- 
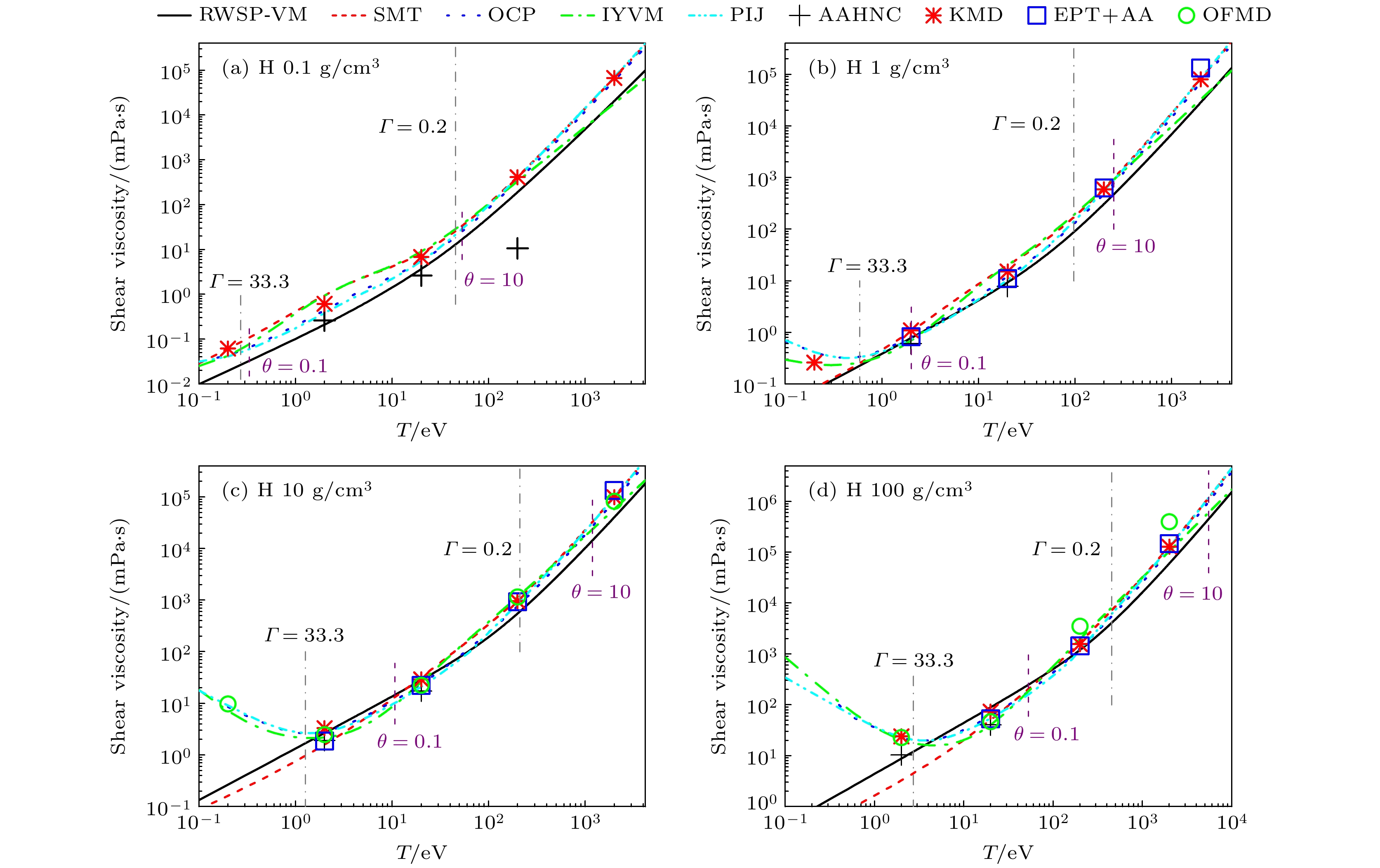
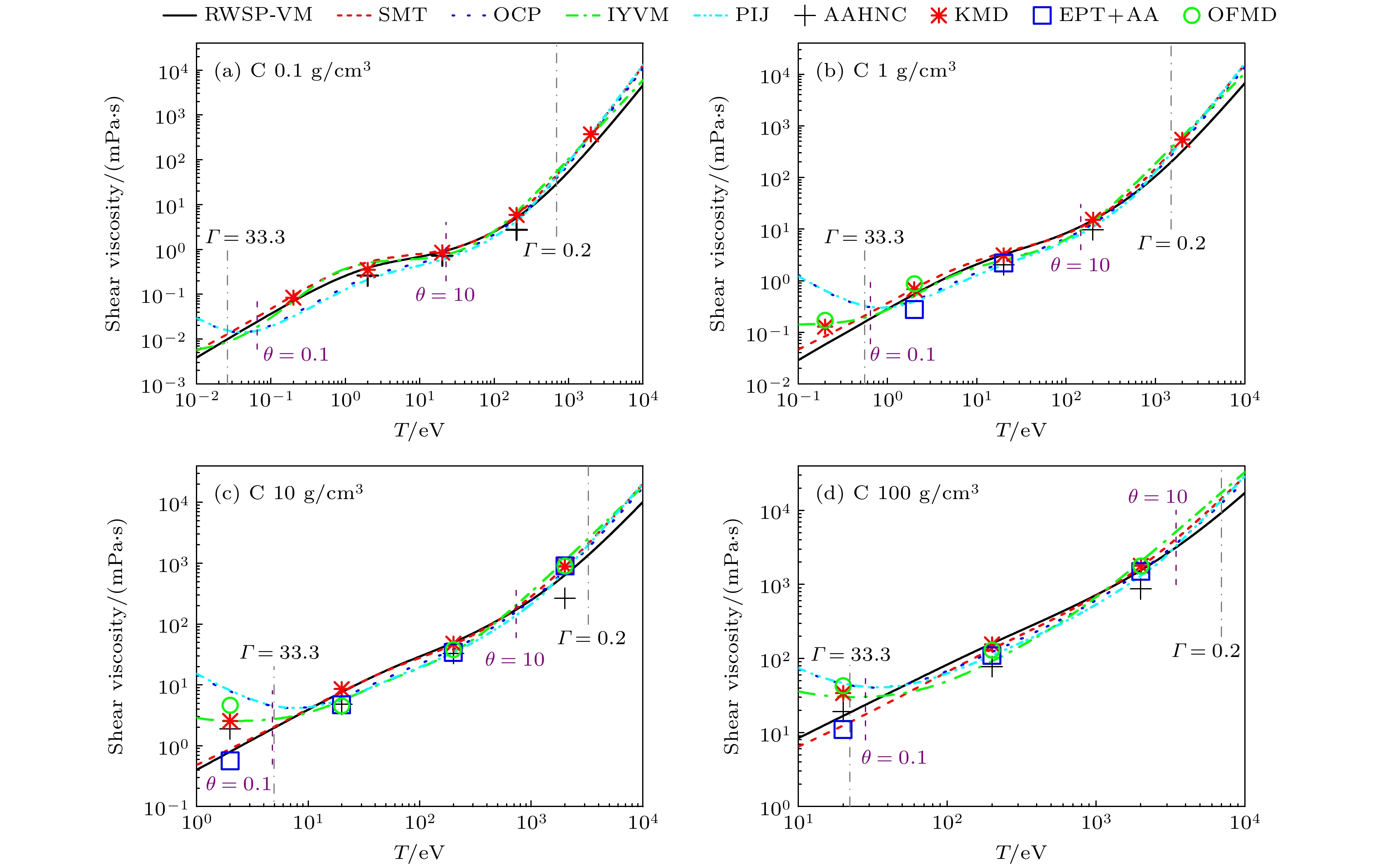
				The viscosity of matter under extreme conditions, i.e., warm dense matter (WDM) and hot dense matter (HDM), has significant applications in various areas, such as the design of inertial confinement fusion targets, the study of astrophysical structure evolution, and the investigation of interfacial instability and mixing development under extreme conditions. Since the temperature and pressure range accessible by experimental techniques for viscosity measurement is very limited, the acquisition of viscosity data under extreme conditions mainly relies on theoretical calculations. This work introduces a variety of molecular dynamics (MD) methods and models for calculating the viscosity of WDM and HDM, including quantum MD (QMD), orbital-free MD (OFMD), average atom model combined with hypernetted chain (AAHNC), effective potential theory combined with average atom model (EPT+AA), hybrid kinetics MD (KMD), integrated Yukawa viscosity model (IYVM), Stanton-Murillo transport model (SMT), pseudoion in jellium (PIJ), one-component plasma model (OCP), and random-walk shielding-potential viscosity model (RWSP-VM). Simultaneously, the viscosity of a variety of elements obtained by these methods are shown, ranging from low to high atomic number (Z), i.e., H, C, Al, Fe, Ge, W, U. The accuracy and the applicability of each method are detailed analyzed by comparison. RWSP-VM, which is based on physical modeling and independent of MD data, has comparable accuracy to simulation data over a wide range of temperature and pressure, and is an effcient method for obtaining viscosity data of WDM and HDM. This work will pave the way to the calculation of shear viscosity at extremes, and may play an important role in promoting the relevant applications. The data calculated from RWSP-VM in this work are openly available at https://www.scidb.cn/s/ZrERJf.
- 
										Keywords:
										
 - shear viscosity /
 - molecular dynamics /
 - ab initio calculations /
 - kinetic theory
 
 - 
				
[1] Dornheim T, Groth S, Bonitz M 2018 Phys. Rep. 744 1
[2] Karasiev V V, Sjostrom T, Chakraborty D, Dufty J W, Runge K, Harris F E, Trickey S B 2014 In Graziani F, Desjarlais M P, Redmer R, Trickey S B, editors, Frontiers and Challenges in Warm Dense Matter (Cham: Springer International Publishing), pp 61–85
[3] Graziani F R, Bauer J D, Murillo M S 2014 Phys. Rev. E 90 033104
[4] Regan S, Goncharov V, Sangster T, Campbell E, Betti R, Bates J, Bauer K, Bernat T, Bhandarkar S, Boehly T, Bonino M, Bose A, Cao D, Carlson L, Chapman R, Chapman T, Collins G, Collins T, Craxton R, Delettrez J, Edgell D, Epstein R, Farrell M, Forrest C, Follett R, Frenje J, Froula D, Johnson M G, Gibson C, Gonzalez L, Goyon C, Glebov V, Gopalaswamy V, Greenwood A, Harding D, Hohenberger M, Hu S, Huang H, Hund J, Igumenshchev I, Jacobs-Perkins D, Janezic R, Karasik M, Kelly J, Kessler T, Knauer J, Kosc T, Luo R, Loucks S, Marozas J, Marshall F, Mauldin M, McCrory R, Mckenty P, Michel D, Michel P, Moody J, Myatt J, Nikroo A, Nilson P, Obenschain S, Palastro J, Peebles J, Petrasso R, Petta N, Radha P, Ralph J, Rosenberg M, Sampat S, Schmitt A, Schmitt M, Schoff M, Seka W, Shah R, Rygg J, Shaw J, Short R, Shmayda W, Shoup M, Shvydky A, Solodov A, Sorce C, Stadermann M, Stoeckl C, Sweet W, Taylor C, Taylor R, Theobald W, Turnbull D, Ulreich J, Wittman M, Woo K, Youngblood K, Zuegel J 2018 Nucl. Fusion 59 032007
[5] Bruno D, Catalfamo C, Capitelli M, Colonna G, De Pascale O, Diomede P, Gorse C, Laricchiuta A, Longo S, Giordano D, Pirani F 2010 Phys. Plasmas 17 112315
[6] Yin J W, Pan H, Wu Z H, Hao P C, Duan Z P, Hu X M 2017 Acta Phys. Sin. 66 204701. (in chinese) [殷建伟, 潘昊, 吴子辉, 郝鹏程, 段卓平, 胡晓棉 2017 66 204701]
[7] Allen M P, Tildesley D J 1989 Computer Simulation of Liquids (Oxford: Clarendon Press)
[8] Alfè D, Gillan M J 1998 Phys. Rev. Lett. 81 5161
[9] Wang S, Liu H 2017 In Gervasi O, Murgante B, Misra S, Borruso G, Torre C M, Rocha A M A, Taniar D, Apduhan B O, Stankova E, Cuzzocrea A, editors, Computational Science and Its Applications – ICCSA 2017 (Cham: Springer International Publishing), pp 787–795
[10] Wang S, Zhang G, Sun B, Song H, Tian M, Fang J, Liu H 2019 Chin. J. Comput. Phys. 36 253
[11] Wang C, Long Y, Tian M F, He X T, Zhang P 2013 Phys. Rev. E 87 043105
[12] Wang C, Wang Z B, Chen Q F, Zhang P 2014 Phys. Rev. E 89 023101
[13] Li D, Wang C, Kang W, Yan J, Zhang P 2015 Phys. Rev. E 92 043108
[14] Li Z G, Zhang W, Fu Z J, Dai J Y, Chen Q F, Chen X R 2017 Phys. Plasmas 24 052903
[15] Wang Z Q, Tang J, Hou Y, Chen Q F, Chen X R, Dai J Y, Meng X J, Gu Y J, Liu L, Li G J, Lan Y S, Li Z G 2020 Phys. Rev. E 101 023302
[16] Cheng Y, Wang H, Wang S, Gao X, Li Q, Fang J, Song H, Chu W, Zhang G, Song H, Liu H 2021 AIP Adv. 11 015043
[17] Hou Y, Bredow R, Yuan J, Redmer R 2015 Phys. Rev. E 91 033114
[18] Hou Y, Jin F, Yuan J 2006 Phys. Plasmas 13 093301
[19] Hou Y, Jin F, Yuan J 2007 J. Phys.: Condens. Matter 19 425204
[20] van Leeuwen J, Groeneveld J, de Boer J 1959 Physica (Amsterdam) 25 792
[21] De Boer J, Van Leeuwen J, Groeneveld J 1964 Physica (Amsterdam) 30 2265
[22] Wünsch K, Hilse P, Schlanges M, Gericke D O 2008 Phys. Rev. E 77 056404
[23] Lambert F, Clérouin J, Zérah G 2006 Phys. Rev. E 73 016403
[24] Blanchet A, Torrent M, Clérouin J 2020 Phys. Plasmas 27 122706
[25] Lambert F, Clérouin J, Mazevet S, Gilles D 2007 Contrib. Plasma Phys. 47 272
[26] Brack M, Bhaduri R K 2003 Semiclassical Physics (Boulder: Westview Press)
[27] Daligault J, Baalrud S D, Starrett C E, Saumon D, Sjostrom T 2016 Phys. Rev. Lett. 116 075002
[28] Starrett C E, Saumon D 2013 Phys. Rev. E 87 013104
[29] Starrett C E, Saumon D, Daligault J, Hamel S 2014 Phys. Rev. E 90 033110
[30] Baalrud S D, Daligault J 2013 Phys. Rev. Lett. 110 235001
[31] Baalrud S D, Daligault J 2015 Phys. Rev. E 91 063107
[32] Haxhimali T, Rudd R E, Cabot W H, Graziani F R 2015 Phys. Rev. E 92 053110
[33] Chapman S, Cowling T G 1970 The Mathematical Theory of Non-Uniform Gases (Cambridge, England: Cambridge University Press)
[34] Murillo M S 2008 High Energy Density Phys. 4 49
[35] Johnson Z A, Silvestri L G, Petrov G M, Stanton L G, Murillo M S 2024 Phys. Plasmas 31 082701
[36] Stanton L G, Murillo M S 2016 Phys. Rev. E 93 043203
[37] Arnault P 2013 High Energy Density Phys. 9 711
[38] Daligault J, Rasmussen K O, Baalrud S D 2014 Phys. Rev. E 90 033105
[39] Cheng Y, Liu H, Hou Y, Meng X, Li Q, Liu Y, Gao X, Yuan J, Song H, Wang J 2022 Phys. Rev. E 106 014142
[40] Cheng Y, Gao X, Li Q, Liu Y, Song H, Liu H 2023 arXiv e-prints arXiv:2305.16551
[41] Thomas L H 1927 Math. Proc. Cambridge Philos. Soc. 23 542âffff548
[42] More R M 1985 Adv. At. Mol. Phys. 21 305
[43] Vanderbilt D 1990 Phys. Rev. B 41 7892
[44] Danel J F, Kazandjian L, Zérah G 2012 Phys. Rev. E 85 066701
[45] Gordon R G, Kim Y S 1972 J. Chem. Phys. 56 3122
[46] Kim Y S, Gordon R G 1974 Phys. Rev. B 9 3548
[47] Hou Y, Fu Y, Bredow R, Kang D, Redmer R, Yuan J 2017 High Energy Density Phys. 22 21
[48] Hou Y, Jin Y, Zhang P, Kang D, Gao C, Redmer R, Yuan J 2021 Matter Radiat. Extrem. 6 026901
[49] Ornstein L, Zernike F 1914 Proc. K. Ned. Akad. Wet. 17 793
[50] Rosenfeld Y 1986 J. Stat. Phys. 42 437
[51] Decoster A, Raviart P A, Markowich P A, Perthame B 1998 Modeling of Collisions (Paris: Gauthier-Villars)
[52] Bastea S 2005 Phys. Rev. E 71 056405
[53] Baus M, Hansen J P 1980 Phys. Rep. 59 1
[54] Grabowski P, Hansen S, Murillo M, Stanton L, Graziani F, Zylstra A, Baalrud S, Arnault P, Baczewski A, Benedict L, Blancard C, ÄffertÃk O, Clérouin J, Collins L, Copeland S, Correa A, Dai J, Daligault J, Desjarlais M, Dharma-wardana M, Faussurier G, Haack J, Haxhimali T, Hayes-Sterbenz A, Hou Y, Hu S, Jensen D, Jungman G, Kagan G, Kang D, Kress J, Ma Q, Marciante M, Meyer E, Rudd R, Saumon D, Shulenburger L, Singleton R, Sjostrom T, Stanek L, Starrett C, Ticknor C, Valaitis S, Venzke J, White A 2020 High Energy Density Phys. 37 100905
[55] Sun H, Kang D, Hou Y, Dai J 2017 Matter Radiat. Extrem. 2 287
[56] Clérouin J, Arnault P, Ticknor C, Kress J D, Collins L A 2016 Phys. Rev. Lett. 116 115003
[57] Kress J, Cohen J S, Kilcrease D, Horner D, Collins L 2011 High Energy Density Phys. 7 155
 
Metrics
- Abstract views: 189
 - PDF Downloads: 4
 - Cited By: 0
 


					
		        
	        
 
												






下载: