态.  , 2001, 50(9): 1689-1692. doi: 10.7498/aps.50.1689
计量
  • 文章访问数:  540
  • PDF下载量:  8
  • 被引次数: 0
出版历程
  • 收稿日期:  2025-06-03
  • 修回日期:  2025-07-27
  • 上网日期:  2025-08-26
  • 刊出日期:  2025-10-20

/

返回文章
返回
Baidu
map