-
针对天线雷达散射截面(radar cross section, RCS)减缩设计难度大、优化耗时长等问题, 本文采用“先散射后辐射”的低RCS天线设计思路, 并基于混合机制实现天线的双极化RCS减缩, 提出了一种双极化低散射超表面天线, 克服了传统低RCS天线设计方法存在的弊端. 首先, 基于超表面的幅相调控特性设计了一款双极化低RCS超表面, 实现了对不同极化入射波的反射波束的独立调控; 然后, 在低RCS超表面的基础上, 通过借鉴传统贴片天线辐射结构, 对超表面结构进行局部调整并采用同轴馈电激励以实现天线辐射; 最后, 结合电流分布微调辐射结构, 快速优化天线辐射性能. 经过仿真和实验验证, 提出的天线不仅具有良好的辐射性能, 同时也能够实现带内带外双极化RCS减缩. 与传统低RCS天线设计方法相比, 本文采用的“先散射后辐射”逆向设计思路和提出的混合机制实现天线双极化RCS减缩的新方法, 有效化解了超表面天线紧凑结构带来的辐射与低散射耦合矛盾, 大大简化了低散射超表面天线的设计流程, 且设计的天线采用单层介质实现RCS减缩, 具有结构简单、紧凑、剖面低的特点.
To address the challenges of the complex design process and long optimization time for antenna radar cross section (RCS) reduction, this paper adopts the low-RCS antenna design concept of “first scattering then radiation” and implements dual-polarized RCS reduction of the antenna based on the hybrid mechanism. A dual-polarized low-scattering metasurface antenna is proposed, which overcomes the drawbacks of traditional low-RCS antenna design methods. Firstly, a dual-polarized low-RCS metasurface antenna is designed based on the amplitude and phase control characteristics of the metasurface, achieving independent control of the reflected beams for different polarized incident waves. Secondly, drawing on the radiation structure of traditional patch antennas, a local adjustment is made to the metasurface based on the low RCS metasurface. The antenna radiation is achieved through coaxial feed excitation. Finally, combined with the current distribution adjustment of the radiation structure, the antenna radiation performance is rapidly optimized. Through simulation and experimental verification, the proposed antenna not only has good radiation performance but also can achieve the reduction of dual-polarized RCS reduction inside and outside the frequency band. Compared with the traditional low-RCS antenna design methods, the reverse design concept of “first scattering then radiation” adopted in this work and the new method of reducing the dual-polarized RCS reduction of the antenna based on a hybrid mechanism effectively resolve the contradiction between radiation and low scattering caused by the compact structure of the metasurface antenna, greatly simplifying the design process of the low-scattering metasurface antenna. The antenna adopts a single-layer dielectric design to achieve RCS reduction, and has the characteristics of simple structure, compactness, and low profile. -
Keywords:
- electromagnetic metasurface /
- antenna /
- amplitude-phase modulation /
- low radar cross section
[1] Zhang L, Chen X Q, Liu S, Zhang Q, Zhao J, Dai J Y, Bai G D, Wan X, Cheng Q, Castaldi G, Galdi V, Cui T J 2018 Nat. Commun. 9 4334
Google Scholar
[2] Yang H H, Li T, Jidi L R, Gao K, Li Q, Qiao J X, Li S J, Cao X Y, Cui T J 2023 IEEE Trans. Antennas Propag. 71 4075
Google Scholar
[3] Dhumal A, Mahesh S B, Bhardwaj A, Saikia M, Malik S, Srivastava K V 2023 IEEE Trans. Electromagn. Compat. 65 96
Google Scholar
[4] Ghosh S, Ghosh J, Singh M S, Sarkhel A 2023 IEEE Trans. Circuits Syst. 70 76
[5] Ji K F, Zhou Y L, Yang H H, Zhang Z Y, Guo Z X, Li T 2024 IEEE Antennas Wireless Propag. Lett. 23 2046
Google Scholar
[6] Ren J Y, Jiang W, Gong S X 2018 IEEE Microw. Antennas Propag. 12 1793
Google Scholar
[7] Ji K F, Cao X Y, Gao J, Yang H H, Li T, Jidi L Y 2022 IEEE Trans. Antennas Propag. 70 11537
Google Scholar
[8] Yang H H, Li T, Xu L M, Cao X Y, Jidi L R, Guo Z X, Li P, Gao J 2021 IEEE Trans. Antennas Propag. 69 1239
Google Scholar
[9] Luo X Y, Guo W L, Chen K, Zhao J M, Jiang T, Liu Y 2021 IEEE Trans. Antennas Propag. 69 3332
Google Scholar
[10] Ji K F, Zhou Y L, Yang H H, Zhang Z Y, Li T, Li S J 2024 IEEE Trans. Antennas Propag. 73 149
[11] Ji K F, Zhou Y L, Yang H H, Li T, Li S J, Zhang Z Y 2025 IEEE Antennas Wireless Propag. Lett. 24 1302
Google Scholar
[12] Zhang Z Y, Zhou Y L, Li S J, Tian J H, Cong L L, Yang H H, Cao X Y 2024 ACS Apll. Mater. Interfaces 16 65635
Google Scholar
[13] Zhang Z Y, Li S J, Zhou Y L, Li T, Cong L L, Feng Q, Zhao X L, Cao X Y 2024 Opt. Express. 32 24469
Google Scholar
[14] Jiang Y L, Tian Y X, Li J X, Yan C Y, Pan Y X 2024 IEEE Photonics Technology. Lett. 36 1117
Google Scholar
[15] Yue H, Chen L, Yang Y Z, He L X, Shi X W 2019 IEEE Antennas Wireless Propag. Lett. 18 54
Google Scholar
[16] Zhang T H, Pang X Y, Zhang H, Zheng Q 2023 IEEE Antennas Wireless Propag. Lett. 22 665
Google Scholar
[17] Pu M B, Ma X L, Li X, Guo Y H, Luo X G 2017 J. Mater. Chem. C 5 436
[18] Guo Y H, Ma X L, Pu M B, Li X, Zhao Z Y, Luo X G 2018 Adv. Opt. Mater. 6 1800592
Google Scholar
[19] Huang Y J, Luo J, Pu M B, Guo Y H, Zhao Z Y, Ma X L, Li X, Luo X G 2019 Adv. Sci. 6 1801691
Google Scholar
[20] Xue J J, Jiang W, Gong S X 2017 Int. J. Antennas Propag. 2017 1260973
[21] Li T, Yang H H, Li Q, Jiadi L R, Cao X Y, Gao J 2021 IEEE Trans. Antennas Propag. 69 5325
Google Scholar
[22] 李桐, 杨欢欢, 李奇, 廖嘉伟, 高坤, 季轲峰, 曹祥玉 2024 73 124101
Google Scholar
Li T, Yang H H, Li Q, Liao J W, Gao K, Ji K F, Cao X Y 2024 Acta Phys. Sin. 73 124101
Google Scholar
[23] Rana S, Jain P 2023 Int. J. Microw. Wirel. Technol. 15 1108
Google Scholar
[24] 冯奎胜, 李娜, 杨欢欢 2021 70 194101
Google Scholar
Feng K S, Li N, Yang H H 2021 Acta Phys. Sin. 70 194101
Google Scholar
[25] Liu Y, Jia Y T, Zhang W B, Wang Y Z, Guo S X, Liao G S 2019 IEEE Trans. Antennas Propag. 67 6199
Google Scholar
[26] Liu Y, Zhang W B, Jia Y T, Wu A Q 2021 IEEE Trans. Antennas Propag. 69 572
Google Scholar
[27] Sima B, Chen K, Luo X Y, Zhao J M, Feng Y J 2019 Phys. Rev. Appl. 10 064043
[28] Guo W L, Chen K, Wang G M, Luo X Y, Feng Y J, Qiu C W 2020 IEEE Trans. Antennas Propag. 68 1426
Google Scholar
[29] Yang Y J, Wang C C, Yang H L, Li S R, Zhou X F, Jin J 2024 IEEE Trans. Antennas Propag. 72 6464
Google Scholar
-
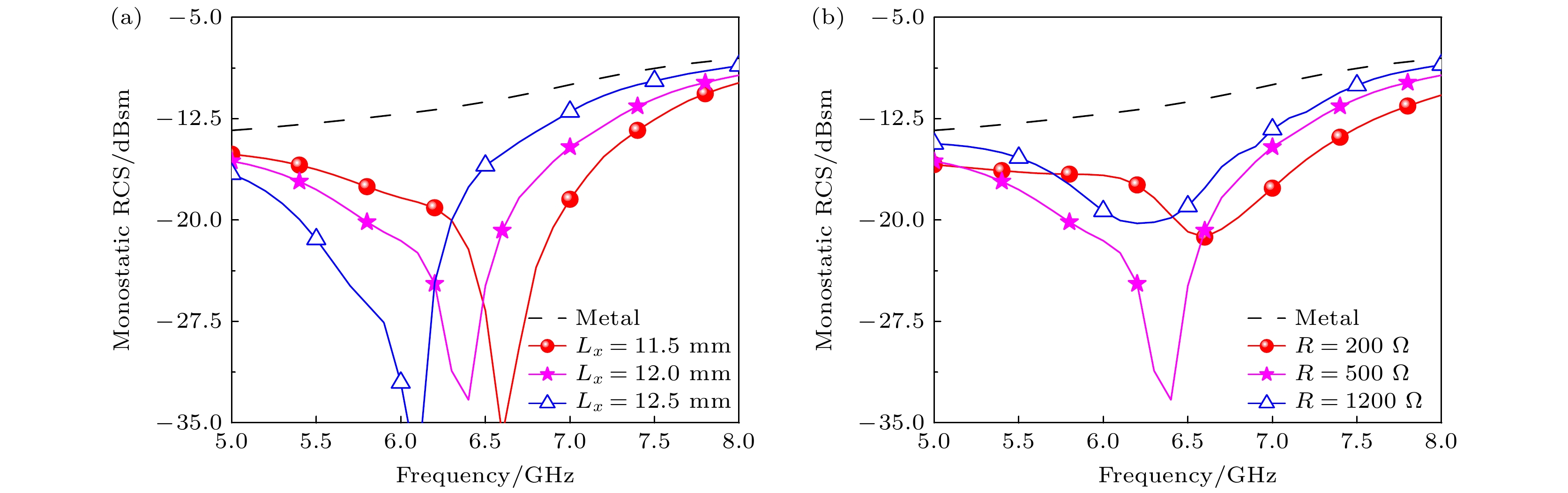
图 3 x极化表面单站RCS曲线 (a) Ly1 = 11.9 mm, Ly2 = 10.5 mm, Ly3 = 9.6 mm, Ly4 = 3.8 mm, R = 500 Ω; (b) Lx = 12.0 mm, Ly1 = 11.9 mm, Ly2 = 10.5 mm, Ly3 = 9.6 mm, Ly4 = 3.8 mm
Fig. 3. X-polarized RCS of proposed surface: (a) Ly1 = 11.9 mm, Ly2 = 10.5 mm, Ly3 = 9.6 mm, Ly4 = 3.8 mm, R = 500 Ω; (b) Lx = 12.0 mm, Ly1 = 11.9 mm, Ly2 = 10.5 mm, Ly3 = 9.6 mm, Ly4 = 3.8 mm.
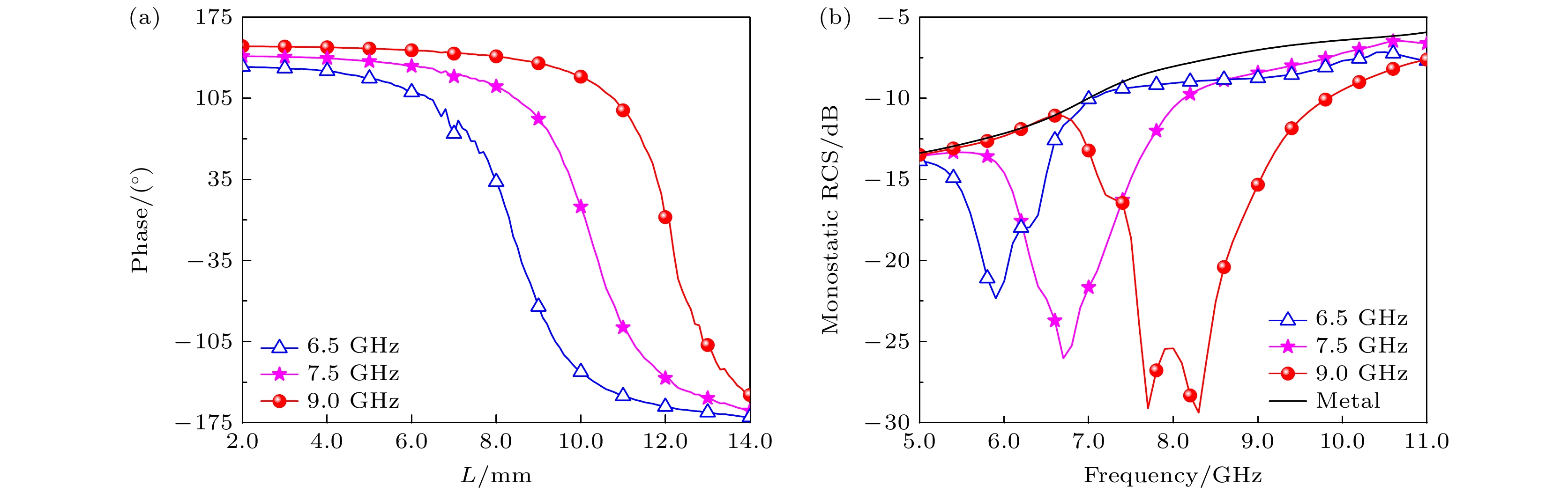
表 1 矩形贴片边长Ly取值与中心频率对应关系(Lx = 12.0 mm)
Table 1. Relationship between the side length Ly of the patch and the frequency (Lx = 12.0 mm).
频率/GHz 第一矩形贴片边长Ly1/mm 第二矩形贴片边长Ly2/mm 第三矩形贴片边长Ly3/mm 第四矩形贴片边长Ly4/mm 6.5 13.2 12.2 11.6 4.1 7.5 11.9 10.5 9.6 3.8 9.0 10.3 8.8 7.9 3.5 -
[1] Zhang L, Chen X Q, Liu S, Zhang Q, Zhao J, Dai J Y, Bai G D, Wan X, Cheng Q, Castaldi G, Galdi V, Cui T J 2018 Nat. Commun. 9 4334
Google Scholar
[2] Yang H H, Li T, Jidi L R, Gao K, Li Q, Qiao J X, Li S J, Cao X Y, Cui T J 2023 IEEE Trans. Antennas Propag. 71 4075
Google Scholar
[3] Dhumal A, Mahesh S B, Bhardwaj A, Saikia M, Malik S, Srivastava K V 2023 IEEE Trans. Electromagn. Compat. 65 96
Google Scholar
[4] Ghosh S, Ghosh J, Singh M S, Sarkhel A 2023 IEEE Trans. Circuits Syst. 70 76
[5] Ji K F, Zhou Y L, Yang H H, Zhang Z Y, Guo Z X, Li T 2024 IEEE Antennas Wireless Propag. Lett. 23 2046
Google Scholar
[6] Ren J Y, Jiang W, Gong S X 2018 IEEE Microw. Antennas Propag. 12 1793
Google Scholar
[7] Ji K F, Cao X Y, Gao J, Yang H H, Li T, Jidi L Y 2022 IEEE Trans. Antennas Propag. 70 11537
Google Scholar
[8] Yang H H, Li T, Xu L M, Cao X Y, Jidi L R, Guo Z X, Li P, Gao J 2021 IEEE Trans. Antennas Propag. 69 1239
Google Scholar
[9] Luo X Y, Guo W L, Chen K, Zhao J M, Jiang T, Liu Y 2021 IEEE Trans. Antennas Propag. 69 3332
Google Scholar
[10] Ji K F, Zhou Y L, Yang H H, Zhang Z Y, Li T, Li S J 2024 IEEE Trans. Antennas Propag. 73 149
[11] Ji K F, Zhou Y L, Yang H H, Li T, Li S J, Zhang Z Y 2025 IEEE Antennas Wireless Propag. Lett. 24 1302
Google Scholar
[12] Zhang Z Y, Zhou Y L, Li S J, Tian J H, Cong L L, Yang H H, Cao X Y 2024 ACS Apll. Mater. Interfaces 16 65635
Google Scholar
[13] Zhang Z Y, Li S J, Zhou Y L, Li T, Cong L L, Feng Q, Zhao X L, Cao X Y 2024 Opt. Express. 32 24469
Google Scholar
[14] Jiang Y L, Tian Y X, Li J X, Yan C Y, Pan Y X 2024 IEEE Photonics Technology. Lett. 36 1117
Google Scholar
[15] Yue H, Chen L, Yang Y Z, He L X, Shi X W 2019 IEEE Antennas Wireless Propag. Lett. 18 54
Google Scholar
[16] Zhang T H, Pang X Y, Zhang H, Zheng Q 2023 IEEE Antennas Wireless Propag. Lett. 22 665
Google Scholar
[17] Pu M B, Ma X L, Li X, Guo Y H, Luo X G 2017 J. Mater. Chem. C 5 436
[18] Guo Y H, Ma X L, Pu M B, Li X, Zhao Z Y, Luo X G 2018 Adv. Opt. Mater. 6 1800592
Google Scholar
[19] Huang Y J, Luo J, Pu M B, Guo Y H, Zhao Z Y, Ma X L, Li X, Luo X G 2019 Adv. Sci. 6 1801691
Google Scholar
[20] Xue J J, Jiang W, Gong S X 2017 Int. J. Antennas Propag. 2017 1260973
[21] Li T, Yang H H, Li Q, Jiadi L R, Cao X Y, Gao J 2021 IEEE Trans. Antennas Propag. 69 5325
Google Scholar
[22] 李桐, 杨欢欢, 李奇, 廖嘉伟, 高坤, 季轲峰, 曹祥玉 2024 73 124101
Google Scholar
Li T, Yang H H, Li Q, Liao J W, Gao K, Ji K F, Cao X Y 2024 Acta Phys. Sin. 73 124101
Google Scholar
[23] Rana S, Jain P 2023 Int. J. Microw. Wirel. Technol. 15 1108
Google Scholar
[24] 冯奎胜, 李娜, 杨欢欢 2021 70 194101
Google Scholar
Feng K S, Li N, Yang H H 2021 Acta Phys. Sin. 70 194101
Google Scholar
[25] Liu Y, Jia Y T, Zhang W B, Wang Y Z, Guo S X, Liao G S 2019 IEEE Trans. Antennas Propag. 67 6199
Google Scholar
[26] Liu Y, Zhang W B, Jia Y T, Wu A Q 2021 IEEE Trans. Antennas Propag. 69 572
Google Scholar
[27] Sima B, Chen K, Luo X Y, Zhao J M, Feng Y J 2019 Phys. Rev. Appl. 10 064043
[28] Guo W L, Chen K, Wang G M, Luo X Y, Feng Y J, Qiu C W 2020 IEEE Trans. Antennas Propag. 68 1426
Google Scholar
[29] Yang Y J, Wang C C, Yang H L, Li S R, Zhou X F, Jin J 2024 IEEE Trans. Antennas Propag. 72 6464
Google Scholar
计量
- 文章访问数: 1291
- PDF下载量: 25
- 被引次数: 0








下载: