-
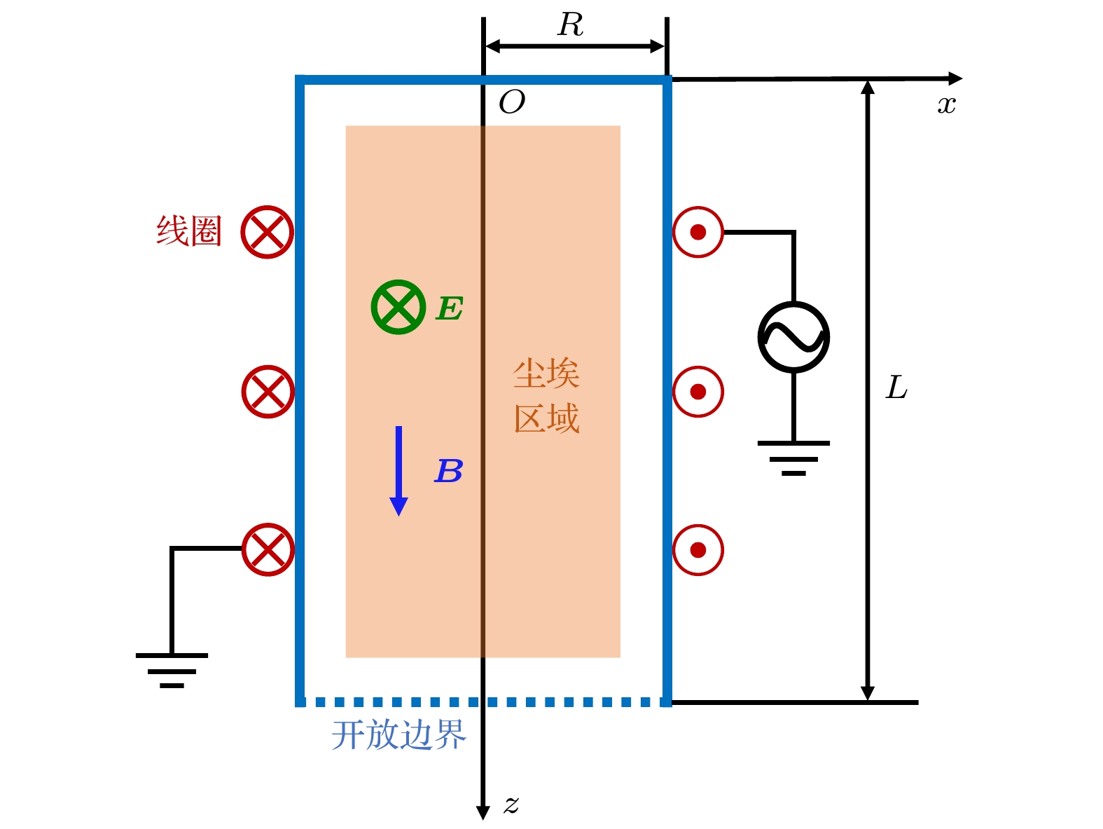
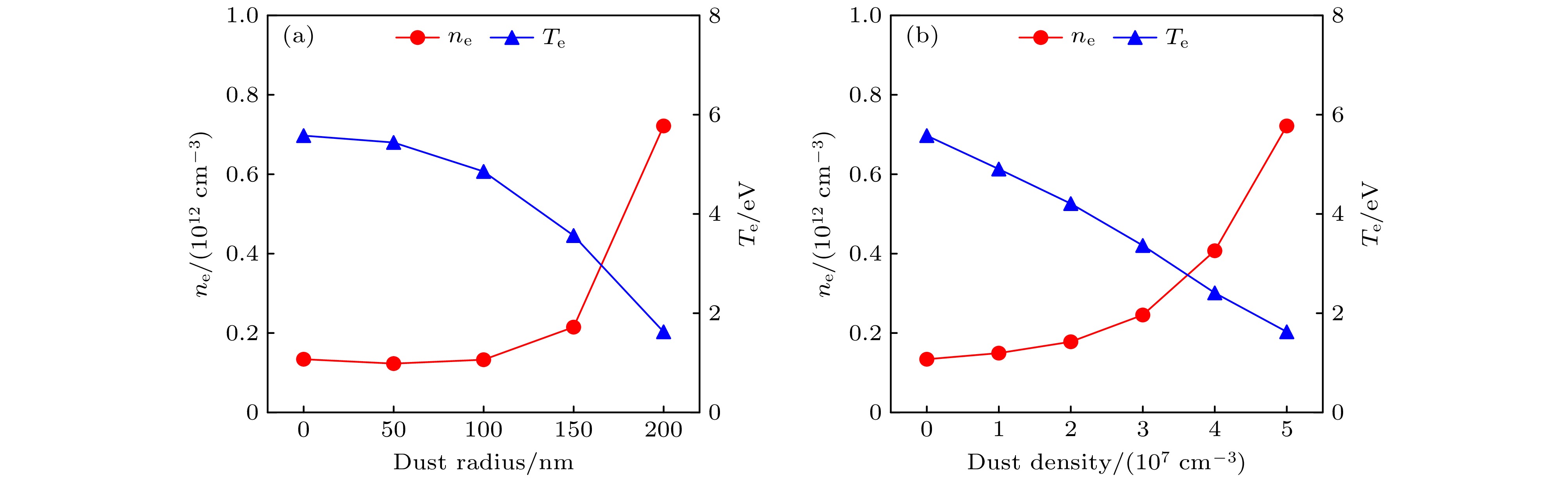
低气压射频感性放电可以产生更均匀的单分散颗粒和等离子体, 因此常被用于纳米器件制造中. 纳米器件制造需要产生纳米到亚微米尺度的颗粒. 由于其通常带负电荷, 会显著影响等离子体的放电特性. 本文主要研究了尘埃颗粒的尺度和密度对低气压感性耦合等离子体中电子反弹共振加热效应以及基本等离子体性质的影响. 模拟结果表明, 随着颗粒半径或密度的增大, 在电子能量概率函数中以形成平台为特征的反弹共振加热效应逐渐受到抑制并最终消失, 导致电子温度下降、电子密度上升、颗粒表面电势增大, 而颗粒带电量随着颗粒密度的增大而减小, 随着颗粒半径的增大呈现非单调变化. 本研究指出, 由于颗粒存在引发的高能电子的损失可能会为低缺陷、单分散纳米颗粒的生长创造更有利的环境. 颗粒质量的提升对降低纳米器件中的陷阱密度以及增强其电学性能具有重要意义.Low-pressure radio-frequency inductively coupled discharges can produce uniformly distributed monodisperse particles and plasma, making them widely used in nanodevice fabrication. The manufacturing of nanodevices typically requires the generation of particles ranging from nanometer to submicron scales. These particles usually carry negative charges and can significantly influence the discharge characteristics of the plasma. This study investigates the effects of particle size and density on electron bounce resonance heating (BRH) and fundamental plasma properties in low-pressure inductively coupled plasmas (ICPs) by using a hybrid model. The hybrid model consists of kinetic equation, electromagnetic field equation, and global model equation. The simulation results show that as the dust radius or density increases, the BRH effect characterized by the formation of a plateau in the probability function of electron energy, is gradually suppressed and eventually disappears, accompanied by a decrease in electron temperature, an increase in electron density, and an increase in particle surface potential. The dust charge decreases with the increase of particle density, while exhibiting a nonmonotonic variation with particle radius. The results show that the loss of high-energy electrons caused by the dust particles may create a more favorable plasma environment for the growth of monodisperse nanoparticles with low defects. Such an improvement in particle quality is crucial for reducing trap densities and enhancing the electrical performance of nanoparticle-based electronic devices.
-
Keywords:
- radio frequency plasma /
- dust plasma /
- non-locality /
- electron kinetics
[1] Fortov V E, Ivlev A V, Khrapak S A, Khrapak A G, Morfill G E 2005 Phys. Rep. 421 1
Google Scholar
[2] Merlino R L, Goree J A 2004 Phys. Today 57 32
[3] Beckers J, Berndt J, Block D, Bonitz M, Bruggeman P J, Couëdel L, Delzanno G L, Feng Y, Gopalakrishnan R, Greiner F, Hartmann P, Horányi M, Kersten H, Knapek C A, Konopka U, Kortshagen U, Kostadinova E G, Kovačević E, Krasheninnikov S I, Mann I, Mariotti D, Matthews L S, Melzer A, Mikikian M, Nosenko V, Pustylnik M Y, Ratynskaia S, Sankaran R M, Schneider V, Thimsen E J, Thomas E, Thomas H M, Tolias P, Van De Kerkhof M 2023 Phys. Plasmas 30 120601
Google Scholar
[4] Morfill G E, Ivlev A V 2009 Rev. Mod. Phys. 81 1353
Google Scholar
[5] De La Cal E, Martín A, Carralero D, De Pablos J L, Pedrosa M A, Shoji M, Hidalgo C, the TJ-II Team 2013 Phys. Control. Fusion 55 065001
Google Scholar
[6] Boufendi L, Bouchoule A 2002 Plasma Sources Sci. Technol. 11 A211
Google Scholar
[7] Vladimirov S V, Ostrikov K 2004 Phys. Rep. 393 175
Google Scholar
[8] Shukla P K, Eliasson B 2009 Rev. Mod. Phys. 81 25
Google Scholar
[9] Kersten H, Deutsch H, Stoffels E, Stoffels W W, Kroesen G M W, Hippler R 2001 Contrib. Plasma Phys. 41 598
Google Scholar
[10] 杜诚然, 冯岩, 王晓钢 2022 载人航天 28 323
Du C R, Feng Y, Wang X G 2022 Manned Spaceflight 28 323
[11] 杨唯, 王垚楠, 梁颖悦, 黄晓江, 周鸿颖, 郭颖, 张菁, 冯岩, 王晓钢, 张立宪, 杜诚然 2025 中国科学: 物理学 力学 天文学 55 105206
Google Scholar
Yang W, Wang Y N, Liang Y Y, Huang X J, Zhou H Y, Guo Y, Zhang J, Feng Y, Wang X G, Zhang L X, Du C R 2025 Sci. Sin. Phys. Mech. Astron. 55 105206
Google Scholar
[12] Chu J H, Lin I 1994 Phys. Rev. Lett. 72 4009
Google Scholar
[13] Thomas H, Morfill G E, Demmel V, Goree J, Feuerbacher B, Möhlmann D 1994 Phys. Rev. Lett. 73 652
Google Scholar
[14] Liu B, Goree J, Feng Y 2010 Phys. Rev. Lett. 105 085004
Google Scholar
[15] Du C R, Nosenko V, Thomas H M, Lin Y F, Morfill G E, Ivlev A V 2019 Phys. Rev. Lett. 123 185002
Google Scholar
[16] Nunomura S, Zhdanov S, Samsonov D, Morfill G 2005 Phys. Rev. Lett. 94 045001
Google Scholar
[17] Teng L W, Chang M C, Tseng Y P, I L 2009 Phys. Rev. Lett. 103 245005
Google Scholar
[18] Couëdel L, Nosenko V, Ivlev A V, Zhdanov S K, Thomas H M, Morfill G E 2010 Phys. Rev. Lett. 104 195001
Google Scholar
[19] Huang H, Ivlev A V, Nosenko V, Yang W, Du C R 2023 Phys. Rev. E 107 045205
Google Scholar
[20] Huang D, Baggioli M, Lu S Y, Ma Z, Feng Y 2023 Phys. Rev. Res. 5 013149
Google Scholar
[21] Killer C, Bockwoldt T, Schütt S, Himpel M, Melzer A, Piel A 2016 Phys. Rev. Lett. 116 115002
Google Scholar
[22] Wysocki A, Räth C, Ivlev A V, Sütterlin K R, Thomas H M, Khrapak S, Zhdanov S, Fortov V E, Lipaev A M, Molotkov V I, Petrov O F, Löwen H, Morfill G E 2010 Phys. Rev. Lett. 105 045001
Google Scholar
[23] Ivlev A V, Zhdanov S K, Thomas H M, Morfill G E 2009 Europhys. Lett. 85 45001
Google Scholar
[24] Winter J 2000 Phys. Plasmas 7 3862
Google Scholar
[25] Pigarov A Yu, Krasheninnikov S I, Soboleva T K, Rognlien T D 2005 Phys. Plasmas 12 122508
Google Scholar
[26] Smirnov R D, Pigarov A Y, Rosenberg M, Krasheninnikov S I, Mendis D A 2007 Plasma Phys. Control. Fusion 49 347
Google Scholar
[27] Kokura H, Yoneda S, Nakamura K, Mitsuhira N, Nakamura M, Sugai H 1999 Jpn. J. Appl. Phys. 38 5256
Google Scholar
[28] Raha D, Das D 2013 Appl. Surf. Sci. 276 249
Google Scholar
[29] Cheng Q, Xu S, Long J D, Ni Z H, Rider A E, Ostrikov K 2008 J. Phys. D: Appl. Phys. 41 055406
Google Scholar
[30] Bapat A, Perrey C R, Campbell S A, Barry Carter C, Kortshagen U 2003 J. Appl. Phys. 94 1969
Google Scholar
[31] Shen Z, Kortshagen U, Campbell S A 2004 J. Appl. Phys. 96 2204
Google Scholar
[32] Shen Z, Kim T, Kortshagen U, McMurry P H, Campbell S A 2003 J. Appl. Phys. 94 2277
Google Scholar
[33] Denysenko I B, Kersten H, Azarenkov N A 2015 Phys. Rev. E 92 033102
Google Scholar
[34] Wang D Z, Dong J Q 1997 J. Appl. Phys. 81 38
Google Scholar
[35] Denysenko I, Yu M Y, Ostrikov K, Smolyakov A 2004 Phys. Rev. E 70 046403
Google Scholar
[36] Czarnetzki U, Alves L L 2022 Mod. Plasma Phys. 6 31
Google Scholar
[37] Gu S, Kang H J, Kwon D C, Kim Y S, Chang Y M, Chung C W 2016 Phys. Plasmas 23 063506
Google Scholar
[38] Kolobov V, Godyak V 2019 Phys. Plasmas 26 060601
Google Scholar
[39] Liu Y X, Zhang Q Z, Jiang W, Hou L J, Jiang X Z, Lu W Q, Wang Y N 2011 Phys. Rev. Lett. 107 055002
Google Scholar
[40] Chung C W, You K I, Seo S H, Kim S S, Chang H Y 2001 Phys. Plasmas 8 2992
Google Scholar
[41] 张钰如, 高飞, 王友年 2021 70 095206
Google Scholar
Zhang Y R, Gao F, Wang Y N 2021 Acta Phys. Sin. 70 095206
Google Scholar
[42] Jia W Z, Zhang Q Z, Wang X F, Song Y H, Zhang Y Y, Wang Y N 2019 J. Phys. D: Appl. Phys. 52 015206
Google Scholar
[43] De Bleecker K, Bogaerts A, Goedheer W 2004 Phys. Rev. E 70 056407
Google Scholar
[44] Boeuf J P 1992 Phys. Rev. A 46 7910
Google Scholar
[45] Alexandrov A L, Schweigert I V, Peeters F M 2008 New J. Phys. 10 093025
Google Scholar
[46] Wen H, Schulze J, Fu Y, Sun J Y, Zhang Q Z 2025 Plasma Sources Sci. Technol. 34 03LT01
Google Scholar
[47] Fu C C, Dong Y C, Li Y F, Wang W Z, Wang Z H, Liu W 2024 J. Phys. D: Appl. Phys. 57 135201
Google Scholar
[48] Liu Y X, Zhang Q Z, Zhao K, Zhang Y R, Gao F, Song Y H, Wang Y N 2022 Chin. Phys. B 31 085202
Google Scholar
[49] Li S, Rabadanov K M, Bogdanov E A, Kudryavtsev A A, Ashurbekov N A, Yuan C, Zhou Z 2021 Plasma Sources Sci. Technol. 30 047001
Google Scholar
[50] Liang Y G, Wang Y, Li H, Tian R H, Yuan C X, Kudryavtsev A A, Rabadanov K M, Wu J, Zhou Z X, Tian H 2018 Phys. Plasmas 25 053702
Google Scholar
[51] Fedoseev A V, Demin N A, Salnikov M V, Sukhinin G I 2019 Contrib. Plasma Phys. 59 e201800181
Google Scholar
[52] Yang W, Wang Y N 2021 Plasma Phys. Control. Fusion 63 035031
Google Scholar
[53] DiPeso G, Vahedi V, Hewett D W, Rognlien T D 1994 J. Vac. Sci. Technol. A 12 1387
Google Scholar
[54] Belenguer Ph, Blondeau J Ph, Boufendi L, Toogood M, Plain A, Bouchoule A, Laure C, Boeuf J P 1992 Phys. Rev. A 46 7923
Google Scholar
[55] Yang W, Gao F, Wang Y N 2022 Plasma Sci. Technol. 24 055401
Google Scholar
[56] Yang W, Gao F, Wang Y N 2022 Phys. Plasmas 29 063503
Google Scholar
[57] Allen J E 1992 Phys. Scr. 45 497
Google Scholar
[58] Wood B P, Lieberman M A, Lichtenberg A J 1995 IEEE Trans. Plasma Sci. 23 89
Google Scholar
-
-
[1] Fortov V E, Ivlev A V, Khrapak S A, Khrapak A G, Morfill G E 2005 Phys. Rep. 421 1
Google Scholar
[2] Merlino R L, Goree J A 2004 Phys. Today 57 32
[3] Beckers J, Berndt J, Block D, Bonitz M, Bruggeman P J, Couëdel L, Delzanno G L, Feng Y, Gopalakrishnan R, Greiner F, Hartmann P, Horányi M, Kersten H, Knapek C A, Konopka U, Kortshagen U, Kostadinova E G, Kovačević E, Krasheninnikov S I, Mann I, Mariotti D, Matthews L S, Melzer A, Mikikian M, Nosenko V, Pustylnik M Y, Ratynskaia S, Sankaran R M, Schneider V, Thimsen E J, Thomas E, Thomas H M, Tolias P, Van De Kerkhof M 2023 Phys. Plasmas 30 120601
Google Scholar
[4] Morfill G E, Ivlev A V 2009 Rev. Mod. Phys. 81 1353
Google Scholar
[5] De La Cal E, Martín A, Carralero D, De Pablos J L, Pedrosa M A, Shoji M, Hidalgo C, the TJ-II Team 2013 Phys. Control. Fusion 55 065001
Google Scholar
[6] Boufendi L, Bouchoule A 2002 Plasma Sources Sci. Technol. 11 A211
Google Scholar
[7] Vladimirov S V, Ostrikov K 2004 Phys. Rep. 393 175
Google Scholar
[8] Shukla P K, Eliasson B 2009 Rev. Mod. Phys. 81 25
Google Scholar
[9] Kersten H, Deutsch H, Stoffels E, Stoffels W W, Kroesen G M W, Hippler R 2001 Contrib. Plasma Phys. 41 598
Google Scholar
[10] 杜诚然, 冯岩, 王晓钢 2022 载人航天 28 323
Du C R, Feng Y, Wang X G 2022 Manned Spaceflight 28 323
[11] 杨唯, 王垚楠, 梁颖悦, 黄晓江, 周鸿颖, 郭颖, 张菁, 冯岩, 王晓钢, 张立宪, 杜诚然 2025 中国科学: 物理学 力学 天文学 55 105206
Google Scholar
Yang W, Wang Y N, Liang Y Y, Huang X J, Zhou H Y, Guo Y, Zhang J, Feng Y, Wang X G, Zhang L X, Du C R 2025 Sci. Sin. Phys. Mech. Astron. 55 105206
Google Scholar
[12] Chu J H, Lin I 1994 Phys. Rev. Lett. 72 4009
Google Scholar
[13] Thomas H, Morfill G E, Demmel V, Goree J, Feuerbacher B, Möhlmann D 1994 Phys. Rev. Lett. 73 652
Google Scholar
[14] Liu B, Goree J, Feng Y 2010 Phys. Rev. Lett. 105 085004
Google Scholar
[15] Du C R, Nosenko V, Thomas H M, Lin Y F, Morfill G E, Ivlev A V 2019 Phys. Rev. Lett. 123 185002
Google Scholar
[16] Nunomura S, Zhdanov S, Samsonov D, Morfill G 2005 Phys. Rev. Lett. 94 045001
Google Scholar
[17] Teng L W, Chang M C, Tseng Y P, I L 2009 Phys. Rev. Lett. 103 245005
Google Scholar
[18] Couëdel L, Nosenko V, Ivlev A V, Zhdanov S K, Thomas H M, Morfill G E 2010 Phys. Rev. Lett. 104 195001
Google Scholar
[19] Huang H, Ivlev A V, Nosenko V, Yang W, Du C R 2023 Phys. Rev. E 107 045205
Google Scholar
[20] Huang D, Baggioli M, Lu S Y, Ma Z, Feng Y 2023 Phys. Rev. Res. 5 013149
Google Scholar
[21] Killer C, Bockwoldt T, Schütt S, Himpel M, Melzer A, Piel A 2016 Phys. Rev. Lett. 116 115002
Google Scholar
[22] Wysocki A, Räth C, Ivlev A V, Sütterlin K R, Thomas H M, Khrapak S, Zhdanov S, Fortov V E, Lipaev A M, Molotkov V I, Petrov O F, Löwen H, Morfill G E 2010 Phys. Rev. Lett. 105 045001
Google Scholar
[23] Ivlev A V, Zhdanov S K, Thomas H M, Morfill G E 2009 Europhys. Lett. 85 45001
Google Scholar
[24] Winter J 2000 Phys. Plasmas 7 3862
Google Scholar
[25] Pigarov A Yu, Krasheninnikov S I, Soboleva T K, Rognlien T D 2005 Phys. Plasmas 12 122508
Google Scholar
[26] Smirnov R D, Pigarov A Y, Rosenberg M, Krasheninnikov S I, Mendis D A 2007 Plasma Phys. Control. Fusion 49 347
Google Scholar
[27] Kokura H, Yoneda S, Nakamura K, Mitsuhira N, Nakamura M, Sugai H 1999 Jpn. J. Appl. Phys. 38 5256
Google Scholar
[28] Raha D, Das D 2013 Appl. Surf. Sci. 276 249
Google Scholar
[29] Cheng Q, Xu S, Long J D, Ni Z H, Rider A E, Ostrikov K 2008 J. Phys. D: Appl. Phys. 41 055406
Google Scholar
[30] Bapat A, Perrey C R, Campbell S A, Barry Carter C, Kortshagen U 2003 J. Appl. Phys. 94 1969
Google Scholar
[31] Shen Z, Kortshagen U, Campbell S A 2004 J. Appl. Phys. 96 2204
Google Scholar
[32] Shen Z, Kim T, Kortshagen U, McMurry P H, Campbell S A 2003 J. Appl. Phys. 94 2277
Google Scholar
[33] Denysenko I B, Kersten H, Azarenkov N A 2015 Phys. Rev. E 92 033102
Google Scholar
[34] Wang D Z, Dong J Q 1997 J. Appl. Phys. 81 38
Google Scholar
[35] Denysenko I, Yu M Y, Ostrikov K, Smolyakov A 2004 Phys. Rev. E 70 046403
Google Scholar
[36] Czarnetzki U, Alves L L 2022 Mod. Plasma Phys. 6 31
Google Scholar
[37] Gu S, Kang H J, Kwon D C, Kim Y S, Chang Y M, Chung C W 2016 Phys. Plasmas 23 063506
Google Scholar
[38] Kolobov V, Godyak V 2019 Phys. Plasmas 26 060601
Google Scholar
[39] Liu Y X, Zhang Q Z, Jiang W, Hou L J, Jiang X Z, Lu W Q, Wang Y N 2011 Phys. Rev. Lett. 107 055002
Google Scholar
[40] Chung C W, You K I, Seo S H, Kim S S, Chang H Y 2001 Phys. Plasmas 8 2992
Google Scholar
[41] 张钰如, 高飞, 王友年 2021 70 095206
Google Scholar
Zhang Y R, Gao F, Wang Y N 2021 Acta Phys. Sin. 70 095206
Google Scholar
[42] Jia W Z, Zhang Q Z, Wang X F, Song Y H, Zhang Y Y, Wang Y N 2019 J. Phys. D: Appl. Phys. 52 015206
Google Scholar
[43] De Bleecker K, Bogaerts A, Goedheer W 2004 Phys. Rev. E 70 056407
Google Scholar
[44] Boeuf J P 1992 Phys. Rev. A 46 7910
Google Scholar
[45] Alexandrov A L, Schweigert I V, Peeters F M 2008 New J. Phys. 10 093025
Google Scholar
[46] Wen H, Schulze J, Fu Y, Sun J Y, Zhang Q Z 2025 Plasma Sources Sci. Technol. 34 03LT01
Google Scholar
[47] Fu C C, Dong Y C, Li Y F, Wang W Z, Wang Z H, Liu W 2024 J. Phys. D: Appl. Phys. 57 135201
Google Scholar
[48] Liu Y X, Zhang Q Z, Zhao K, Zhang Y R, Gao F, Song Y H, Wang Y N 2022 Chin. Phys. B 31 085202
Google Scholar
[49] Li S, Rabadanov K M, Bogdanov E A, Kudryavtsev A A, Ashurbekov N A, Yuan C, Zhou Z 2021 Plasma Sources Sci. Technol. 30 047001
Google Scholar
[50] Liang Y G, Wang Y, Li H, Tian R H, Yuan C X, Kudryavtsev A A, Rabadanov K M, Wu J, Zhou Z X, Tian H 2018 Phys. Plasmas 25 053702
Google Scholar
[51] Fedoseev A V, Demin N A, Salnikov M V, Sukhinin G I 2019 Contrib. Plasma Phys. 59 e201800181
Google Scholar
[52] Yang W, Wang Y N 2021 Plasma Phys. Control. Fusion 63 035031
Google Scholar
[53] DiPeso G, Vahedi V, Hewett D W, Rognlien T D 1994 J. Vac. Sci. Technol. A 12 1387
Google Scholar
[54] Belenguer Ph, Blondeau J Ph, Boufendi L, Toogood M, Plain A, Bouchoule A, Laure C, Boeuf J P 1992 Phys. Rev. A 46 7923
Google Scholar
[55] Yang W, Gao F, Wang Y N 2022 Plasma Sci. Technol. 24 055401
Google Scholar
[56] Yang W, Gao F, Wang Y N 2022 Phys. Plasmas 29 063503
Google Scholar
[57] Allen J E 1992 Phys. Scr. 45 497
Google Scholar
[58] Wood B P, Lieberman M A, Lichtenberg A J 1995 IEEE Trans. Plasma Sci. 23 89
Google Scholar
计量
- 文章访问数: 1911
- PDF下载量: 64
- 被引次数: 0








下载: