
摘要 +
随着X射线光源的进步和量子光学的发展, 形成了X射线量子光学这一前沿分支学科. 原子内壳层跃迁是重要的X射线量子光学体系, 它具有跃迁种类丰富和表征手段多样、覆盖波段范围宽等优势. 但内壳层空穴的自然线宽较宽且受局域电子结构影响, 使得实验上缺乏纯粹的二能级跃迁, 成了制约X射线量子光学发展的瓶颈之一. 本文利用共振非弹性X射线散射技术, 在实验上分离了WSi2 中W-L3边的白线, 从而为基于原子内壳层跃迁的X射线量子光学体系提供了二能级方案, 也为这一领域的发展提供了强有力的实验技术支持.

摘要 +
随着人工智能技术的飞速发展, 大语言模型已经成为材料科学研究范式变革的核心驱动力. 本文系统性地综述了大语言模型在材料科学全链条中的创新应用: 在知识发现与挖掘领域, 大语言模型凭借高效的信息检索和数据提取能力, 为材料研究提供了关键起点, 奠定了新范式的基础; 在材料设计与实验优化方面, 大语言模型通过跨尺度知识融合与智能推理, 能够揭示数据间的潜在关联, 在加速计算、合成设计、结构与性质预测、逆向设计等关键环节提供极具价值的解决方案, 大语言模型与自动化实验平台的深度融合, 实现实验流程的自然语言控制, 显著地提升了高通量实验的迭代效率. 研究表明, 大语言模型通过知识挖掘、知识推理与流程控制的三元协同, 正在重塑材料研发的全流程. 展望未来, 随着多模态感知与可解释性增强技术的发展, 大语言模型将推动材料科学研究进入新阶段.
摘要 +
庞加莱规范引力理论近年来在引力与天体物理领域受到广泛关注和应用. 因此, 如何从实验观测上区分广义相对论和庞加莱规范引力理论已经成为一个重要的课题. 中子星作为引力极强的天体, 为检验引力理论提供了理想试验场, 目前, 庞加莱规范引力理论对中子星性质的研究十分稀少, 鉴于庞加莱规范引力理论的重要性, 有必要在庞加莱规范引力理论的框架下研究中子星的性质, 进而考察能否通过对中子星的观测来区分和检验庞加莱规范引力理论和广义相对论. 本文在庞加莱规范引力理论框架下, 由特定的引力场方程推导出了修改的球对称静态中子星的Tolman-Oppenheimer-Volkoff方程, 并进一步研究了挠率对静态中子星质量半径关系的影响. 分析表明, 在一定的条件下, 该理论模型中静态中子星的质量半径关系与广义相对论中的结果一致. 本文为在庞加莱规范引力框架下进一步研究自转中子星的质量半径关系提供了理论基础和参考方法.

摘要 +
量子态选择的低温原子分子反应动力学研究是从原子分子层面探究分子间及分子内的微观反应机理, 理解散射量子效应的关键研究手段之一. 合并束低温碰撞实验方法通过将一反应物偏转后与沿直线飞行的另一反应物发生共线碰撞, 获得毫开尔文量级的冷碰撞实验条件, 并开展毫开尔文至百开尔文碰撞能的反应动力学研究. 本文采用自主发展的永磁体“磁导”引导特定量子态的中性原子偏转后与分子束共线, 通过对氦原子穿过磁导的通量测量, 实验实现了三重态亚稳态23S1氦原子约10°角度偏转, 并制备了$ {M_J} = + 1 $ 磁子能级激发态氦原子. 本工作为发展亚稳态氦原子与分子低于开尔文量级的量子态选择激发态冷碰撞研究提供实验基础, 可以促进对激发态反应在星际介质演化中重要贡献的理解以及化学反应调控的研究. 本研究中发展的“磁导”也在原子速度滤波和冷原子输运等领域具有重要的应用前景.

摘要 +
实空间中光子的局域化在基础研究和技术应用领域具有重要意义. 连续域束缚态(bound states in the continuum, BICs)为光子的局域化提供了新的机制, 其中最重要的方案之一是光子晶体. 然而光子晶体在制备过程中会不可避免地引入误差和缺陷, 动量空间表征可以分析加工误差和缺陷对于光子晶体能带特性的影响, 进而指导光子晶体器件的设计和制备. 本文设计了可见光波段的光子晶体, 通过动量空间表征观测到了连续域准束缚态(quasi-BIC), 从而在垂直方向上实现了对光子的高度局域化, 并通过调整结构参数, 实现了对光子晶体动量空间的特征调控. 进一步设计不同周期光子晶体的横向异质结构, 利用两者的能带套嵌实现了对光子水平方向上的局域化, 以此制备了品质因子与模式体积之比达到6 × 1014 cm–3的高品质光学微腔. 本研究对于光子晶体的设计以及增强光与物质相互作用具有重要意义.

摘要 +
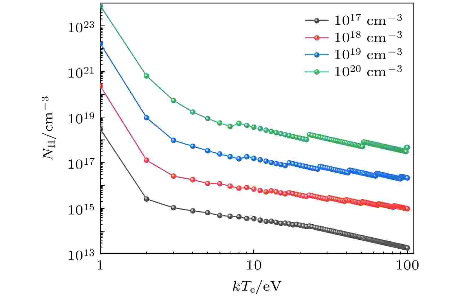
本文基于截面模型系统研究了碳离子与氢等离子体相互作用的电荷态演化行为. 首先探究了在碳离子入射能为$1{\text{ keV/u—}}100{\text{ MeV/u}}$、氢等离子体的电子温度为$k{T_{\text{e}}} = 1{\text{—}}1000{\text{ eV}}$范围内引入“shift”麦克斯韦速率分布对双电子复合速率系数影响的规律, 首次给出该体系下的速率系数数据. 在此基础上具体求解了在炮弹碳离子的能量为$0.5{\text{ MeV/u}}$、等离子体自由电子温度为$ k{T}_{\text{e}}=3$和$8\text{ eV} $、电子密度为${N_{\text{e}}} = {10^{18}}{\text{—}}{10^{20}}{\text{ cm}^{- 3}}$的情况下包含各种电离及复合过程的平衡速率方程, 给出了碳离子穿过氢等离子体的非平衡和平衡电荷态丰度随等离子体厚度的演化关系, 揭示了等离子体状态(温度、密度), 炮弹离子能量及初始电荷态对炮弹离子电荷态演化的调控机制. 进一步, 通过对比碳离子在氢等离子体与中性气体(氢气)中的动力学行为差异, 阐明了等离子体环境对离子电荷交换的独特影响. 本研究将对高能量密度物理领域中离子与等离子体相互作用的动力学演化及能量输运特性的研究具有重要参考作用.

摘要 +
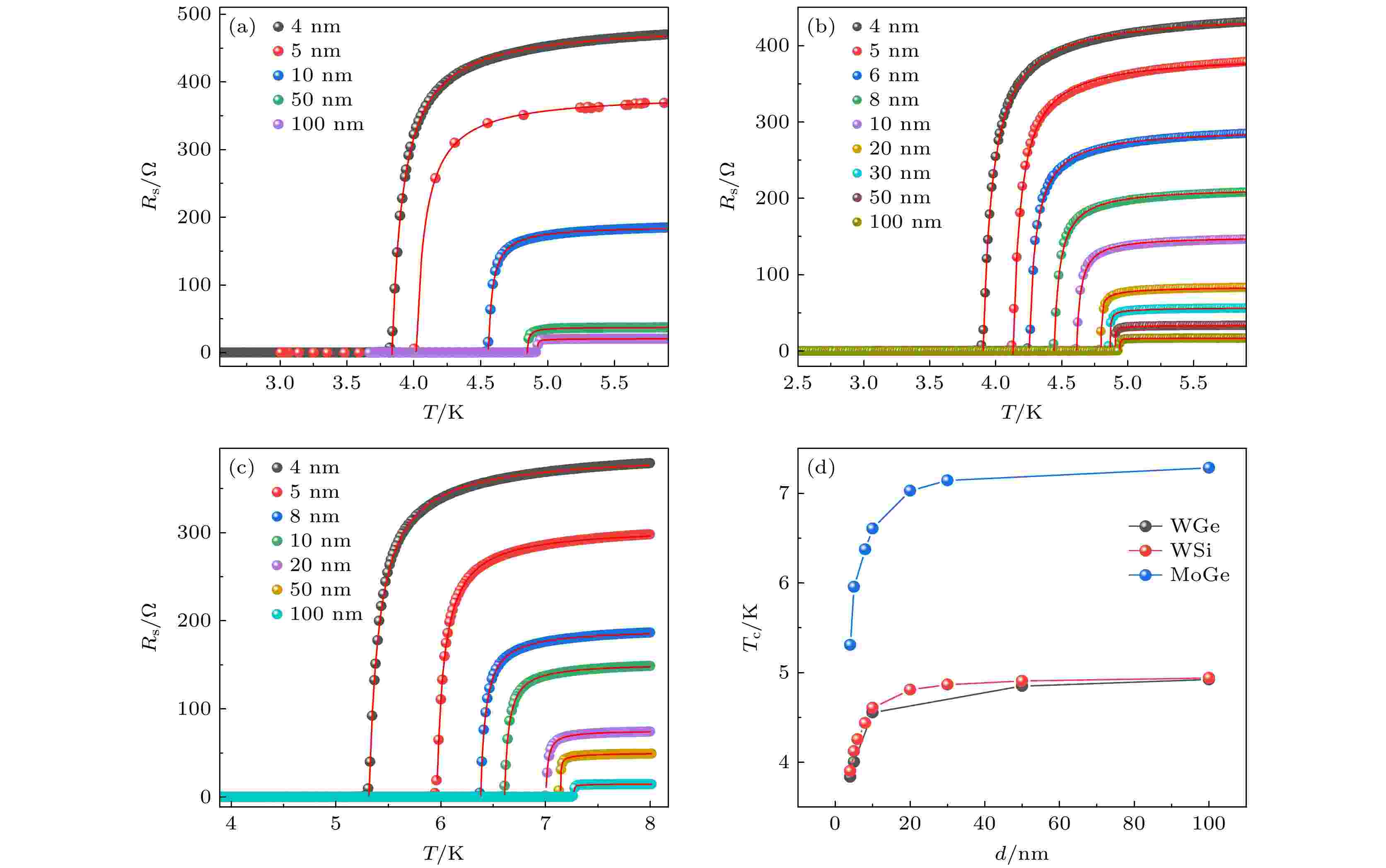
非晶超导薄膜材料具有超导电性均匀性高以及光响应灵敏度好等优势, 是研制大光敏面以及中远红外超导纳米线单光子探测器的理想超导薄膜材料. 本文系统研究了新型非晶锗化钨超导体的超导物性随薄膜材料厚度的变化. 对比硅化钨与锗化钼非晶超导薄膜, 研究发现锗化钨合金与硅化钨具有相似的超导物性, 包括相近的临界温度和相干长度, 稍低的正常态电子扩散系数和较高的磁穿透深度. 相较于锗化钼, 锗化钨合金与硅化钨的电子扩散系数和磁穿透深度均呈现不同程度的增大. 通过研究3种不同非晶薄膜的超导物性参数, 为大光敏面、高灵敏度超导纳米线单光子探测器的研发与性能优化提供了新的材料选择与实验依据.

摘要 +
空间信道连续变量量子密钥分发协议(continuous-variable quantum key distribution, CV-QKD)工作在光学衍射极限、通信距离极限、光电探测极限条件下, 协议参数(如调制方差$ {V}_{\mathrm{A}} $)的优化选择会影响协议的可行性. 而低轨卫星和地面站始终处于高速相对运动中, 可视窗口时间有限且在轨计算资源受限, 传统优化算法难以满足空间信道快速动态变化的实时优化需求. 本文提出了空间信道高斯调制CV-QKD的Unet网络参数预测优化方法, 搭建空间CV-QKD链路仿真平台, 改变轨道高度、天顶角等组合参数生成126575组训练数据集, 利用Unet网络的对称结构和特征融合能力实现近实时地预测调制方差$ {V}_{\mathrm{A}} $. 仿真结果表明Unet网络在6328组跨轨道高度(510—710 km)和过量噪声水平(0.01—0.03)的测试数据中可以达到99.25%—99.41%的预测准确率, 同时相较于局部搜索算法14754 s的基准耗时, Unet将推理时间缩短至1.08 s (加速比达1.48 × 106), 为后续空间信道CV-QKD实验的参数实时优化提供了理论支撑.

摘要 +
本文针对重离子碰撞中弹核与靶核质量相近体系的相互作用问题, 提出改进型光学模型APOMHI. 该模型突破传统框架中仅侧重靶核贡献的局限, 通过对称化处理弹核与靶核的势场影响, 在Woods-Saxon型光学势场构建中, 弹靶核的扩散宽度与半径参数采用对等形式, 确保两者贡献的等价性. 同时, 角动量耦合方式也相应由L-S耦合替代了j-j耦合. 将改进后的光学模型应用于以18O作为弹核的系列重离子碰撞反应, 通过拟合弹性散射角分布与复合核吸收截面数据, 得到了一组普适唯象光学势, 经比较, 理论结果与现有实验数据大体相符.

摘要 +
设计整形脉冲场调控分子取向在立体化学反应、强场电离及量子信息处理等领域具有重要的应用价值. 然而, 传统量子最优控制算法通常在无穷维转动空间中优化分子取向度, 且未充分考虑实验设计中脉冲所需满足的约束条件. 针对这一问题, 本文提出一种多目标多约束量子最优控制算法, 用于设计满足脉冲面积和能量约束的脉冲场, 以优化超冷分子有限个低位转动态的布居和相位分布, 从而得到最大分子取向. 研究结果表明, 通过调控约束条件, 可有效抑制非目标态空间转动态的影响, 在目标态空间内获得转动态布居和相位优化的相干叠加态, 形成期望的最大分子取向. 优化脉冲的时频谱分析结合含时取向度傅里叶变换谱计算表明, 获得的最大分子取向主要通过多色脉冲场的爬梯激发实现, 且高激发态相干对最大取向度的贡献较小. 本文为利用多约束优化算法设计实验可行性脉冲场, 通过精准调控有限个转动态产生最大分子取向提供了一种可参考的方法.
- 1
- 2
- 3
- 4
- 5
- ...
- 205
- 206