-
二维材料因其优异的光电性能在基础科学探索与光电子学、能源存储和转换器件等未来技术应用中展现出巨大的潜力, 成为凝聚态物理和材料科学领域的前沿热点. 二维材料独特的层状结构使其物理性能极易受外场的影响. 高压技术作为一种高效、连续且清洁的调控手段, 可以通过压缩原子间距、增强层间耦合, 甚至诱导结构相变, 进而实现对二维材料结构的精准调控以及光电性能的优化提升. 本文以石墨烯、过渡金属二硫族化合物、二维金属卤化物钙钛矿等为例, 结合金刚石对顶砧高压装置以及原位高压表征技术, 重点探讨了它们在高压下的结构演化规律与光电性能调控机制, 并指出了这一新兴研究领域所面临的挑战和机遇, 以期为新型高性能功能材料的开发和实际应用有所启发.Two-dimensional (2D) materials, due to their outstanding photoelectric properties, have demonstrated significant potential in both fundamental scientific research and future technological applications, including optoelectronics, energy storage, and conversion devices, establishing them as a cutting-edge research field in condensed matter physics and materials science. The distinctive layered structure of 2D materials renders their physical properties highly sensitive to external stimuli. High-pressure technology, serving as an efficient, continuous, and clean tuning tool, enables precise structural control and optimization of the photoelectric properties of 2D materials by compressing atomic distances, strengthening interlayer coupling, and even inducing structural phase transitions. This article focuses on prototypical two-dimensional materials, including graphene, transition metal dichalcogenides (TMDs), and two-dimensional metal halide perovskites. Employing the diamond anvil cell combined with multimodal in situ high-pressure characterization techniques such as X-ray diffraction, Raman spectroscopy, photoluminescence, and electrical transport measurements, we systematically elucidate the effects of high pressure on the structural and photoelectric properties of these materials. The key findings indicate that high pressure can induce the graphene to transition from a semimetal state to a semiconducting state, even a superconducting state, triggering off structural phase transitions and semiconductor-to-metal transitions in TMDs such as MoS2 and WTe2, and leading to a pressure-dependent bandgap narrowing and significant enhancement of luminescence intensity in two-dimensional perovskites. This work highlights the utility of high-pressure techniques in revealing the intrinsic correlations between the microstructure and macroscopic properties of two-dimensional materials. Furthermore, it discusses the key challenges and opportunities in this emerging research area, providing insights into the development and practical application of novel functional materials.
-
Keywords:
- two-dimensional materials /
- high pressure /
- photoelectric performance
[1] Novoselov K S, Geim A K, Morozov S V, Jiang D, Zhang Y, Dubonos S V, Grigorieva I V, Firsov A A 2004 Science 306 666
Google Scholar
[2] Huang X, Zeng Z Y, Fan Z X, Liu J Q, Zhang H 2013 Chem. Soc. Rev. 44 1934
Google Scholar
[3] Kannan P K, Late D J, Morgan H, Rout C S 2015 Nanoscale 7 13293
Google Scholar
[4] Sun Y F, Gao S, Lei F C, Xie Y 2014 Chem. Soc. Rev. 44 623
Google Scholar
[5] Novoselov K S, Mishchenko A, Carvalho A, Neto A H C 2016 Science 353 aac9439
Google Scholar
[6] Chow W L, Yu P, Liu F C, Hong J H, Wang X L, Zeng Q S, Hsu C, Zhu C, Zhou J D, Wang X W, Xia J, Yan J X, Chen Y, Wu D, Yu T, Zheng Z X, Lin H, Jin C H, Tay B K, Liu Z 2017 Adv. Mater. 29 1602969
Google Scholar
[7] Mao H K, Chen B, Chen J, Li K, Lin J F, Yang W G, Zheng H 2016 Matter Radiat. Extrems 1 59
Google Scholar
[8] Mao H K, Xu J, Bell P M 1986 J. Geophys. Res. Atmos. 91 4673
Google Scholar
[9] 郑海飞 2015 金刚石压腔高温高压实验技术及其应用 (北京: 科学出版社) 第78—88页
Zheng H F 2015 Diamond Anvil Cell High-Pressure and High-Temperature Experimental Techniques and Their Applications (Beijing: Science Press) pp78–88
[10] Zheng J, Zhang H, Dong S H, Liu Y P, Nai C T, Shin H S, Jeong H Y, Liu B, Loh K P 2014 Nat. Commun. 5 2995
Google Scholar
[11] Gu L, Liu S, Zhao H C, Yu H B 2015 ACS Appl. Mater. Interfaces 7 17641
Google Scholar
[12] Clark S M, Jeon K J, Chen J Y, Yoo C S 2012 Solid State Commun. 154 15
Google Scholar
[13] Ke F, Zhang L K, Chen Y B, Yin K T, Wang C X, Tzeng Y K, Lin Y, Dong H L, Liu Z X, Tse J S, Mao W L, Wu J Q, Chen B 2020 Nano Lett. 20 5916
Google Scholar
[14] Mak K F, Shan J, Heinz T F 2011 Phys. Rev. Lett. 106 046401
Google Scholar
[15] Carr S, Fang S, Jarillo-Herrero P, Kaxiras E 2018 Phys. Rev. B 98 085144
Google Scholar
[16] Ke F, Chen Y B, Yin K T, Yan J J, Zhang H Z, Liu Z X, Tse J S, Wu J Q, Mao H K, Chen B 2019 Proc. Natl. Acad. Sci. USA. 116 9186
Google Scholar
[17] Luo B C, Wu L W, Li D, Zhang Z L, Yu X C, Li G W, Song H Z 2022 Carbon 196 146
Google Scholar
[18] Akinwande D, Huyghebaert C, Wang C H, Serna M I, Goossens S, Li L J, Wong H S P, Koppens F H L 2019 Nature 573 507
Google Scholar
[19] Novoselov K S, Jiang D, Schedin F, Booth T J, Khotkevich V V, Morozov S V, Geim A K 2005 Proc. Natl. Acad. Sci. USA. 102 10451
Google Scholar
[20] Mak K F, Lee C, Hone J, Shan J, Heinz T F 2010 Phys. Rev. Lett. 105 136805
Google Scholar
[21] Splendiani A, Sun L, Zhang Y, Li T, Kim J, Chim C Y, Galli G, Wang F 2010 Nano Lett. 10 1271
Google Scholar
[22] Xiao D, Liu G B, Feng W X, Xu X D, Yao W 2012 Phys. Rev. Lett. 108 196802
Google Scholar
[23] Tanwar S, Arya A, Gaur A, Sharma A L 2021 J. Phys. Condens. Matter 33 303002
Google Scholar
[24] Cheng X R, Li Y Y, Shang J M, Hu C S, Ren Y F, Liu M, Qi Z M 2017 Nano Res. 11 855
Google Scholar
[25] Chi Z H, Zhao X M, Zhang H, Goncharov A F, Lobanov S S, Kagayama T, Sakata M, Chen X J 2014 Phys. Rev. Lett. 113 036802
Google Scholar
[26] Tosatti E, Hromadova L, Martoňák R 2013 Bull. Am. Phys. Soc. 87 144105
Google Scholar
[27] Fan X F, Singh D J, Jiang Q, Zheng W T 2016 Phys. Chem. Chem. Phys. 18 12080
Google Scholar
[28] Wang S M, Zhang J Z, He D W, Zhang Y, Wang L P, Xu H W, Wen X D, Ge H, Zhao Y S 2013 J. Phys. Chem. Solids 75 100
Google Scholar
[29] Bhattacharyya S, Singh A K 2012 Phys. Rev. B 86 075454
Google Scholar
[30] Nayak A P, Pandey T, Voiry D, Liu J, Moran S T, Sharma A, Tan C, Chen C H, Li L J, Chhowalla M, Lin J F, Singh A K, Akinwande D 2014 Nano Lett. 15 346
Google Scholar
[31] Zhou Y H, Chen X L, Li N N, Zhang R R, Wang X F, An C, Zhou Y, Pan X C, Song F Q, Wang B G, Yang W G, Yang Z R, Zhang Y H 2016 AIP Adv. 6 075008
Google Scholar
[32] Zhou D W, Zhou Y H, Pu C Y, Chen X L, Lu P C, Wang X F, An C, Zhou Y, Miao F, Ho C H, Sun J, Yang Z R, Xing D Y 2017 NPJ Quantum Mater. 2 19
Google Scholar
[33] Yan Y L, Jin C L, Wang J, Qin T R, Li F F, Wang K, Han Y H, Gao C X 2017 J. Phys. Chem. Lett. 8 3648
Google Scholar
[34] Fu L, Wan Y, Tang N, Ding Y M, Gao J, Yu J C, Guan H M, Zhang K, Wang W Y, Zhang C F, Shi J J, Wu X, Shi S F, Ge W K, Dai L, Shen B 2017 Sci. Adv. 3 e1700162
Google Scholar
[35] Gong Y, Zhou Q, Huang X, Han B, Fu X, Gao H, Li F, Cui T 2017 Chem. NanoMat. 3 238
(in Chinese)
Google Scholar
[36] Oliva R, Laurien M, Dybala F, Kopaczek J, Qin Y, Tongay S, Rubel O, Kudrawiec R 2019 NPJ 2D Mater. Appl. 3 20
Google Scholar
[37] Lorchat E, Froehlicher G, Berciaud S 2016 ACS Nano 10 2752
Google Scholar
[38] Hou D B, Ma Y Z, Du J G, Yan J Y, Ji C, Zhu H Y 2010 J. Phys. Chem. Solids 71 1571
Google Scholar
[39] Kao Y C, Huang T, Lin D Y, Huang Y S, Tiong K K, Lee H Y, Lin J M, Sheu H S, Lin C M 2012 J. Chem. Phys. 137 024509
Google Scholar
[40] Nayak A P, Bhattacharyya S, Zhu J, Liu J, Wu X, Pandey T, Jin C, Singh A K, Akinwande D, Lin J F 2014 Nat. Commun. 5 3731
Google Scholar
[41] Jiang F Y, Yang D W, Jiang Y Y, Liu T F, Zhao X G, Ming Y, Luo B W, Qin F, Fan J C, Han H W, Zhang L J, Zhou Y H 2017 J. Am. Chem. Soc. 140 1019
Google Scholar
[42] Zhang F, Zhang H Y, Zhu L J, Qin L, Wang Y G, Hu Y F, Lou Z D, Hou Y B, Teng F 2019 J. Mater. Chem. C 7 4004
Google Scholar
[43] Li L N, Sun Z H, Wang P, Hu W D, Wang S S, Ji C M, Hong M C, Luo J H 2017 Angew. Chem. Int. Ed. 56 12150
Google Scholar
[44] Xu Y K, Wang M, Lei Y T, Ci Z P, Jin Z W 2020 Adv. Energy Mater. 10 2002558
Google Scholar
[45] Liu G, Gong J, Kong L P, Schaller R D, Hu Q Y, Liu Z X, Yan S, Yang W G, Stoumpos C C, Kanatzidis M G, Mao H K, Xu T 2018 Proc. Natl. Acad. Sci. USA. 115 8076
Google Scholar
[46] Capitani F, Marini C, Caramazza S, Postorino P, Garbarino G, Hanfland M, Pisanu A, Quadrelli P, Malavasi L 2016 J. Appl. Phys. 119 185901
Google Scholar
[47] Liu G, Kong L P, Gong J, Yang W G, Mao H K, Hu Q Y, Liu Z X, Schaller R D, Zhang D Z, Xu T 2016 Adv. Funct. Mater. 27 1604208
Google Scholar
[48] Ou T, Yan J, Xiao C, Shen W, Liu C, Liu X, Han Y, Ma Y, Gao C 2016 Nanoscale 8 11426
Google Scholar
[49] Jaffe A, Lin Y, Mao W L, Karunadasa H I 2017 J. Am. Chem. Soc. 139 4330
Google Scholar
[50] Yu P Y, Welber B 1978 Solid State Commun. 25 209
Google Scholar
[51] Mujica A, Rubio A, Muñoz A, Needs R J 2003 Rev. Mod. Phys. 75 863
Google Scholar
[52] Yuan Y, Liu X, Ma X, Wang X, Li X, Xiao J, Li X, Zhang H, Wang L 2019 Adv. Sci. 6 1900240
Google Scholar
[53] Jaffe A, Lin Y, Mao W L, Karunadasa H I 2015 J. Am. Chem. Soc. 137 1673
Google Scholar
[54] Liu G, Kong L P, Guo P J, Stoumpos C C, Hu Q Y, Liu Z X, Cai Z H, Gosztola D J, Mao H K, Kanatzidis M G, Schaller R D 2017 ACS Energy Lett. 2 2518
Google Scholar
[55] Kong L P, Liu G, Gong J, Hu Q Y, Schaller R D, Dera P, Zhang D Z, Liu Z X, Yang W G, Zhu K, Tang Y Z, Wang C Y, Wei S H, Xu T, Mao H K 2016 Proc. Natl. Acad. Sci. USA. 113 8910
Google Scholar
[56] Kong L P, Liu G, Gong J, Mao L L, Chen M T, Hu Q Y, Lü X J, Yang W G, Kanatzidis M G, Mao H K 2020 Proc. Natl. Acad. Sci. USA. 117 16121
Google Scholar
[57] Kong L P, Gong J, Spanopoulos I, Yan S, Li Z Y, Zhu Z K, Liu X Y, Zhu Y N, Dong H L, Shu H Y, Hu Q Y, Yang W G, Mao H K, Kanatzidis M G, Liu G 2024 Adv. Funct. Mater. 34 2414437
Google Scholar
[58] Kong L P, Gong J, Hu Q Y, Capitani F, Celeste A, Hattori T, Sano-Furukawa A, Li N N, Yang W G, Liu G, Mao H K 2020 Adv. Funct. Mater. 31 2009131
Google Scholar
[59] Yin T T, Liu B, Yan J X, Fang Y N, Chen M H, Chong W K, Jiang S J, Kuo J L, Fang J Y, Liang P, Wei S H, Loh K P, Sum T C, White T J, Shen Z X 2018 J. Am. Chem. Soc. 141 1235
Google Scholar
[60] Fang Y, Wang J, Zhang L, Niu G, Sui L, Wu G, Yuan K, Wang K, Zou B 2023 Chem. Sci. 14 2652
Google Scholar
[61] Li X F, Wang S S, Zhao S G, Li L N, Li Y Q, Zhao B Q, Shen Y G, Wu Z Y, Shan P, Luo J H 2018 Chem. Eur. J. 24 9243
Google Scholar
[62] Duan D W, Ge C Y, Rahaman M Z, Lin C H, Shi Y M, Lin H R, Hu H L, Wu T 2023 NPG Asia Mater. 15 8
Google Scholar
[63] Wang Y Q, Guo S H, Luo H, Zhou C K, Lin H R, Ma X D, Hu Q Y, Du M H, Ma B W, Yang W G, Lü X J 2020 J. Am. Chem. Soc. 142 16001
Google Scholar
[64] Wang S S, Yao Y P, Wu Z Y, Peng Y, Li L N, Luo J H 2018 J. Mater. Chem. C 6 12267
Google Scholar
[65] Cheng X W, Xie Z, Zheng W, Li R F, Deng Z H, Tu D T, Shang X Y, Xu J, Gong Z L, Li X J, Chen X Y 2022 Adv. Sci. 9 2103724
Google Scholar
[66] Meng X, Ji S J, Wang Q J, Wang X C, Bai T X, Zhang R L, Yang B, Li Y M, Shao Z P, Jiang J K, Han K L, Liu F 2022 Adv. Sci. 9 2203596
Google Scholar
[67] Luo H, Guo S H, Zhang Y B, Bu K J, Lin H R, Wang Y G, Yin Y F, Zhang D Z, Jin S Y, Zhang W Q, Yang W G, Ma B W, Lü X J 2021 Adv. Sci. 8 2100786
Google Scholar
[68] Ratté J, Macintosh M F, DiLoreto L, Liu J, Mihalyi-Koch W, Hautzinger M P, Guzei I A, Dong Z, Jin S, Song Y 2023 J. Phys. Chem. Lett. 14 403
Google Scholar
[69] Guo S H, Zhao Y S, Bu K J, Fu Y P, Luo H, Chen M T, Hautzinger M P, Wang Y G, Jin S, Yang W G, Lü X J 2020 Angew. Chem. Int. Ed. 59 17533
Google Scholar
[70] Ma Z W, Liu Z, Lu S Y, Wang L R, Feng X L, Yang D W, Wang K, Xiao G J, Zhang L J, Redfern S A T, Zou B 2018 Nat. Commun. 9 4506
Google Scholar
[71] Liu S, Sun S S, Gan C K, Del Águila A G, Fang Y N, Xing J, Ha T T DO, White T J, Li H G, Huang W, Xiong Q 2019 Sci. Adv. 5 eaav9445
Google Scholar
[72] Zhang L, Liu C M, Wang L R, Liu C L, Wang K, Zou B 2018 Angew. Chem. Int. Ed. 57 11213
Google Scholar
[73] Li M, Liu T B, Wang Y G, Yang W G, Lü X J 2020 Matter Radiat. Extrems 5 018201
Google Scholar
[74] Fang Y Y, Zhang L, Wu L W, Yan J J, Lin Y, Wang K, Mao W L, Zou B 2019 Angew. Chem. Int. Ed. 58 15249
Google Scholar
[75] Mao L L, Wu Y L, Stoumpos C C, Wasielewski M R, Kanatzidis M G 2017 J. Am. Chem. Soc. 139 5210
Google Scholar
[76] Szafrański M, Katrusiak A 2016 J. Phys. Chem. Lett. 7 3458
Google Scholar
[77] Wang Y G, Lü X J, Yang W G, Wen T, Yang L X, Ren X T, Wang L, Lin Z S, Zhao Y S 2015 J. Am. Chem. Soc. 137 11144
Google Scholar
[78] Lü X J, Wang Y G, Stoumpos C C, Hu Q, Guo X, Chen H, Yang L, Smith J S, Yang W, Zhao Y, Xu H, Kanatzidis M G, Jia Q 2016 Adv. Mater. 28 8663
Google Scholar
[79] Li Q, Wang Y G, Pan W C, Yang W G, Zou B, Tang J, Quan Z W 2017 Angew. Chem. Int. Ed. 56 15969
Google Scholar
[80] Cui H, Zhang H F, Xu S, Cheng L Y, Tao H H, Wang L R, Pan G C, You W W, Mao Y L 2025 Appl. Phys. Lett. 126 173101
Google Scholar
[81] Chen Y P, Fu R J, Wang L R, Ma Z W, Xiao G J, Wang K, Zou B 2019 J. Mater. Chem. A 7 6357
Google Scholar
[82] Guo S H, Bu K J, Li J W, Hu Q Y, Luo H, He Y H, Wu Y H, Zhang DZ, Zhao Y S, Yang W G, Kanatzidis M G, Lü X J 2021 J. Am. Chem. Soc. 143 2545
Google Scholar
[83] Miyata A, Mitioglu A, Plochocka P, Portugall O, Wang J T W, Stranks S D, Snaith H J, Nicholas R J 2015 Nat. Phys. 11 582
Google Scholar
[84] Li S R, Luo J J, Liu J, Tang J 2019 J. Phys. Chem. Lett. 10 1999
Google Scholar
[85] Yuan M J, Quan L N, Comin R, Walters G, Sabatini R, Voznyy O, Hoogland S, Zhao Y, Beauregard E M, Kanjanaboos P, Lu Z, Kim D H, Sargent E H 2016 Nat. Nanotechnol. 11 872
Google Scholar
[86] Anasori B, Lukatskaya M R, Gogotsi Y 2017 Nat. Rev. Mater. 2 16098
Google Scholar
[87] Lv J C, Jia H S, Chen G B, Wang Y X, Liu M, Ning Y Y, Wang Y J, Yuan L, Lu M, Zhang J K 2022 ACS Appl. Mater. Interfaces 14 46056
Google Scholar
[88] Zhang J K, Zhang Y L, Wu X X, Ma Y Z, Chien S Y, Guan R Q, Zhang D Z, Yang B, Yan B M, Yang J H 2018 ACS Appl. Mater. Interfaces 10 42856
Google Scholar
[89] Wang Y F, Xu Y H, Hu M L, Ling H, Zhu X 2020 Nanophotonics 9 1601
Google Scholar
[90] Li X H, Li S S, Cui H L, Zhang R Z 2020 ACS Omega 5 22248
Google Scholar
[91] Shivani V, Sriram S 2025 Diamond Relat. Mater. 154 112192
Google Scholar
[92] Ye C Q, Liu M Z 2022 J. Mol. Model. 28 40
Google Scholar
[93] Yang J H, Wu X T, Li X F, Liu Y, Gao M, Liu X Y, Kong L N, Yang S Y 2011 Appl. Phys. A 105 161
Google Scholar
[94] Li Y A, Zhang J, Wang Q S, Jin Y X, Huang D H, Cui Q L, Zou G T 2010 J. Phys. Chem. B 114 9429
Google Scholar
[95] Hu K, Yao M G, Yang Z X, Xiao G J, Zhu L Y, Zhang H, Liu R, Zou B, Liu B B 2020 Nanoscale 12 12300
Google Scholar
[96] Ruan L W, Zhu Y J, Qiu L G, Yuan Y P, Lu Y X 2014 Comput. Mater. Sci. 91 258
Google Scholar
[97] Zhou J Z, Zhu M Y, Han Y, Zhou X F, Wang S M, Chen J Z, Wu H, Hou Y, Lu Y 2024 J. Appl. Phys. 135 224301
Google Scholar
[98] Wickramaratne D, Weston L, Van De Walle C G 2018 J. Phys. Chem. C 122 25524
Google Scholar
[99] Cai Q, Scullion D, Gan W, Falin A, Zhang S, Watanabe K, Taniguchi T, Chen Y, Santos E J G, Li L H 2019 Sci. Adv. 5 eaav0129
Google Scholar
[100] Yeol K MA, Zhang L, Jin S, Wang Y, Yoon S I, Hwang H, Oh J, Jeong D S, Wang M, Chatterjee S, Kim G, Jang A R, Yang J, Ryu S, Jeong H Y, Ruoff R S, Chhowalla M, Ding F, Shin H S 2022 Nature 606 88
Google Scholar
[101] Chang H Y, Yang S, Lee J, Tao L, Hwang W S, Jena D, Lu N, Akinwande D 2013 ACS Nano 7 5446
Google Scholar
[102] Lee G H, Cui X, Kim Y D, Arefe G, Zhang X, Lee C H, Ye F, Watanabe K, Taniguchi T, Kim P, Hone J 2015 ACS Nano 9 7019
Google Scholar
[103] Britnell L, Gorbachev R V, Geim A K, Ponomarenko L A, Mishchenko A, Greenaway M T, Fromhold T M, Novoselov K S, Eaves L 2013 Nat. Commun. 4 1794
Google Scholar
[104] Britnell L, Gorbachev R V, Jalil R, Belle B D, Schedin F, Katsnelson M I, Eaves L, Morozov S V, Mayorov A S, Peres N M R, Neto A H C, Leist J, Geim A K, Ponomarenko L A, Novoselov K S 2012 Nano Lett. 12 1707
Google Scholar
[105] Segura A, Cuscó R, Taniguchi T, Watanabe K, Cassabois G, Gil B, Artús L 2019 J. Phys. Chem. C 123 20167
Google Scholar
[106] Xue Y Z, Wang H, Tan Q H, Zhang J, Yu T J, Ding K, Jiang D S, Dou X M, Shi J J, Sun B Q 2018 ACS Nano 12 7127
Google Scholar
[107] Akamaru H, Onodera A, Endo T, Mishima O 2002 J. Phys. Chem. Solids 63 887
Google Scholar
-
图 1 (a) 在DAC中压缩薄层石墨烯的XRD图谱; (b) 加压至52 GPa(左)和卸压(右)时石墨烯样品的拉曼光谱; (c) 卸压后与初始的石墨烯样品拉曼光谱对比[12]; (d) 三层、六层及多层石墨烯吸光度随压力的变化关系; (e) 三层、六层、十二层及多层石墨烯在2.0 eV光子能量处的吸光度压力依赖关系[13]
Fig. 1. (a) XRD patterns of few-layer graphene compressed in a DAC; (b) Raman spectra of the present graphene sample obtained as the pressure increases to 52 GPa (left) and then decreases to ambient (right); (c) comparison of Raman spectra between depressurized and initial graphene samples[12]; (d) optical absorbance of tri-, hexa-, and multilayer graphene as a function of pressure; (e) pressure dependence of the absorbance of tri-, hexa-, 12-, and multilayer graphene at a photon energy of 2.0 eV[13].
图 2 (a) 在室温下测量的三层石墨烯的电阻-压力曲线, 黑色虚线表示电阻量子, h/4e2 ~ 6.45 kΩ, 超过此值, 无序导体在低温下会由于安德森局域化而表现为绝缘体; (b) 压缩下三层石墨烯的光学吸收谱图; (c) 加压和卸压过程中, 光子能量为1.5 eV时的吸收率演化[16]; VC-石墨烯在400—800 nm可见光范围和800—2000 nm红外沿着(d) [010]和(e) [001]方向的电磁波吸收系数; (f) VC-石墨烯在2—12 μm红外范围沿着[010]方向的电磁波吸收系数; (g) 理论计算的VC-石墨烯能带结构; (h)不同压力下石墨烯超材料的带隙工程[17]
Fig. 2. (a) Resistance-pressure curves of trilayer graphene measured at room temperature. The black dashed line denotes the resistance quantum, h/4e2 ~ 6.45 kΩ, above which, a disordered conductor would behave as an insulator at low temperatures due to Anderson localization; (b) the optical absorbance patterns of trilayer graphene under compression; (c) evolution of absorbance at a photon energy of 1.5 eV during compression and decompression[16]; electromagnetic wave absorption coefficient of VC-graphene in the visible range of 400–800 nm and infrared range of 800–2000 nm along (d) [010] and (e) [001] directions; (f) the electromagnetic wave absorption coefficient along [010] direction of VC-graphene in the infrared range of 2–12 μm; (g) band structure of VC-graphene calculated; (h) bandgap engineering of graphene metamaterials under different pressures[17].
图 3 (a) 块材MoS2的晶胞示意图(左), 单层 MoS2的俯视图(右)[22]; (b) 不同压力下块体、多层、双层和单层MoS2样品的拉曼光谱[24]; (c) WTe2在加压(标记为c)和卸压(标记为d)过程中的同步辐射XRD图谱, 图中数字表示以GPa为单位的压力值[31]; (d) 单层MoS2在不同静水压下的PL光谱; (e) 单层MoS2的PL峰能量随压力的演化; (f) 单层MoS2的PL峰积分强度随压力的演化[34]; (g) ReX2 (X = S, Se)以及MoX2和WX2 第一直接光学跃迁的压力系数对比[36]
Fig. 3. (a) The unit cell of bulk MoS2 (left) top view of the MoS2 monolayer(right)[22]; (b) Raman spectra of bulk, multilayer, bilayer, and monolayer MoS2 samples under different pressures[24]; (c) synchrotron XRD patterns of WTe2 during the compression (denoted by c) and decompression (by d), numbers represent pressures in unit of GPa[31]; (d) PL spectra of monolayer MoS2 for various pressures; (e) the evolution of energy of the predominant PL peak versus pressure; (f) integrated intensities of PL peak under various pressures[34]; (g) histogram showing the pressure coefficient of the first direct optical transitions of ReX2 (X = S, Se), MoX2 and WX2 [36].
图 4 (a) MoS2的电阻率对压力的依赖关系可划分为3个区域, 即半导体相(SC)、中间相(IS)和金属相(M), 插图为理论计算的电阻率-压力依赖关系; MoS2的电阻率对压力的依赖关系可划分为半导体相(SC)、中间相(IS)和金属相(M)三个区域, 插图为理论计算的电阻率随压力的变化趋势; (b) 金属态下MoS2的电阻率随温度的变化, 插图为实验观测的半导体态MoS2的电阻率-温度行为[30]; (c)—(e) 不同压力ReS2面内电阻的温度依赖关系; (f) 102.0 GPa压力下ReS2电阻下降特征的磁场依赖性, 插图显示了102.0 GPa时上临界场μ0Hc2 的温度依赖性[32]
Fig. 4. (a) Pressure-dependent electrical resistivity of MoS2, three characteristic regions have been identified: semiconducting (SC), intermediate state (IS) and metallic regions. Inset: theoretically calculated pressure-dependent electrical resistivity; (b) temperature-dependent resistivity of MoS2 in the metallic state, the inset shows the experimental temperature-dependent semiconducting behavior of MoS2. The solid lines serve as visual guides[30]; (c)–(e) the temperature dependence of the in-plane electric resistance of ReS2 at different pressures; (f) magnetic field dependence of the resistance drop in ReS2 at 102.0 GPa, the inset shows the temperature dependence of the upper critical field μ0Hc2 at 102.0 GPa[32].
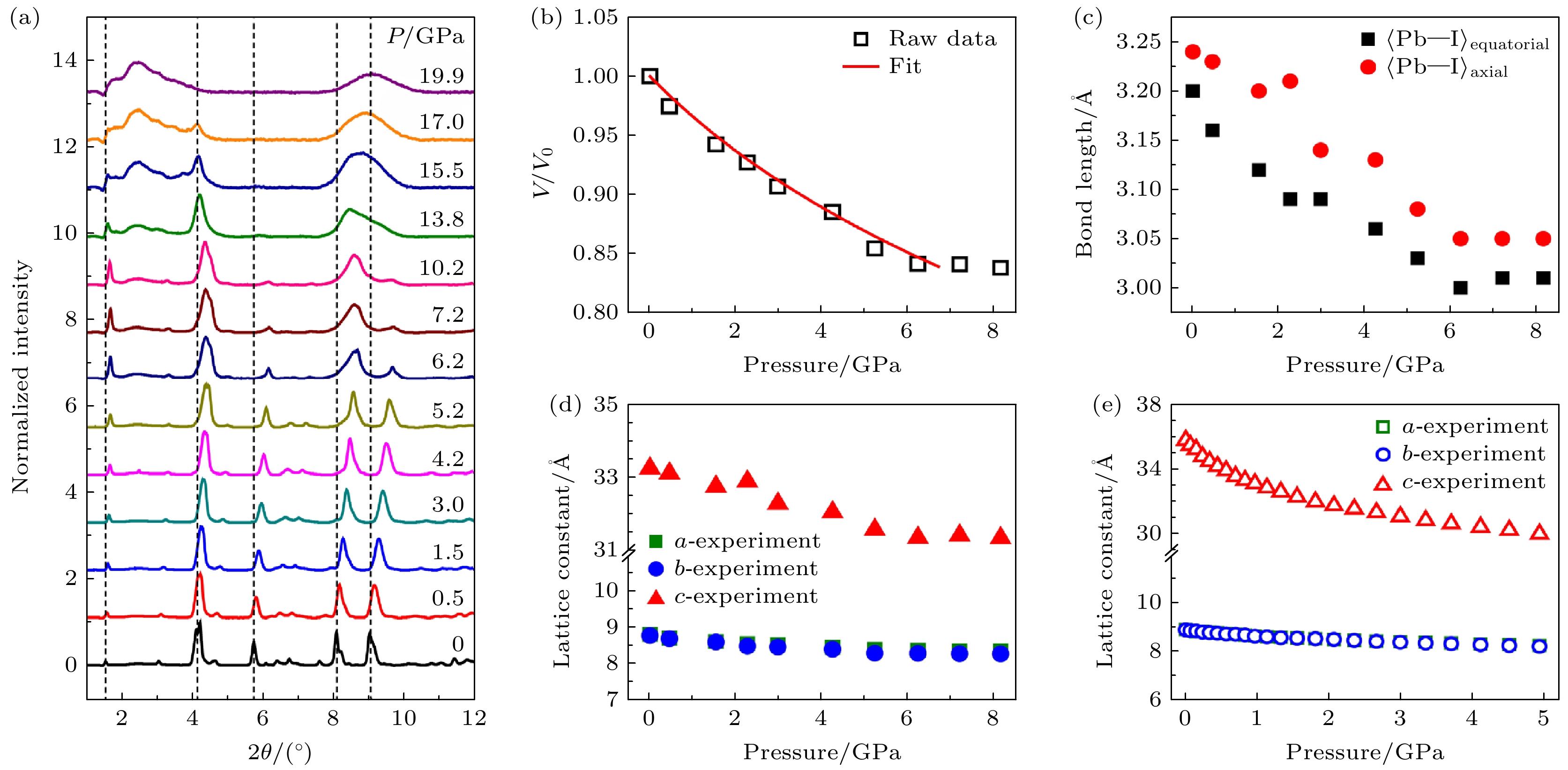
图 5 (PEA)2PbI4在压力下的结构演变与强各向异性压缩 (a) 二维钙钛矿在压力下的同步辐射XRD光谱; (b) 晶胞体积随压力的变化; (c) Pb─I键长随压力的变化, 面内方向($\langle{\text{Pb─I}}\rangle_{{\mathrm{equatorial}}} $)与面外方向($\langle{\text{Pb─I}}\rangle_{{\mathrm{axial}}} $)的键长变化略有不同; (d) 晶胞参数a, b和c随压力的变化; (e) 第一性原理计算证实了a, b和c参数随压力变化的相同趋势, 这强化了对各向异性压缩现象的观测[45]
Fig. 5. Structural evolution and strongly anisotropic compression of (PEA)2PbI4 under pressure: (a) Synchrotron radiation XRD spectra of 2D perovskite under pressure; (b) pressure dependence of unit cell volume; (c) pressure dependence of the Pb─I bond length, which is slightly different in in-plane ($ \langle{\text{Pb─I}}\rangle_{{\mathrm{equatorial}}}$) and out-of-plane ($\langle{\text{Pb─I}}\rangle_{{\mathrm{axial}}} $) directions; (d) pressure dependence of unit cell parameters: a, b, and c; (e) identical pressure dependence of a, b, and c is confirmed by first-principles calculation, which enhances the observation of anisotropic compression[45].
图 6 (a) (BA)2PbI4的高压原位XRD测量; (b), (c) 第一次和第二次相变的详细变化; (d) 第一次相变前后(BA)2PbI4的晶体结构示意图; (e) (BA)2PbI4的原位高压吸收光谱; (f) 选定压力下 (BA)2PbI4的光学图像; (g) (BA)2PbI4的带隙随压力的变化; (h) 常压条件下(BA)2PbI4的吸收光谱; (i) 2.2 GPa以下(BA)2PbI4带隙的变化[52]
Fig. 6. (a) In situ XRD measurements of (BA)2PbI4 under high pressures; (b), (c) detailed variations of the first and second transition; (d) schematic crystal structures of (BA)2 PbI4 before and after the first phase transition; (e) in situ high-pressure absorption spectra of (BA)2PbI4; (f) optical images of (BA)2PbI4 at selected pressures; (g) variations of the (BA)2PbI4 band gap as a function of pressure; (h) the absorption spectrum of (BA)2PbI4 at ambient conditions; (i) variations of the of (BA)2PbI4 band gap below 2.2 GPa[52].
图 7 (BA)2(MA)Pb2I7的原位高压光吸收测试 (a) 压力依赖的光学吸光度谱的彩色图, (b) 压力依赖的(αdhν)2随光子能量变化的彩色图; (c) 各种杂化钙钛矿带隙的压力依赖性总结; (d) (BA)2(MA)Pb2I7的高压同步辐射XRD图谱; (e) 晶面间距的压力依赖性, 插图显示了平均晶格常数(dave)的压力依赖性; (f) XRD展宽证明的压力诱导原子畸变; (g) 压缩过程中带隙演化的结构起源[54]
Fig. 7. In situ high-pressure optical absorption measurements of (BA)2(MA)Pb2I7: (a) color plots of pressure-dependent optical absorbance spectra, (b) color plots of pressure-dependent (αdhν)2 versus photon energy; (c) summary of the pressure dependence of the bandgap for various hybrid perovskites (d)–(f) in situ high-pressure structural characterizations on (BA)2(MA)Pb2I7: (d) high-pressure synchrotron XRD patterns at various 2 theta ranges, (e) pressure dependence of the d-spacing, the inset shows the pressure dependence of dave, (f) pressure-induced atomic distortions evidenced by broadened XRD; (g) structural origin of bandgap evolution in compression[54].
图 8 (a) (3AMP)(MA)n–1PbnI3n+1 (n = 1, 2, 4)的归一化晶面间距随压力的演化; (b) 不同晶面的FWHM随压力的演化; (3AMP)(MA)n–1PbnI3n+1在压力条件下的光吸收特性, n = 1 (c), n = 2 (d)和n = 4 (e)的光吸收等高线图; (f) (3AMP)(MA)n–1PbnI3n+1(n = 1, 2, 4)的带隙演化总结[56]
Fig. 8. (a) Evolution of normalized lattice spacing of (3AMP)(MA)n–1PbnI3n+1(n = 1, 2, 4); (b) FWHM as a function of pressure for different lattice planes; contour plots of optical absorbance of n = 1 (c), n = 2 (d) n = 4 (e); (f) summary of bandgap evolutions of (3AMP)(MA)n–1PbnI3n+1(n = 1, 2, 4) [56].
图 9 (a), (b) 多种杂化钙钛矿的带隙演化对比, 虚线代表Shockley–Queisser 最优带隙值(≈1.33 eV), (a), (b)分别使用线性和对数标度, 其中后者显示了低压区域的更多细节; (c) 二维和三维钙钛矿的带隙可调性随无机层厚度/晶胞纵向总长度的变化关系; (d) 高压下杂化钙钛矿的通用压力驱动行为示意图[57]
Fig. 9. (a), (b) Comparison of pressure-driven bandgap evolution between various hybrid perovskites, the dashed line represents the Shockley–Queisser optimal magnitude (≈1.33 eV), for pressure axis, (a), (b) use linear and log scale, respectively, where the latter shows more details in low-pressure region; (c) bandgap tunability of 2D and 3D perovskites as a function of inorganic layer thickness/total unit cell length along the longitudinal direction; (d) a schematic diagram and illustration for hybrid perovskites under high pressures[57].
图 10 (a)—(c) (2meptH2)PbCl4的高压PL测量 (a) (2meptH2)PbCl4 的发射光谱随压力的演化; (b) 在355 nm 紫外光照射下, 选定压力点的光学图像; (c) 发射的色度坐标随压力的变化关系. (d) (2meptH2)PbCl4 晶体在常压条件和 5.0 GPa 下自陷激子发射演化的示意图[60]. (e)—(g) (CMA)2PbI4的高压PL测量 (e) 在360 nm 紫外光照射下, 选定压力点的光学图像; (f) 360 nm 激发下的PL光谱随压力的演化; (g) PL峰位置的压力依赖性, 并与 DFT 计算的带隙能量值作为参考进行比较[68]. (h)—(k) (HA)2(GA)Pb2I7 单晶的高压原位光学特性 (h) (HA)2(GA)Pb2I7在405 nm激发下发射光谱随压力的演化; (i) 选定压力下 PL光谱的拟合曲线; (j) 俘获态发射贡献度和 PL强度随压力的变化关系; (k) 带隙演化随压力的变化关系及相应的光学图像[69]
Fig. 10. (a)–(c) PL measurements of (2meptH2)PbCl4 at high pressure: (a) Pressure-induced evolution of emission spectra of (2meptH2)PbCl4 upon compression; (b) optical images at selected pressures under UV irradiation of 355 nm; (c) chromaticity coordinates of the emissions as a function of pressure. (d) illustration of the evolution of self-trapped exciton emission of the (2 meptH2)PbCl4 crystal at ambient conditions and 5.0 GPa[60]. (e)–(g) PL measurements of (CMA)2PbI4 at high pressure: (e) Optical image of the sample chamber at selected pressures with a 360 nm UV laser as the excitation source; (f) PL spectra excited by a 360 nm UV laser upon compression at selected pressures; (g) pressure dependence of PL peak positions compared with DFT computed bandgap energies as reference[68]. (h)–(k) in situ optical properties of (HA)2(GA)Pb2I7 single crystals under high pressures: (h) PL spectra excited by 405 nm laser during compression; (i) the fitting curves of the PL spectra under selected pressures; (j) contribution of trapped states emission and the PL intensity as a function of pressure; (k) bandgap evolution as a function of pressure and the corresponding optical images[69].
图 11 (a) (3AMP)PbI4(n = 1)在1 atm—9.7 GPa 压力范围内的 PL 光谱; (b) (3AMP)(MA)3Pb4I13(n = 4)在 1 atm—4.0 GPa 压力范围内的 PL 光谱; (c) D-J 型钙钛矿(3AMP)PbI4和(3AMP)(MA)3Pb4I13, R-P型钙钛矿(GA)(MA)2Pb2I7, (MA) (BA)2Pb2I7的归一化 PL 峰值强度总结[56]
Fig. 11. (a) PL spectra of (3AMP)PbI4 (n = 1) from 1 atm to 9.7 GPa; (b) PL spectra of (3AMP)(MA)3Pb4I13 (n = 4) from 1 atm to 4.0 GPa; (c) summary of normalized PL peak intensities of D-J perovskites (3AMP)PbI4 and (3AMP)(MA)3Pb4I13, alternating-cation R-P perovskite (GA)(MA)2Pb2I7 and R-P perovskite (MA)(BA)2Pb2I7[56].
图 12 (a) (BA)4AgBiBr8在高压下的PL光谱; (b) (BA)4AgBiBr8光致发光显微照片随压力增大的变化图像; (c) 2.5 GPa下(BA)4AgBiBr8的吸收和发射图谱; (d) (BA)4AgBiBr8的PL峰位和归一化 PL 强度作为压力的函数; (e) 在环境条件(左)下和压缩时(右)与自陷激子相关的发射机制图示[74]
Fig. 12. (a) PL spectra of (BA)4AgBiBr8 at high pressure; (b) PL micrographs showing PL intensity changes with increasing pressure; (c) absorption and emission spectra for (BA)4AgBiBr8 at 2.5 GPa; (d) the PL location of (BA)4AgBiBr8 as a function of pressure and normalized PL intensity as a function of pressure; (e) illustrations of PIE mechanism associated with exciton self-trapping at ambient conditions (left) and upon compression (right)[74].
图 13 (BA)2PbI4在环境条件(a)和3.1 GPa (b)下的阻抗数据; (c)(BA)2PbI4的电阻随压力的变化关系[52]; (d) (BA)2(FA)Sn2I7 在405, 980, 1532 nm激光照射下的I-T曲线[80]; (e)加压过程中Cs2PbI2Cl2的光电流变化; (f)压力诱导的Cs2PbI2Cl2光电导率演化, 插图展示了金刚石对顶砧中铂电极与晶体的显微图像; (g)压力促进激子解离的机理示意图[82]
Fig. 13. Impedance data of (BA)2PbI4 at ambient conditions (a) and 3.1 GPa (b)[52]; (c) pressure dependence of the resistance of (BA)2PbI4; (d) the I-T curves of (BA)2(FA)Sn2I7 samples under different pressures under 405, 980, and 1532 nm laser irradiation[80]; (e) photocurrents upon compression of Cs2PbI2Cl2 in phase I; (f) pressure-induced evolution of photoconductivity of Cs2PbI2Cl2, the inset displays a microphotograph of the crystal with platinum probes in the DAC; (g) schematic diagram of the pressure-promoted exciton dissociation[82].
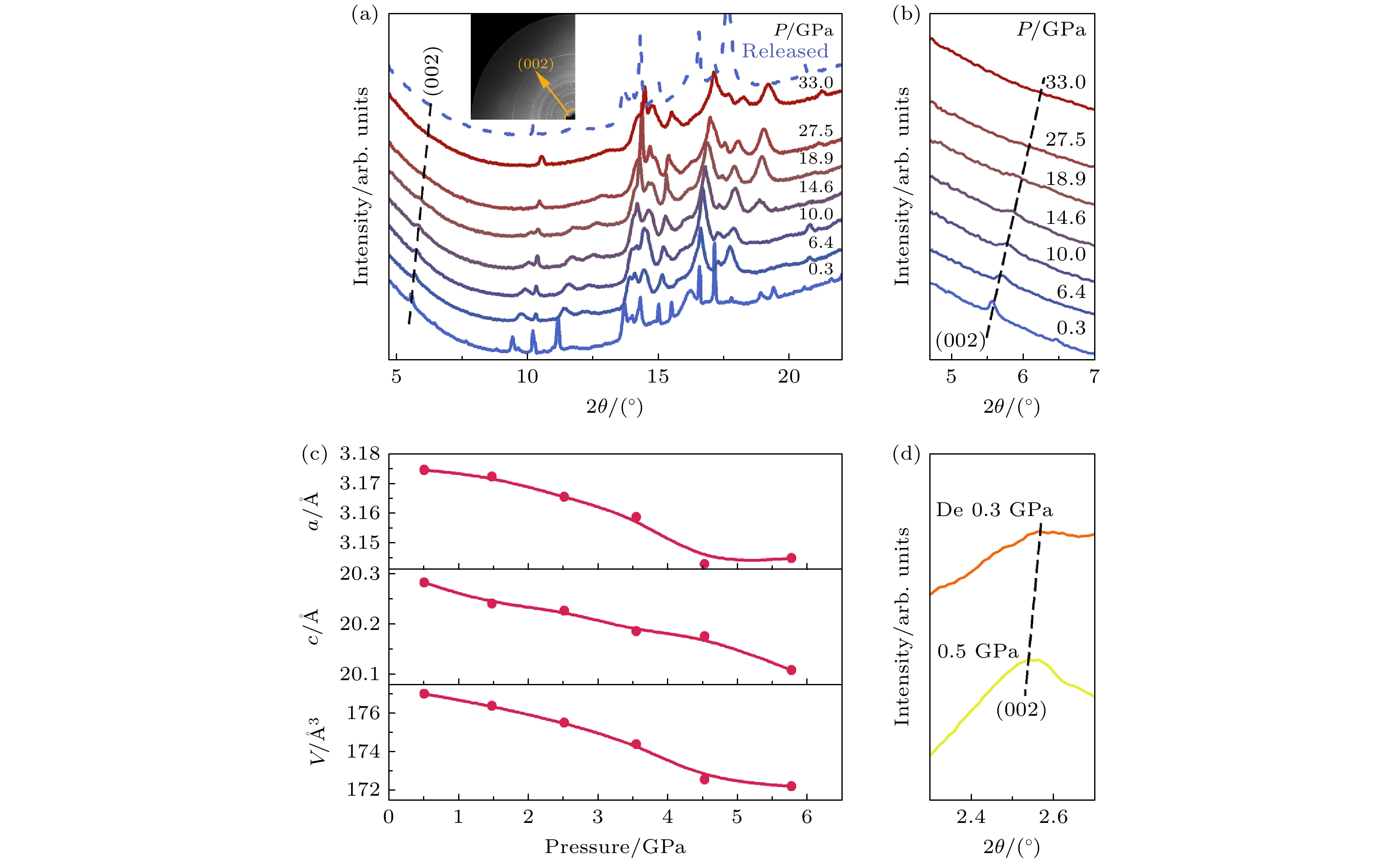
图 14 (a) 所选压力下Ti3C2Tx的代表性XRPD图谱和(b) 相应的放大(002)峰; (c) 晶格参数(a, c, V)随压力的变化; (d) 压缩过程中(0.5 GPa)和压力完全释放后(0.3 GPa)的(002)峰图谱[87]
Fig. 14. (a) Representative XRPD patterns of Ti3C2Tx at selected pressures and (b) corresponding magnified (002) peak; (c) lattice parameters (a, c, and V) as functions of pressure; (d) patterns of the (002) peak at 0.5 GPa during compression and 0.3 GPa after pressure being fully released[87].
图 16 (a) FL-CN 的 PL 发射颜色和样品颜色变化的示意图; (b) 选定压力下 FL-CN 的归一化 PL 光谱; (c) 发射的压力依赖性色度坐标; (d) 选定压力下 PL 能量(在 3 GPa 后由于 PL 光谱展宽特征, 需拟合为一个峰而非3个峰)的压力依赖性[95]
Fig. 16. (a) A sketch map for the PL emission color and sample color change of FL-CN; (b) The normalized PL spectra of FL-CN at selected pressures; (c) the pressure-dependent chromaticity coordinates of the emissions; (d) the dependence of PL energy at selected pressures (one peak instead of three is necessary to fit the experimental data for the broad features of PL spectra after 3 GPa)[95]
图 17 (a) 不同压力下 FL-CN 的代表性同步辐射XRD图谱; (b) 选定压力下 FL-CN、石墨和少层石墨烯的c/c0; (c) (100)衍射的压力依赖性[95]
Fig. 17. (a) Representative synchrotron XRD patterns of FL-CN at different pressures; (b) the c/c0 of FL-CN, graphite, and few-layer graphene at selected pressures; (c) pressure dependence of the (100) diffraction peak[95].
图 18 (a) 在发生 h-BN向w-BN 转变的压力范围内, 加压测量中记录的 BN 样品在几个压力下的红外透射光谱; (b) 在相变发生的压力范围内, 另一个 BN 样品在几个压力下的反射光谱[105]; (c), (d) 两条不同缺陷发射线的压力依赖性; (e) 在0.5—3.5 GPa压力范围内, 9个典型缺陷的发射线PL峰值能量随压力的函数关系, 右列中的数字代表相应的压力系数; (f) 压力系数负值绝对值低于2 meV/GPa的缺陷发射线随压力的变化[106]
Fig. 18. (a) IR transmission spectra of a BN sample recorded in the upstroke measurement at several pressures over the range where the h-BN to w-BN transition takes place; (b) reflectance spectra of a different BN sample at several pressures over the pressure range where the phase transition occurs[105]; (c), (d) pressure-dependence of PL spectra for two defect emission lines; (e) PL peak energy as a function of pressure for the emission lines from 9 typical defects between 0.5 and 3.5 GPa; (f) pressure evolution of defect emission lines whose pressure coefficients exhibit negative values with absolute magnitudes less than 2 meV/GPa[106].
-
[1] Novoselov K S, Geim A K, Morozov S V, Jiang D, Zhang Y, Dubonos S V, Grigorieva I V, Firsov A A 2004 Science 306 666
Google Scholar
[2] Huang X, Zeng Z Y, Fan Z X, Liu J Q, Zhang H 2013 Chem. Soc. Rev. 44 1934
Google Scholar
[3] Kannan P K, Late D J, Morgan H, Rout C S 2015 Nanoscale 7 13293
Google Scholar
[4] Sun Y F, Gao S, Lei F C, Xie Y 2014 Chem. Soc. Rev. 44 623
Google Scholar
[5] Novoselov K S, Mishchenko A, Carvalho A, Neto A H C 2016 Science 353 aac9439
Google Scholar
[6] Chow W L, Yu P, Liu F C, Hong J H, Wang X L, Zeng Q S, Hsu C, Zhu C, Zhou J D, Wang X W, Xia J, Yan J X, Chen Y, Wu D, Yu T, Zheng Z X, Lin H, Jin C H, Tay B K, Liu Z 2017 Adv. Mater. 29 1602969
Google Scholar
[7] Mao H K, Chen B, Chen J, Li K, Lin J F, Yang W G, Zheng H 2016 Matter Radiat. Extrems 1 59
Google Scholar
[8] Mao H K, Xu J, Bell P M 1986 J. Geophys. Res. Atmos. 91 4673
Google Scholar
[9] 郑海飞 2015 金刚石压腔高温高压实验技术及其应用 (北京: 科学出版社) 第78—88页
Zheng H F 2015 Diamond Anvil Cell High-Pressure and High-Temperature Experimental Techniques and Their Applications (Beijing: Science Press) pp78–88
[10] Zheng J, Zhang H, Dong S H, Liu Y P, Nai C T, Shin H S, Jeong H Y, Liu B, Loh K P 2014 Nat. Commun. 5 2995
Google Scholar
[11] Gu L, Liu S, Zhao H C, Yu H B 2015 ACS Appl. Mater. Interfaces 7 17641
Google Scholar
[12] Clark S M, Jeon K J, Chen J Y, Yoo C S 2012 Solid State Commun. 154 15
Google Scholar
[13] Ke F, Zhang L K, Chen Y B, Yin K T, Wang C X, Tzeng Y K, Lin Y, Dong H L, Liu Z X, Tse J S, Mao W L, Wu J Q, Chen B 2020 Nano Lett. 20 5916
Google Scholar
[14] Mak K F, Shan J, Heinz T F 2011 Phys. Rev. Lett. 106 046401
Google Scholar
[15] Carr S, Fang S, Jarillo-Herrero P, Kaxiras E 2018 Phys. Rev. B 98 085144
Google Scholar
[16] Ke F, Chen Y B, Yin K T, Yan J J, Zhang H Z, Liu Z X, Tse J S, Wu J Q, Mao H K, Chen B 2019 Proc. Natl. Acad. Sci. USA. 116 9186
Google Scholar
[17] Luo B C, Wu L W, Li D, Zhang Z L, Yu X C, Li G W, Song H Z 2022 Carbon 196 146
Google Scholar
[18] Akinwande D, Huyghebaert C, Wang C H, Serna M I, Goossens S, Li L J, Wong H S P, Koppens F H L 2019 Nature 573 507
Google Scholar
[19] Novoselov K S, Jiang D, Schedin F, Booth T J, Khotkevich V V, Morozov S V, Geim A K 2005 Proc. Natl. Acad. Sci. USA. 102 10451
Google Scholar
[20] Mak K F, Lee C, Hone J, Shan J, Heinz T F 2010 Phys. Rev. Lett. 105 136805
Google Scholar
[21] Splendiani A, Sun L, Zhang Y, Li T, Kim J, Chim C Y, Galli G, Wang F 2010 Nano Lett. 10 1271
Google Scholar
[22] Xiao D, Liu G B, Feng W X, Xu X D, Yao W 2012 Phys. Rev. Lett. 108 196802
Google Scholar
[23] Tanwar S, Arya A, Gaur A, Sharma A L 2021 J. Phys. Condens. Matter 33 303002
Google Scholar
[24] Cheng X R, Li Y Y, Shang J M, Hu C S, Ren Y F, Liu M, Qi Z M 2017 Nano Res. 11 855
Google Scholar
[25] Chi Z H, Zhao X M, Zhang H, Goncharov A F, Lobanov S S, Kagayama T, Sakata M, Chen X J 2014 Phys. Rev. Lett. 113 036802
Google Scholar
[26] Tosatti E, Hromadova L, Martoňák R 2013 Bull. Am. Phys. Soc. 87 144105
Google Scholar
[27] Fan X F, Singh D J, Jiang Q, Zheng W T 2016 Phys. Chem. Chem. Phys. 18 12080
Google Scholar
[28] Wang S M, Zhang J Z, He D W, Zhang Y, Wang L P, Xu H W, Wen X D, Ge H, Zhao Y S 2013 J. Phys. Chem. Solids 75 100
Google Scholar
[29] Bhattacharyya S, Singh A K 2012 Phys. Rev. B 86 075454
Google Scholar
[30] Nayak A P, Pandey T, Voiry D, Liu J, Moran S T, Sharma A, Tan C, Chen C H, Li L J, Chhowalla M, Lin J F, Singh A K, Akinwande D 2014 Nano Lett. 15 346
Google Scholar
[31] Zhou Y H, Chen X L, Li N N, Zhang R R, Wang X F, An C, Zhou Y, Pan X C, Song F Q, Wang B G, Yang W G, Yang Z R, Zhang Y H 2016 AIP Adv. 6 075008
Google Scholar
[32] Zhou D W, Zhou Y H, Pu C Y, Chen X L, Lu P C, Wang X F, An C, Zhou Y, Miao F, Ho C H, Sun J, Yang Z R, Xing D Y 2017 NPJ Quantum Mater. 2 19
Google Scholar
[33] Yan Y L, Jin C L, Wang J, Qin T R, Li F F, Wang K, Han Y H, Gao C X 2017 J. Phys. Chem. Lett. 8 3648
Google Scholar
[34] Fu L, Wan Y, Tang N, Ding Y M, Gao J, Yu J C, Guan H M, Zhang K, Wang W Y, Zhang C F, Shi J J, Wu X, Shi S F, Ge W K, Dai L, Shen B 2017 Sci. Adv. 3 e1700162
Google Scholar
[35] Gong Y, Zhou Q, Huang X, Han B, Fu X, Gao H, Li F, Cui T 2017 Chem. NanoMat. 3 238
(in Chinese)
Google Scholar
[36] Oliva R, Laurien M, Dybala F, Kopaczek J, Qin Y, Tongay S, Rubel O, Kudrawiec R 2019 NPJ 2D Mater. Appl. 3 20
Google Scholar
[37] Lorchat E, Froehlicher G, Berciaud S 2016 ACS Nano 10 2752
Google Scholar
[38] Hou D B, Ma Y Z, Du J G, Yan J Y, Ji C, Zhu H Y 2010 J. Phys. Chem. Solids 71 1571
Google Scholar
[39] Kao Y C, Huang T, Lin D Y, Huang Y S, Tiong K K, Lee H Y, Lin J M, Sheu H S, Lin C M 2012 J. Chem. Phys. 137 024509
Google Scholar
[40] Nayak A P, Bhattacharyya S, Zhu J, Liu J, Wu X, Pandey T, Jin C, Singh A K, Akinwande D, Lin J F 2014 Nat. Commun. 5 3731
Google Scholar
[41] Jiang F Y, Yang D W, Jiang Y Y, Liu T F, Zhao X G, Ming Y, Luo B W, Qin F, Fan J C, Han H W, Zhang L J, Zhou Y H 2017 J. Am. Chem. Soc. 140 1019
Google Scholar
[42] Zhang F, Zhang H Y, Zhu L J, Qin L, Wang Y G, Hu Y F, Lou Z D, Hou Y B, Teng F 2019 J. Mater. Chem. C 7 4004
Google Scholar
[43] Li L N, Sun Z H, Wang P, Hu W D, Wang S S, Ji C M, Hong M C, Luo J H 2017 Angew. Chem. Int. Ed. 56 12150
Google Scholar
[44] Xu Y K, Wang M, Lei Y T, Ci Z P, Jin Z W 2020 Adv. Energy Mater. 10 2002558
Google Scholar
[45] Liu G, Gong J, Kong L P, Schaller R D, Hu Q Y, Liu Z X, Yan S, Yang W G, Stoumpos C C, Kanatzidis M G, Mao H K, Xu T 2018 Proc. Natl. Acad. Sci. USA. 115 8076
Google Scholar
[46] Capitani F, Marini C, Caramazza S, Postorino P, Garbarino G, Hanfland M, Pisanu A, Quadrelli P, Malavasi L 2016 J. Appl. Phys. 119 185901
Google Scholar
[47] Liu G, Kong L P, Gong J, Yang W G, Mao H K, Hu Q Y, Liu Z X, Schaller R D, Zhang D Z, Xu T 2016 Adv. Funct. Mater. 27 1604208
Google Scholar
[48] Ou T, Yan J, Xiao C, Shen W, Liu C, Liu X, Han Y, Ma Y, Gao C 2016 Nanoscale 8 11426
Google Scholar
[49] Jaffe A, Lin Y, Mao W L, Karunadasa H I 2017 J. Am. Chem. Soc. 139 4330
Google Scholar
[50] Yu P Y, Welber B 1978 Solid State Commun. 25 209
Google Scholar
[51] Mujica A, Rubio A, Muñoz A, Needs R J 2003 Rev. Mod. Phys. 75 863
Google Scholar
[52] Yuan Y, Liu X, Ma X, Wang X, Li X, Xiao J, Li X, Zhang H, Wang L 2019 Adv. Sci. 6 1900240
Google Scholar
[53] Jaffe A, Lin Y, Mao W L, Karunadasa H I 2015 J. Am. Chem. Soc. 137 1673
Google Scholar
[54] Liu G, Kong L P, Guo P J, Stoumpos C C, Hu Q Y, Liu Z X, Cai Z H, Gosztola D J, Mao H K, Kanatzidis M G, Schaller R D 2017 ACS Energy Lett. 2 2518
Google Scholar
[55] Kong L P, Liu G, Gong J, Hu Q Y, Schaller R D, Dera P, Zhang D Z, Liu Z X, Yang W G, Zhu K, Tang Y Z, Wang C Y, Wei S H, Xu T, Mao H K 2016 Proc. Natl. Acad. Sci. USA. 113 8910
Google Scholar
[56] Kong L P, Liu G, Gong J, Mao L L, Chen M T, Hu Q Y, Lü X J, Yang W G, Kanatzidis M G, Mao H K 2020 Proc. Natl. Acad. Sci. USA. 117 16121
Google Scholar
[57] Kong L P, Gong J, Spanopoulos I, Yan S, Li Z Y, Zhu Z K, Liu X Y, Zhu Y N, Dong H L, Shu H Y, Hu Q Y, Yang W G, Mao H K, Kanatzidis M G, Liu G 2024 Adv. Funct. Mater. 34 2414437
Google Scholar
[58] Kong L P, Gong J, Hu Q Y, Capitani F, Celeste A, Hattori T, Sano-Furukawa A, Li N N, Yang W G, Liu G, Mao H K 2020 Adv. Funct. Mater. 31 2009131
Google Scholar
[59] Yin T T, Liu B, Yan J X, Fang Y N, Chen M H, Chong W K, Jiang S J, Kuo J L, Fang J Y, Liang P, Wei S H, Loh K P, Sum T C, White T J, Shen Z X 2018 J. Am. Chem. Soc. 141 1235
Google Scholar
[60] Fang Y, Wang J, Zhang L, Niu G, Sui L, Wu G, Yuan K, Wang K, Zou B 2023 Chem. Sci. 14 2652
Google Scholar
[61] Li X F, Wang S S, Zhao S G, Li L N, Li Y Q, Zhao B Q, Shen Y G, Wu Z Y, Shan P, Luo J H 2018 Chem. Eur. J. 24 9243
Google Scholar
[62] Duan D W, Ge C Y, Rahaman M Z, Lin C H, Shi Y M, Lin H R, Hu H L, Wu T 2023 NPG Asia Mater. 15 8
Google Scholar
[63] Wang Y Q, Guo S H, Luo H, Zhou C K, Lin H R, Ma X D, Hu Q Y, Du M H, Ma B W, Yang W G, Lü X J 2020 J. Am. Chem. Soc. 142 16001
Google Scholar
[64] Wang S S, Yao Y P, Wu Z Y, Peng Y, Li L N, Luo J H 2018 J. Mater. Chem. C 6 12267
Google Scholar
[65] Cheng X W, Xie Z, Zheng W, Li R F, Deng Z H, Tu D T, Shang X Y, Xu J, Gong Z L, Li X J, Chen X Y 2022 Adv. Sci. 9 2103724
Google Scholar
[66] Meng X, Ji S J, Wang Q J, Wang X C, Bai T X, Zhang R L, Yang B, Li Y M, Shao Z P, Jiang J K, Han K L, Liu F 2022 Adv. Sci. 9 2203596
Google Scholar
[67] Luo H, Guo S H, Zhang Y B, Bu K J, Lin H R, Wang Y G, Yin Y F, Zhang D Z, Jin S Y, Zhang W Q, Yang W G, Ma B W, Lü X J 2021 Adv. Sci. 8 2100786
Google Scholar
[68] Ratté J, Macintosh M F, DiLoreto L, Liu J, Mihalyi-Koch W, Hautzinger M P, Guzei I A, Dong Z, Jin S, Song Y 2023 J. Phys. Chem. Lett. 14 403
Google Scholar
[69] Guo S H, Zhao Y S, Bu K J, Fu Y P, Luo H, Chen M T, Hautzinger M P, Wang Y G, Jin S, Yang W G, Lü X J 2020 Angew. Chem. Int. Ed. 59 17533
Google Scholar
[70] Ma Z W, Liu Z, Lu S Y, Wang L R, Feng X L, Yang D W, Wang K, Xiao G J, Zhang L J, Redfern S A T, Zou B 2018 Nat. Commun. 9 4506
Google Scholar
[71] Liu S, Sun S S, Gan C K, Del Águila A G, Fang Y N, Xing J, Ha T T DO, White T J, Li H G, Huang W, Xiong Q 2019 Sci. Adv. 5 eaav9445
Google Scholar
[72] Zhang L, Liu C M, Wang L R, Liu C L, Wang K, Zou B 2018 Angew. Chem. Int. Ed. 57 11213
Google Scholar
[73] Li M, Liu T B, Wang Y G, Yang W G, Lü X J 2020 Matter Radiat. Extrems 5 018201
Google Scholar
[74] Fang Y Y, Zhang L, Wu L W, Yan J J, Lin Y, Wang K, Mao W L, Zou B 2019 Angew. Chem. Int. Ed. 58 15249
Google Scholar
[75] Mao L L, Wu Y L, Stoumpos C C, Wasielewski M R, Kanatzidis M G 2017 J. Am. Chem. Soc. 139 5210
Google Scholar
[76] Szafrański M, Katrusiak A 2016 J. Phys. Chem. Lett. 7 3458
Google Scholar
[77] Wang Y G, Lü X J, Yang W G, Wen T, Yang L X, Ren X T, Wang L, Lin Z S, Zhao Y S 2015 J. Am. Chem. Soc. 137 11144
Google Scholar
[78] Lü X J, Wang Y G, Stoumpos C C, Hu Q, Guo X, Chen H, Yang L, Smith J S, Yang W, Zhao Y, Xu H, Kanatzidis M G, Jia Q 2016 Adv. Mater. 28 8663
Google Scholar
[79] Li Q, Wang Y G, Pan W C, Yang W G, Zou B, Tang J, Quan Z W 2017 Angew. Chem. Int. Ed. 56 15969
Google Scholar
[80] Cui H, Zhang H F, Xu S, Cheng L Y, Tao H H, Wang L R, Pan G C, You W W, Mao Y L 2025 Appl. Phys. Lett. 126 173101
Google Scholar
[81] Chen Y P, Fu R J, Wang L R, Ma Z W, Xiao G J, Wang K, Zou B 2019 J. Mater. Chem. A 7 6357
Google Scholar
[82] Guo S H, Bu K J, Li J W, Hu Q Y, Luo H, He Y H, Wu Y H, Zhang DZ, Zhao Y S, Yang W G, Kanatzidis M G, Lü X J 2021 J. Am. Chem. Soc. 143 2545
Google Scholar
[83] Miyata A, Mitioglu A, Plochocka P, Portugall O, Wang J T W, Stranks S D, Snaith H J, Nicholas R J 2015 Nat. Phys. 11 582
Google Scholar
[84] Li S R, Luo J J, Liu J, Tang J 2019 J. Phys. Chem. Lett. 10 1999
Google Scholar
[85] Yuan M J, Quan L N, Comin R, Walters G, Sabatini R, Voznyy O, Hoogland S, Zhao Y, Beauregard E M, Kanjanaboos P, Lu Z, Kim D H, Sargent E H 2016 Nat. Nanotechnol. 11 872
Google Scholar
[86] Anasori B, Lukatskaya M R, Gogotsi Y 2017 Nat. Rev. Mater. 2 16098
Google Scholar
[87] Lv J C, Jia H S, Chen G B, Wang Y X, Liu M, Ning Y Y, Wang Y J, Yuan L, Lu M, Zhang J K 2022 ACS Appl. Mater. Interfaces 14 46056
Google Scholar
[88] Zhang J K, Zhang Y L, Wu X X, Ma Y Z, Chien S Y, Guan R Q, Zhang D Z, Yang B, Yan B M, Yang J H 2018 ACS Appl. Mater. Interfaces 10 42856
Google Scholar
[89] Wang Y F, Xu Y H, Hu M L, Ling H, Zhu X 2020 Nanophotonics 9 1601
Google Scholar
[90] Li X H, Li S S, Cui H L, Zhang R Z 2020 ACS Omega 5 22248
Google Scholar
[91] Shivani V, Sriram S 2025 Diamond Relat. Mater. 154 112192
Google Scholar
[92] Ye C Q, Liu M Z 2022 J. Mol. Model. 28 40
Google Scholar
[93] Yang J H, Wu X T, Li X F, Liu Y, Gao M, Liu X Y, Kong L N, Yang S Y 2011 Appl. Phys. A 105 161
Google Scholar
[94] Li Y A, Zhang J, Wang Q S, Jin Y X, Huang D H, Cui Q L, Zou G T 2010 J. Phys. Chem. B 114 9429
Google Scholar
[95] Hu K, Yao M G, Yang Z X, Xiao G J, Zhu L Y, Zhang H, Liu R, Zou B, Liu B B 2020 Nanoscale 12 12300
Google Scholar
[96] Ruan L W, Zhu Y J, Qiu L G, Yuan Y P, Lu Y X 2014 Comput. Mater. Sci. 91 258
Google Scholar
[97] Zhou J Z, Zhu M Y, Han Y, Zhou X F, Wang S M, Chen J Z, Wu H, Hou Y, Lu Y 2024 J. Appl. Phys. 135 224301
Google Scholar
[98] Wickramaratne D, Weston L, Van De Walle C G 2018 J. Phys. Chem. C 122 25524
Google Scholar
[99] Cai Q, Scullion D, Gan W, Falin A, Zhang S, Watanabe K, Taniguchi T, Chen Y, Santos E J G, Li L H 2019 Sci. Adv. 5 eaav0129
Google Scholar
[100] Yeol K MA, Zhang L, Jin S, Wang Y, Yoon S I, Hwang H, Oh J, Jeong D S, Wang M, Chatterjee S, Kim G, Jang A R, Yang J, Ryu S, Jeong H Y, Ruoff R S, Chhowalla M, Ding F, Shin H S 2022 Nature 606 88
Google Scholar
[101] Chang H Y, Yang S, Lee J, Tao L, Hwang W S, Jena D, Lu N, Akinwande D 2013 ACS Nano 7 5446
Google Scholar
[102] Lee G H, Cui X, Kim Y D, Arefe G, Zhang X, Lee C H, Ye F, Watanabe K, Taniguchi T, Kim P, Hone J 2015 ACS Nano 9 7019
Google Scholar
[103] Britnell L, Gorbachev R V, Geim A K, Ponomarenko L A, Mishchenko A, Greenaway M T, Fromhold T M, Novoselov K S, Eaves L 2013 Nat. Commun. 4 1794
Google Scholar
[104] Britnell L, Gorbachev R V, Jalil R, Belle B D, Schedin F, Katsnelson M I, Eaves L, Morozov S V, Mayorov A S, Peres N M R, Neto A H C, Leist J, Geim A K, Ponomarenko L A, Novoselov K S 2012 Nano Lett. 12 1707
Google Scholar
[105] Segura A, Cuscó R, Taniguchi T, Watanabe K, Cassabois G, Gil B, Artús L 2019 J. Phys. Chem. C 123 20167
Google Scholar
[106] Xue Y Z, Wang H, Tan Q H, Zhang J, Yu T J, Ding K, Jiang D S, Dou X M, Shi J J, Sun B Q 2018 ACS Nano 12 7127
Google Scholar
[107] Akamaru H, Onodera A, Endo T, Mishima O 2002 J. Phys. Chem. Solids 63 887
Google Scholar
计量
- 文章访问数: 2452
- PDF下载量: 58
- 被引次数: 0








下载: