-
Temporal- and angular-resolved photoionization experiments are essential for probing the geometric configuration and electronic state evolution of atoms and molecules, which requires measuring the full spatial angular distributions of electrons and ions in free electron laser (FEL) experiments. Here, we present the first experimental results from the composite velocity imaging spectrometer (CpVMI) on the Shanghai soft X-ray free electron laser facility (SXFEL). The study demonstrates its ability to capture energy and angular information of electrons and ions with high resolution and full solid-angle collection. Krypton (Kr) atoms and carbon tetrachloride (CCl4) molecules are ionized using FEL pulses at 263.8 eV. Electron momentum images are recorded with an Andor Zyla 4.2 PLUS camera, and ion time-of-flight mass spectra and momentum distributions are acquired using a TPX3CAM. For Kr, the electron spectrum contains peaks from 3p, 3d, and 4p photoionization, as well as the Auger electrons from 3d and 3p levels. The measured anisotropy parameters (β) of these electrons show good agreement with previous theoretical Hartree-Fock calculations. The ion abundance in the time-of-flight mass spectra of Kr is consistent with the ratio derived from the intensities of the corresponding photoelectron peaks. For CCl4, the electron spectrum contains Cl 2p photoelectrons, 2p Auger electrons, and valence-shell photoelectrons, with their angular distribution parameters also aligning with theoretical predictions. The TPX3CAM can directly measure the momenta of fragment ions without the need of inverse Abel transformation. By integrating the high-resolution flight time mass spectrometry and momentum imaging data obtained from TPX3CAM, we successfully visualize and analyze the key photodissociation pathways of CCl4 molecules under the action of soft X-ray FEL. In particular, it can distinguish between direct two-body dissociation and multi-step dissociation processes, and observe the unique angular distributions and kinetic energy release characteristics of different dissociation channels. In conclusion, the experimental results clearly show that the CpVMI fully meets the technical requirements for FEL user experiments in terms of energy, angular distribution, and momentum measurement, providing a platform for FEL light-induced dynamics research. Future enhancements, including improved light focusing and the use of supersonic molecular beams, are expected to further improve the performance of the instrument. -
Keywords:
- X-ray free electron laser /
- velocity imaging spectrometer /
- angular distribution of charged particles
[1] 赵振堂, 冯超 2018 物理 47 481
Google Scholar
Zhao Z T, Feng C 2018 Physics 47 481
Google Scholar
[2] Huang S, Ding Y, Feng Y, Hemsing E, Huang Z, Krzywinski J, Lutman A A, Marinelli A, Maxwell T J, Zhu D 2017 Phys. Rev. Lett. 119 154801
Google Scholar
[3] Ackermann W, Asova G, Ayvazyan V, et al. 2007 Nat. Photonics 1 336
Google Scholar
[4] 仲银鹏, 杨霞 2024 73 194101
Google Scholar
Zhong Y P, Yang X 2024 Acta Phys. Sin. 73 194101
Google Scholar
[5] Emma P, Akre R, Arthur J, et al. 2010 Nat. Photonics 4 641
Google Scholar
[6] Ishikawa T, Aoyagi H, Asaka T, et al. 2012 Nature Photonics 6 540
Google Scholar
[7] Allaria E, Castronovo D, Cinquegrana P, et al. 2013 Nat. Photonics 7 913
Google Scholar
[8] Kang H S, Min C K, Heo H, et al. 2017 Nat. Photonics 11 708
Google Scholar
[9] Milne C J, Schietinger T, Aiba M, et al. 2017 Appl. Sci. 7 720
Google Scholar
[10] Weise H, Decking W 2017 FEL2017 Santa Fe, USA, August 20-25, 2017 p9
[11] Zhao Z T, Wang D, Gu Q, Yin L X, Fang G, Gu M, Leng Y B, Zhou Q, Liu B, Tang C, Huang W, Liu Z, Jiang H D 2017 Synchrotron Radiat. News 30 29
Google Scholar
[12] Halavanau A, Decker F J, Emma C, Sheppard J, Pellegrini C 2019 J. Synchrotron Radiat. 26 635
Google Scholar
[13] Liu T, Huang N S, Yang H X, Qi Z, Zhang K Q, Gao Z F, Chen S, Feng C, Zhang W, Luo H, Fu X X, Liu H, Faatz B, Deng H X, Liu B, Wang D, Zhao Z T 2023 Front. Phys. 11 1172368
Google Scholar
[14] Zhaunerchyk V, Kamińska M, Mucke M, et al. 2015 J. Phys. B At. Mol. Opt. 48 244003
Google Scholar
[15] Liu X J, Miao Q, Gel'mukhanov F, Patanen M, Travnikova O, Nicolas C, Ågren H, Ueda K, Miron C 2015 Nat. Photonics 9 120
Google Scholar
[16] Öhrwall G, Karlsson P, Wirde M, Lundqvist M, Andersson P, Ceolin D, Wannberg B, Kachel T, Dürr H, Eberhardt W, Svensson S 2011 J. Electron Spectrosc. 183 125
Google Scholar
[17] Patanen M, Svensson S, Martensson N 2015 J. Electron Spectrosc. 200 78
Google Scholar
[18] Hikosaka Y, Sawa M, Soejima K, Shigemasa E 2014 J. Electron Spectrosc. 192 69
Google Scholar
[19] 刘小井, 池华敬, 肖志松 2017 中国科学: 物理学 力学 天文学 47 033003
Google Scholar
Liu X J, Chi H J, Xiao Z S 2017 Sci. Sin. Phys. Mech. Astron. 47 033003
Google Scholar
[20] Ullrich J, Moshammer R, Dorn A, Dörner R, Schmidt L P H, Schmidt-Böcking H 2003 Rep. Prog. Phys. 66 1463
Google Scholar
[21] Kastirke G, Schöffler M S, Weller M, et al. 2020 Phys. Rev. Lett. 125 163201
Google Scholar
[22] Eppink A T J B, Parker D H 1997 Rev. Sci. Instrum. 68 3477
Google Scholar
[23] O’Keeffe P, Feyer V, Bolognesi P, et al. 2012 Nucl. Instrum. Meth. B 284 69
Google Scholar
[24] Skruszewicz S, Passig J, Przystawik A, Truong N X, Köther M, Tiggesbäumker J, Meiwes-Broer K H 2014 Int. J. Mass Spectrom. 365 338
Google Scholar
[25] Kling N G, Paul D, Gura A, Laurent G, De S, Li H, Wang Z, Ahn B, Kim C H, Kim T K, Litvinyuk I V, Cocke C L, Ben-Itzhak I, Kim D, Kling M F 2014 J. Instrum. 9 P05005
Google Scholar
[26] Schomas D, Rendler N, Krull J, Richter R, Mudrich M 2017 J. Chem. Phys. 147 013942
Google Scholar
[27] Ding B C, Xu W Q, Wu R C, Feng Y F, Tian L F, Li X H, Huang J Y, Liu Z, Liu X J 2021 Appl. Sci. 11 10272
Google Scholar
[28] Feng Y F, Ding B C, Wu R C, Jin X, Wu K F, Liao J F, Huang J Y, Liu X J 2024 Appl. Sci. 14 2190
Google Scholar
[29] Dribinski V, Ossadtchi A, Mandelshtam V A, Reisler H 2002 Rev. Sci. Instrum. 73 2634
Google Scholar
[30] Zhao A, van Beuzekom M, Bouwens B, Byelov D, Chakaberia I, Cheng C, Maddox E, Nomerotski A, Svihra P, Visser J, Vrba V, Weinacht T 2017 Rev. Sci. Instrum. 88 113104
Google Scholar
[31] Poikela T, Plosila J, Westerlund T, Campbell M, Gaspari M D, Llopart X, Gromov V, Kluit R, Beuzekom M v, Zappon F, Zivkovic V, Brezina C, Desch K, Fu Y, Kruth A 2014 J. Instrum. 9 C05013
Google Scholar
[32] 刘志, 万唯实, 王东 2024 自然杂志 46 161
Google Scholar
Liu Z, Wan W S, Wang D 2024 Chin. J. Nat. 46 161
Google Scholar
[33] Thompson A, Attwood D, Gulikson E, Howells M, Kim K J, Kirz J, Kortright J, Lindau I, Pianetta P, Robinson A 2001 X-ray Data Booklet https://xdb.lbl.gov/xdb.pdf
[34] Hickstein D D, Gibson S T, Yurchak R, Das D D, Ryazanov M 2019 Rev. Sci. Instrum. 90 065115
Google Scholar
[35] Palaudoux J, Lablanquie P, Andric L, Ito K, Shigemasa E, Eland J H D, Jonauskas V, Kučas S, Karazija R, Penent F 2010 Phys. Rev. A 82 043419
Google Scholar
[36] Jauhiainen J, Kivimaki A, Aksela S, Sairanen O P, Aksela H 1995 J. Phys. B At. Mol. Opt. 28 4091
Google Scholar
[37] Tamenori Y, Okada K, Tanimoto S, Ibuki T, Nagaoka S, Fujii A, Haga Y, Suzuki I H 2003 J. Phys. B At. Mol. Opt. 37 117
Google Scholar
[38] Tamenori Y, Okada K, Nagaoka S, Ibuki T, Tanimoto S, Shimizu Y, Fujii A, Haga Y, Yoshida H, Ohashi H, Suzuki I H 2002 J. Phys. B At. Mol. Opt. 35 2799
Google Scholar
[39] Yeh J J, Lindau I 1985 At. Data Nucl. Data 32 1
Google Scholar
[40] Fournier P G, Comtet G, Fournier J, Svensson S, Karlsson L, Keane M P, Naves de Brito A 1989 Phys. Rev. A 40 163
Google Scholar
[41] Ohta T, Kuroda H 1976 Bull. Chem. Soc. Jpn. 49 2939
Google Scholar
[42] Kime Y J, Driscoll D C, Dowben P A 1987 J. Chem. Soc. Faraday Trans. 2 83 403
Google Scholar
[43] Kischlat H, Morgner J 1985 J. Electron Spectrosc. 35 273
Google Scholar
[44] Dos Santos A C F, Maciel J B, Rocha A B, de Souza G G B 2024 Atoms 12 74
Google Scholar
-
图 1 复合速度成像谱仪示意图, 其中气体样品通过超声分子束或者空心针注入主腔, 气体样品与光相互作用后, 产生的电子和离子在电场的引导下飞行到两端的荧光屏探测器, 利用相机记录实验图像
Figure 1. Schematic diagram of the velocity imaging spectrometer. The gas sample is injected into the main chamber through an ultrasonic molecular beam or a hollow needle. After interacting with the light, the electrons and ions produced by the gas sample fly to the fluorescent screen detectors at both ends under the guidance of an electric field. The experimental images are recorded by two cameras.
图 2 Kr的光电子图像 (a) 图像左半部分是原始图像, 右半部分是反阿贝尔变换后的动量谱, 中间红色的双箭头表示自由电子激光的极化方向; (b) 将动量谱全角度积分后得到的电子能谱
Figure 2. Photoelectron images of Kr: (a) The left half of the image is the raw image, and the right half is the momentum spectrum obtained after the inverse Abel transformation. The red double-headed arrow in the middle indicates the polarization direction of the free electron laser. (b) The electron energy spectrum obtained by integrating the momentum spectrum over all angles.
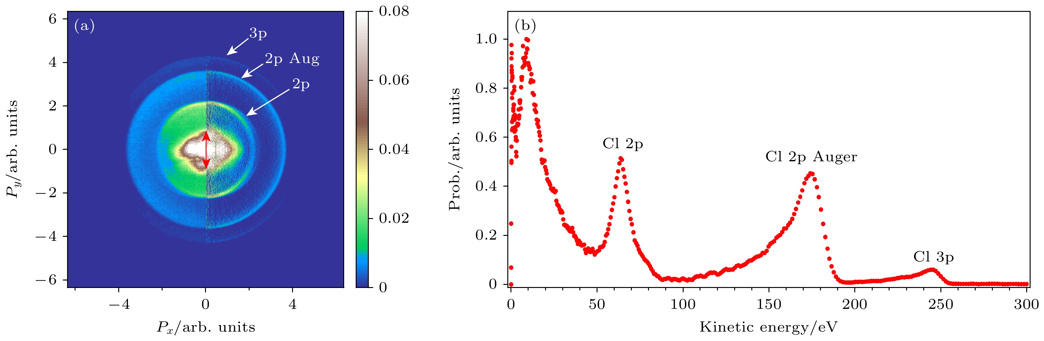
图 4 CCl4的光电子图像 (a) 图像左半部分是原始图像, 右半部分是经反阿贝尔变换后得到的动量谱, 中间红色的双箭头表示自由电子激光的极化方向; (b) 将动量谱全角度积分后得到的电子能谱
Figure 4. Photoelectron images of CCl4: (a) The left half of the image is the raw image, and the right half is the momentum spectrum obtained after the inverse Abel transformation. The red double-headed arrow in the middle indicates the polarization direction of the free electron laser. (b) The electron energy spectrum obtained by integrating the momentum spectrum over all angles.
表 1 Kr和CCl4的光电子以及俄歇电子角分布
Table 1. Angular distribution of photoelectrons and Auger electrons of Kr and CCl4.
样品名称 Kr CCl4-Cl 能级 3p 3p Aug 3d 3d sat 4p 2p 2p Aug 3p β a 0.15 –0.16 0.93 0.75 1.5 0.96 0.05 1.63 β b [39] 0.5 0.8 1.5 1.2 1.6 -
[1] 赵振堂, 冯超 2018 物理 47 481
Google Scholar
Zhao Z T, Feng C 2018 Physics 47 481
Google Scholar
[2] Huang S, Ding Y, Feng Y, Hemsing E, Huang Z, Krzywinski J, Lutman A A, Marinelli A, Maxwell T J, Zhu D 2017 Phys. Rev. Lett. 119 154801
Google Scholar
[3] Ackermann W, Asova G, Ayvazyan V, et al. 2007 Nat. Photonics 1 336
Google Scholar
[4] 仲银鹏, 杨霞 2024 73 194101
Google Scholar
Zhong Y P, Yang X 2024 Acta Phys. Sin. 73 194101
Google Scholar
[5] Emma P, Akre R, Arthur J, et al. 2010 Nat. Photonics 4 641
Google Scholar
[6] Ishikawa T, Aoyagi H, Asaka T, et al. 2012 Nature Photonics 6 540
Google Scholar
[7] Allaria E, Castronovo D, Cinquegrana P, et al. 2013 Nat. Photonics 7 913
Google Scholar
[8] Kang H S, Min C K, Heo H, et al. 2017 Nat. Photonics 11 708
Google Scholar
[9] Milne C J, Schietinger T, Aiba M, et al. 2017 Appl. Sci. 7 720
Google Scholar
[10] Weise H, Decking W 2017 FEL2017 Santa Fe, USA, August 20-25, 2017 p9
[11] Zhao Z T, Wang D, Gu Q, Yin L X, Fang G, Gu M, Leng Y B, Zhou Q, Liu B, Tang C, Huang W, Liu Z, Jiang H D 2017 Synchrotron Radiat. News 30 29
Google Scholar
[12] Halavanau A, Decker F J, Emma C, Sheppard J, Pellegrini C 2019 J. Synchrotron Radiat. 26 635
Google Scholar
[13] Liu T, Huang N S, Yang H X, Qi Z, Zhang K Q, Gao Z F, Chen S, Feng C, Zhang W, Luo H, Fu X X, Liu H, Faatz B, Deng H X, Liu B, Wang D, Zhao Z T 2023 Front. Phys. 11 1172368
Google Scholar
[14] Zhaunerchyk V, Kamińska M, Mucke M, et al. 2015 J. Phys. B At. Mol. Opt. 48 244003
Google Scholar
[15] Liu X J, Miao Q, Gel'mukhanov F, Patanen M, Travnikova O, Nicolas C, Ågren H, Ueda K, Miron C 2015 Nat. Photonics 9 120
Google Scholar
[16] Öhrwall G, Karlsson P, Wirde M, Lundqvist M, Andersson P, Ceolin D, Wannberg B, Kachel T, Dürr H, Eberhardt W, Svensson S 2011 J. Electron Spectrosc. 183 125
Google Scholar
[17] Patanen M, Svensson S, Martensson N 2015 J. Electron Spectrosc. 200 78
Google Scholar
[18] Hikosaka Y, Sawa M, Soejima K, Shigemasa E 2014 J. Electron Spectrosc. 192 69
Google Scholar
[19] 刘小井, 池华敬, 肖志松 2017 中国科学: 物理学 力学 天文学 47 033003
Google Scholar
Liu X J, Chi H J, Xiao Z S 2017 Sci. Sin. Phys. Mech. Astron. 47 033003
Google Scholar
[20] Ullrich J, Moshammer R, Dorn A, Dörner R, Schmidt L P H, Schmidt-Böcking H 2003 Rep. Prog. Phys. 66 1463
Google Scholar
[21] Kastirke G, Schöffler M S, Weller M, et al. 2020 Phys. Rev. Lett. 125 163201
Google Scholar
[22] Eppink A T J B, Parker D H 1997 Rev. Sci. Instrum. 68 3477
Google Scholar
[23] O’Keeffe P, Feyer V, Bolognesi P, et al. 2012 Nucl. Instrum. Meth. B 284 69
Google Scholar
[24] Skruszewicz S, Passig J, Przystawik A, Truong N X, Köther M, Tiggesbäumker J, Meiwes-Broer K H 2014 Int. J. Mass Spectrom. 365 338
Google Scholar
[25] Kling N G, Paul D, Gura A, Laurent G, De S, Li H, Wang Z, Ahn B, Kim C H, Kim T K, Litvinyuk I V, Cocke C L, Ben-Itzhak I, Kim D, Kling M F 2014 J. Instrum. 9 P05005
Google Scholar
[26] Schomas D, Rendler N, Krull J, Richter R, Mudrich M 2017 J. Chem. Phys. 147 013942
Google Scholar
[27] Ding B C, Xu W Q, Wu R C, Feng Y F, Tian L F, Li X H, Huang J Y, Liu Z, Liu X J 2021 Appl. Sci. 11 10272
Google Scholar
[28] Feng Y F, Ding B C, Wu R C, Jin X, Wu K F, Liao J F, Huang J Y, Liu X J 2024 Appl. Sci. 14 2190
Google Scholar
[29] Dribinski V, Ossadtchi A, Mandelshtam V A, Reisler H 2002 Rev. Sci. Instrum. 73 2634
Google Scholar
[30] Zhao A, van Beuzekom M, Bouwens B, Byelov D, Chakaberia I, Cheng C, Maddox E, Nomerotski A, Svihra P, Visser J, Vrba V, Weinacht T 2017 Rev. Sci. Instrum. 88 113104
Google Scholar
[31] Poikela T, Plosila J, Westerlund T, Campbell M, Gaspari M D, Llopart X, Gromov V, Kluit R, Beuzekom M v, Zappon F, Zivkovic V, Brezina C, Desch K, Fu Y, Kruth A 2014 J. Instrum. 9 C05013
Google Scholar
[32] 刘志, 万唯实, 王东 2024 自然杂志 46 161
Google Scholar
Liu Z, Wan W S, Wang D 2024 Chin. J. Nat. 46 161
Google Scholar
[33] Thompson A, Attwood D, Gulikson E, Howells M, Kim K J, Kirz J, Kortright J, Lindau I, Pianetta P, Robinson A 2001 X-ray Data Booklet https://xdb.lbl.gov/xdb.pdf
[34] Hickstein D D, Gibson S T, Yurchak R, Das D D, Ryazanov M 2019 Rev. Sci. Instrum. 90 065115
Google Scholar
[35] Palaudoux J, Lablanquie P, Andric L, Ito K, Shigemasa E, Eland J H D, Jonauskas V, Kučas S, Karazija R, Penent F 2010 Phys. Rev. A 82 043419
Google Scholar
[36] Jauhiainen J, Kivimaki A, Aksela S, Sairanen O P, Aksela H 1995 J. Phys. B At. Mol. Opt. 28 4091
Google Scholar
[37] Tamenori Y, Okada K, Tanimoto S, Ibuki T, Nagaoka S, Fujii A, Haga Y, Suzuki I H 2003 J. Phys. B At. Mol. Opt. 37 117
Google Scholar
[38] Tamenori Y, Okada K, Nagaoka S, Ibuki T, Tanimoto S, Shimizu Y, Fujii A, Haga Y, Yoshida H, Ohashi H, Suzuki I H 2002 J. Phys. B At. Mol. Opt. 35 2799
Google Scholar
[39] Yeh J J, Lindau I 1985 At. Data Nucl. Data 32 1
Google Scholar
[40] Fournier P G, Comtet G, Fournier J, Svensson S, Karlsson L, Keane M P, Naves de Brito A 1989 Phys. Rev. A 40 163
Google Scholar
[41] Ohta T, Kuroda H 1976 Bull. Chem. Soc. Jpn. 49 2939
Google Scholar
[42] Kime Y J, Driscoll D C, Dowben P A 1987 J. Chem. Soc. Faraday Trans. 2 83 403
Google Scholar
[43] Kischlat H, Morgner J 1985 J. Electron Spectrosc. 35 273
Google Scholar
[44] Dos Santos A C F, Maciel J B, Rocha A B, de Souza G G B 2024 Atoms 12 74
Google Scholar
Catalog
Metrics
- Abstract views: 558
- PDF Downloads: 19
- Cited By: 0









DownLoad: