-
强流重离子束驱动产生的高能量密度物质具有大体积、状态均匀、材料种类多样等显著特色, 为高能量密度物理研究提供了新的研究途径. 我国“十二五”规划建设的强流重离子加速器装置(HIAF)正加速推进, 将为重离子束驱动的高能量密度物理实验研究提供独特的实验平台与新的机遇. 本文基于HIAF上重离子束流参数特点, 利用自主研发的一维辐射流体程序Aardvark进行了数值模拟计算, 预测了铀离子束与铅靶相互作用下可产生的物质状态. 结果清晰展示了重离子束能量加载过程中, 靶物质的单位质量的能量沉积、温度、压强和密度的含时演化图像, 以及靶物质轴心处产生的大面积均匀区. 研究发现随着重离子束流强度的逐步提升, 靶物质的温度等状态参数呈现出非线性的增长趋势, 靶物质内部还引发了冲击波现象. 本研究还构建了铀离子束与多种靶物质相互作用产生的靶物质状态参数的数据库. 相关模拟数据不仅为HIAF上重离子束驱动的高能量密度物理实验研究规划提供重要的前期理论指导, 而且为深入研究高能量密度物质的产生、演化及其特性等提供了关键的理论支持. 该工作将为推动我国在强流重离子束驱动的高能量密度物理领域的研究工作发挥重要作用.
-
关键词:
- 强流重离子束 /
- 高能量密度物质 /
- 流体动力学 /
- Aardvark程序 /
- 强流重离子加速器装置
The unique properties of heavy-ion beam-driven high-energy density matter (HEDM), characterized by macroscale uniformity, extended volumetric dimension, and material diversity, present novel opportunities for advancing high-energy density physics (HEDP). The High-Intensity Heavy-Ion Accelerator Facility (HIAF), a cornerstone project which is initiated during China’s 12th Five-Year Plan, is currently being accelerated in construction. After completion, it will become a primary platform for experimental research on the HEDP phenomenon induced by intense heavy-ion beams. In this work, a self-developed 1D radiation hydrodynamics code, Aardvark, is used to simulate the interaction dynamics between uranium ion beams and cylindrical targets under HIAF-relevant beam parameters. The results show time-evolution images of specific energy deposition, temperature, pressure, and density of the target material in the radial direction during heavy-ion beam energy loading. By comparing the state of matter produced by the ion beam hitting the target at different beam energy and intensity, a interesting phenomenon is observed, i.e. a plateau region of temperature and pressure are formed near the axis center. This result indicates that under the action of the heavy-ion beam, a substantially homogeneous region is formed in the axis center the target material, further elucidating the salient characteristics of the heavy-ion beam-driven high energy density material, i.e. homogeneous state. The state parameters of the target matter undergo significant changes in the process, for a beam duration of 150 ns and a beam intensity of 4 × 1011 ppp (particle per pulse) and beam energy of 500 MeV/u. A sharp discontinuity in pressure and density occurs, forming a phenomenon known as a shock wave. Thereby, systematic modulation of heavy ion beam parameters enables investigation into the generation and propagation dynamics of shock waves. This study further constructs a systematic database that meticulously records the state parameters of target materials when uranium ion beams interact with various types of targets. The relevant simulation data provide important theoretical guidance for planning heavy-ion beam-driven high-energy density physics experiments at HIAF and crucial theoretical support for in-depth research on the generation, evolution, and properties of high-energy density matter. These advances in calculation position HIAF as a transformative platform for detecting extreme-state substances, with is of direct implications in studying inertial confinement fusion and modeling astrophysical plasma. -
Keywords:
- intense heavy ion beam /
- high energy density matter /
- fluid dynamics /
- Aardvark program /
- high intensity heavy-ion accelerator facility
[1] 赵永涛, 张子民, 程锐, Hoffmann Dieter, 马步博, 王友年, 王瑜玉, 王兴, 邓志刚, 任洁茹, 刘巍, 齐伟, 齐新, 苏有武, 杜应超, 李福利, 李锦钰, 杨杰, 杨建成, 杨磊, 肖国青, 吴栋, 何斌, 宋远红, 张小安, 张世政, 张琳, 张雅, 张艳宁, 陈本正, 陈燕红, 周征, 周贤明, 周维民, 赵红卫, 赵全堂, 赵宗清, 赵晓莹, 胡章虎, 弯峰, 栗建兴, 徐忠锋, 高飞, 唐传祥, 黄文会, 曹树春, 曹磊峰, 盛丽娜, 康炜, 雷瑜, 詹文龙 2020 中国科学: 物理学 力学 天文学 50 112004
Google Scholar
Zhao Y T, Zhang Z M, Cheng R, Hoffmann D, Ma B B, Wang Y N, Wang Y Y, Wang X, Deng Z G, Ren J R, Liu W, Qi W, Qi X, Su Y W, Du Y C, Li F L, Li J Y, Yang J, Yang J C, Yang L, Xiao G Q, Wu D, He B, Song Y H, Zhang X A, Zhang S Z, Zhang L, Zhang Y, Zhang Y N, Chen B Z, Chen Y H, Zhou Z, Zhou X M, Zhou W M, Zhao H W, Zhao Q T, Zhao Z Q, Zhao X Y, Hu Z H, Wan F, Li J X, Xu Z F, Gao F, Tang C X, Huang W H, Cao S C, Cao L F, Sheng L N, Kang W, Lei Y, Zhan W L 2020 Sci. Sin.-Phys. Mech. Astron. 50 112004
Google Scholar
[2] 程锐, 张晟, 申国栋, 陈燕红, 张延师, 陈良文, 张子民, 赵全堂, 杨建成, 王瑜玉, 雷瑜, 林平, 杨杰, 杨磊, 马新文, 肖国青, 赵红卫, 詹文龙 2020 中国科学: 物理学 力学 天文学 50 112011
Google Scholar
Cheng R, Zhang S, Shen G D, Chen Y H, Zhang Y S, Chen L W, Zhang Z M, Zhao Q T, Yang J C, Wang Y Y, Lei Y, Lin P, Yang J, Yang L, Ma X W, Xiao G Q, Zhao H W, Zhan W L 2020 Sci. Sin.-Phys. Mech. Astron. 50 112011
Google Scholar
[3] 任洁茹, 王佳乐, 陈本正, 徐皓, 张艳宁, 魏文青, 徐星, 马步博, 胡忠敏, 尹帅, 冯建华, 宋莎莎, 张世政, Hoffmann Dieter, 赵永涛 2021 强激光与粒子束 33 012005
Google Scholar
Ren J R, Wang J L, Chen B Z, Xu H, Zhang Y N, Wei W Q, Xu X, Ma B B, Hu Z M, Yin S, Feng J H, Song S S, Zhang S Z, Hoffmann D, Zhao Y 2021 High Power Laser and Particle Beams 33 012005
Google Scholar
[4] Ren J R, Zhao Y T, Cheng R, Xu Z F, Xiao G Q 2017 Nucl. Instrum. Methods Phys. Res., Sect. B 406 703
Google Scholar
[5] 赵红卫 2024 现代物理知识 36 42
Zhao H W 2024 Mod. Phys. 36 42
[6] Sharkov B Y, Hoffmann D H, Golubev A A, Zhao Y T 2016 Matter Radiat. Extremes 1 28
Google Scholar
[7] 赵红卫, 徐瑚珊, 肖国青, 夏佳文, 杨建成, 周小红, 许怒, 何源, 马新文, 杨磊, 陈旭荣, 唐晓东, 赵永涛, 孙志宇, 王志光, 胡正国, 张军辉, 马力祯, 原有进, 詹文龙 2020 中国科学: 物理学 力学 天文学 50 112006
Google Scholar
Zhao H W, Xu H S, Xiao G Q, Xia J W, Yang J C, Zhou X H, Xu N, He Y, Ma X W, Yang L, Chen X R, Tang X D, Zhao Y T, Sun Z Y, Wang Z G, Hu Z G, Zhang J H, Ma L Z, Yuan Y J, Zhan W L 2020 Sci. Sin.-Phys. Mech. Astron. 50 112006
Google Scholar
[8] Hoffmann D H H, Fortov V E, Lomonosov I V, Mintsev V, Tahir N A, Varentsov D, Wieser J 2002 Phys. Plasmas 9 3651
Google Scholar
[9] 廖棱锐, 刘浩, 杨咏乐, 莫崇杰, 陈良文, 张晟, 程锐, 张平, 康炜 2024 计算物理 41 1
Liao L R, Liu H, Yang Y L, Mo C J, Chen L W, Zhang S, Cheng R, Zhang P, Kang W 2024 Chin. J. Comput. Phys. 41 1
[10] 彭惠民 2008 等离子体中辐射输运和辐射流体力学 (北京: 国防工业出版社) 第243—253页
Peng H M 2008 Radiation Transport in Plasma and Radiation Hydrodynamics (Beijing: National Defense Industry Press) pp243–253
[11] Atzeni S, Meyer-ter Vehn J 2004 The Physics of Inertial Fusion: Beam Plasma Interaction, Hydrodynamics, Hot Dense Matter (Vol. 125) (Oxford: OUP) pp371–408
[12] Mihalas D, Weibel-Mihalas B 1985 Foundations of Radiation Hydrodynamics ( Oxford: OUP) pp235-258
[13] 王友年, 马腾才 2020 计算物理 7 235
Google Scholar
Wang Y N, Ma T C 2020 Chin. J. Comput. Phys. 7 235
Google Scholar
[14] 张智猛, 齐伟, 崔波, 张博, 洪伟, 周维民 2023 计算物理 40 210
Google Scholar
Zhang Z M, Qi W, Cui B, Zhang B, Hong W, Zhou W M 2023 Chin. J. Comput. Phys. 40 210
Google Scholar
[15] Couillaud C, Deicas R, Nardin P, Beuve M A, Guihaumé J M, Renaud M, Cukier M, Deutsch C, Maynard G 1994 Phys. Rev. E 49 1545
Google Scholar
[16] Blöchl P E, Parrinello M 1992 Phys. Rev. B 45 9413
Google Scholar
[17] Zhang S, Wang H W, Kang W, Zhang P, He X T 2016 Phys. Plasmas 23 042707
Google Scholar
[18] Cheng R, Lei Y, Zhou X M, Wang Y Y, Chen Y H, Zhao Y T, Ren J R, Sheng L N, Yang J C, Zhang Z M, Du Y C, Gai W, Ma X W, Xiao G Q 2018 Matter Radiat. Extremes 3 85
Google Scholar
[19] Fortov V, Goel B S, Munz C D, Ni A L, Shutov A, Vorobiev O Y 1996 Nucl. Sci. Eng. 123 169
Google Scholar
[20] Tahir N A, Hoffmann D H H, Kozyreva A, Shutov A, Maruhn J A, Neuner U, Tauschwitz A, Spiller P, Bock R 2000 Phys. Rev. E 61 1975
Google Scholar
[21] Tahir N A, Lomonosov I V, Borm B, Piriz A R, Shutov A, Neumayer P, Bagnoud V, Piriz S A 2017 ApJS 232 1
Google Scholar
[22] Tahir N A, Shutov A, Lomonosov I V, Piriz A R, Neumayer P, Bagnoud V, Piriz S A 2018 ApJS 238 27
Google Scholar
[23] Tahir N A, Shutov A, Neumayer P, Bagnoud V, Piriz A R, Deutsch C 2022 Eur. Phys. J. Plus 137 273
Google Scholar
[24] Tahir N A, Shutov A, Lomonosov I V, Piriz A R, Wouchuk G, Deutsch C, Hoffmann D, Fortov V 2006 High Energy Density Phys. 2 21
Google Scholar
[25] Tahir N A, Stöhlker T, Shutov A, Lomonosov I V, Fortov V E, French M, Nettelmann N, Redmer R, Piriz A R, Deutsch C, Zhao Y, Zhang P, Xu H, Xiao G, Zhan W 2010 New J. Phys. 12 073022
Google Scholar
[26] Tahir N A, Deutsch C, Fortov V E, Gryaznov V, Hoffmann D H H, Kulish M, Lomonosov I V, Mintsev V, Ni P, Nikolaev D, Piriz A R, Shilkin N, Spiller P, Shutov A, Temporal M, Ternovoi V, Udrea S, Varentsov D 2005 Phys. Rev. Lett. 95 035001
Google Scholar
[27] Tahir N A, Shutov A, Neumayer P, Bagnoud V, Piriz A R, Lomonosov I V, Piriz S A 2021 Phys. Plasmas 28 032712
Google Scholar
[28] Tahir N, Lomonosov I, Borm B, Piriz A, Neumayer P, Shutov A, Bagnoud V, Piriz S 2017 Contrib. Plasma Phys. 57 493
Google Scholar
[29] Tahir N A, Adonin A, Deutsch C, Fortov V E, Grandjouan N, Geil B, Grayaznov V, Hoffmann D H H, Kulish M, Lomonosov I V 2005 Nucl. Instrum. Methods Phys. Res. A 544 16
Google Scholar
[30] Tahir N A, Neumayer P, Lomonosov I V, Shutov A, Bagnoud V, Piriz A R, Piriz S A, Deutsch C 2020 Phys. Rev. E 101 023202
Google Scholar
-
图 2 根据HIAF上的铀离子束与铅靶作用的设计方案示意图 (a) 离子束打靶的能量沉积示意图; (b)铀离子束与圆柱型铅靶作用的示意图. 红色虚线区域表示能量沉积最大的位置即布拉格峰
Fig. 2. Schematic diagram of the design scheme based on the interaction of the uranium ion beam and the lead target on the HIAF: (a) Schematic diagram of the energy deposition of the ion beam target; (b) schematic diagram of the interaction of the uranium ion beam with a cylindrical lead target. The red dotted line area indicates the location where the energy is deposited the most, the Bragg peak.
图 3 不同束团能量下, 束团强度为1 × 1011 ppp, 长度为100 ns的物态参数随半径的变化规律 (a) 离子束单位质量的能量沉积; (b) 电子温度; (c) 密度; (d) 压强
Fig. 3. Variation of the beam parameters with radius at different beam energy levels, with a beam intensity of 1 × 1011 ppp and a length of 100 ns: (a) Specific energy deposition; (b) Te; (c) density; (d) P
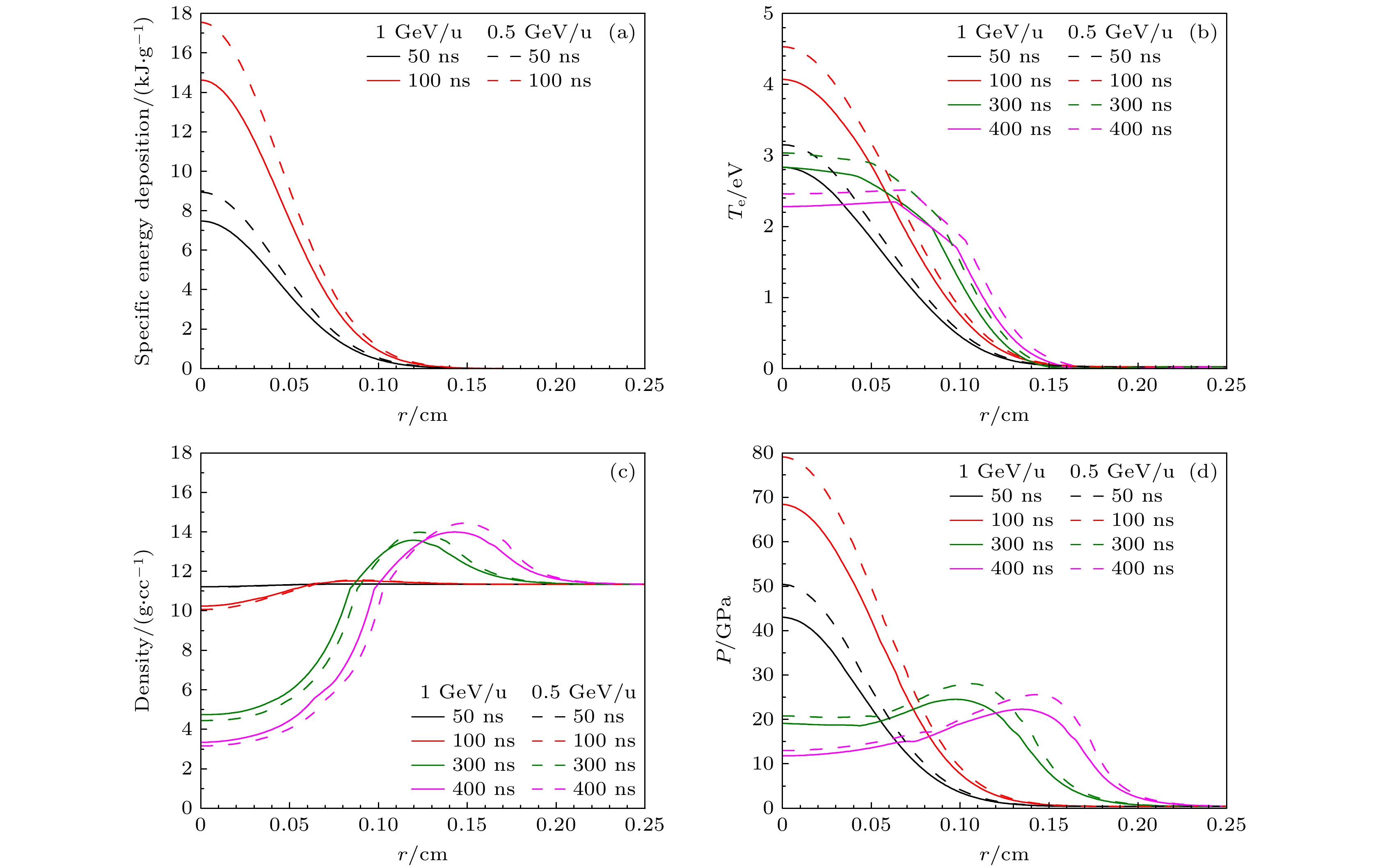
图 4 束团能量为500 MeV/u时的物态参数 (a), (c), (e), (g)不同束流强度(1 × 1010, 1 × 1011 ppp)下物态参数的对比, 脉冲长度为100 ns; (b), (d), (f), (h)脉冲长度为150 ns, 束流强度为4 × 1011 ppp的物态参数演化
Fig. 4. Matter state parameters when the beam energy is 500 MeV/u: (a), (c), (e), (g) The comparison of matter state parameters under different beam intensities (1 × 1010, 1 × 1011 ppp), with a bunch length of 100 ns; (b), (d), (f), (h) the evolution of matter state parameters with a bunch length of 150 ns and a beam intensity of 4 × 1011 ppp.
表 1 重离子加速器装置参数对比
Table 1. Comparison of parameters of heavy ion accelerator device.
HIHEX@FAIR HEDP@HIAF Ion $ \mathrm{U}^{28+} $ $ \mathrm{U}^{92+} $ E/AGeV $ 2\ $ $ 0.8—1\ $ Intensity/ppp $ 2 \times 10^{12} \ $ $ (0.1—2) \times 10^{12} \ $ Pulse length/ns 50 $ 50—100 \ $ $ \Delta {E} / {E} $ $ \pm 1 {\text{%}} $ $ \pm 0.5{\text{%}} $ Beam spot size/mm $ 1 \ $ $ 0.5—1 \ $ 表 2 Aardvark程序与BIG2程序[18]的物态参数对比
Table 2. Comparison of the state parameters of the Aardvark program and the BIG2 program[18].
Code Pulse
lengths
/nsE/
$ (\mathrm{kJ} \cdot \mathrm{g}^{-1}) $$ {T}_{\mathrm{e}} /\mathrm{K} $ $\rho/$
$ ({\rm g} \cdot {\rm cm}^{-3}) $P/GPa BIG2 100 14.8 58000.0 10.2 75.0 150 14.0 55000.0 9.3 58.0 Aardvark 100 19.1 55205.0 9.9 84.4 150 18.9 52613.7 8.8 69.4 表 3 离子束流强变化时, 不同材料的靶物质在轴心处产生的靶物质状态参数的极值
Table 3. Maximum values of the state parameters of target materials at the axis as ion beam intensity changes.
Target Intensity
/ppp$\rho/({\rm g}{\cdot}{\rm cm}^{-3}) $ $ {P}/\mathrm{GPa} $ $ {T_{{\mathrm{e}}}}/\mathrm{K} $ $ E/(\mathrm{kJ}{\cdot}\mathrm{g}^{-1}) $ Target Intensity
/ppp$\rho/({\rm g}{\cdot}{\rm cm}^{-3}) $ $ {P}/\mathrm{GPa} $ $ {T_{{\mathrm{e}}}}/\mathrm{K} $ $ E/(\mathrm{kJ}{\cdot}\mathrm{g}^{-1}) $ Pb $ 10^9 $ 11.33 1.48 2561.12 0.17 Al $ 10^9 $ 2.69 0.90 1089.32 0.26 $ 10^{10} $ 11.18 9.98 13279.05 1.86 $ 10^{10} $ 2.65 4.02 4952.81 2.57 $ 10^{11} $ 10.07 79.09 52577.75 17.54 $ 10^{11} $ 2.26 22.81 24508.74 25.95 $ 10^{12} $ 7.65 441.22 209187.11 177.03 $ 10^{12} $ 1.13 93.63 91883.41 264.66 Au $ 10^9 $ 19.21 7.75 1617.67 0.18 LiF $ 10^9 $ 2.63 0.63 696.27 0.23 $ 10^{10} $ 18.50 49.24 10909.41 1.76 $ 10^{10} $ 2.59 3.49 4293.67 2.28 $ 10^{11} $ 16.74 172.76 56315.57 17.54 $ 10^{11} $ 2.25 20.8 22396.72 23.08 $ 10^{12} $ 10.27 574.96 199485.15 178.75 $ 10^{12} $ 1.16 88.5 87265.98 235.73 -
[1] 赵永涛, 张子民, 程锐, Hoffmann Dieter, 马步博, 王友年, 王瑜玉, 王兴, 邓志刚, 任洁茹, 刘巍, 齐伟, 齐新, 苏有武, 杜应超, 李福利, 李锦钰, 杨杰, 杨建成, 杨磊, 肖国青, 吴栋, 何斌, 宋远红, 张小安, 张世政, 张琳, 张雅, 张艳宁, 陈本正, 陈燕红, 周征, 周贤明, 周维民, 赵红卫, 赵全堂, 赵宗清, 赵晓莹, 胡章虎, 弯峰, 栗建兴, 徐忠锋, 高飞, 唐传祥, 黄文会, 曹树春, 曹磊峰, 盛丽娜, 康炜, 雷瑜, 詹文龙 2020 中国科学: 物理学 力学 天文学 50 112004
Google Scholar
Zhao Y T, Zhang Z M, Cheng R, Hoffmann D, Ma B B, Wang Y N, Wang Y Y, Wang X, Deng Z G, Ren J R, Liu W, Qi W, Qi X, Su Y W, Du Y C, Li F L, Li J Y, Yang J, Yang J C, Yang L, Xiao G Q, Wu D, He B, Song Y H, Zhang X A, Zhang S Z, Zhang L, Zhang Y, Zhang Y N, Chen B Z, Chen Y H, Zhou Z, Zhou X M, Zhou W M, Zhao H W, Zhao Q T, Zhao Z Q, Zhao X Y, Hu Z H, Wan F, Li J X, Xu Z F, Gao F, Tang C X, Huang W H, Cao S C, Cao L F, Sheng L N, Kang W, Lei Y, Zhan W L 2020 Sci. Sin.-Phys. Mech. Astron. 50 112004
Google Scholar
[2] 程锐, 张晟, 申国栋, 陈燕红, 张延师, 陈良文, 张子民, 赵全堂, 杨建成, 王瑜玉, 雷瑜, 林平, 杨杰, 杨磊, 马新文, 肖国青, 赵红卫, 詹文龙 2020 中国科学: 物理学 力学 天文学 50 112011
Google Scholar
Cheng R, Zhang S, Shen G D, Chen Y H, Zhang Y S, Chen L W, Zhang Z M, Zhao Q T, Yang J C, Wang Y Y, Lei Y, Lin P, Yang J, Yang L, Ma X W, Xiao G Q, Zhao H W, Zhan W L 2020 Sci. Sin.-Phys. Mech. Astron. 50 112011
Google Scholar
[3] 任洁茹, 王佳乐, 陈本正, 徐皓, 张艳宁, 魏文青, 徐星, 马步博, 胡忠敏, 尹帅, 冯建华, 宋莎莎, 张世政, Hoffmann Dieter, 赵永涛 2021 强激光与粒子束 33 012005
Google Scholar
Ren J R, Wang J L, Chen B Z, Xu H, Zhang Y N, Wei W Q, Xu X, Ma B B, Hu Z M, Yin S, Feng J H, Song S S, Zhang S Z, Hoffmann D, Zhao Y 2021 High Power Laser and Particle Beams 33 012005
Google Scholar
[4] Ren J R, Zhao Y T, Cheng R, Xu Z F, Xiao G Q 2017 Nucl. Instrum. Methods Phys. Res., Sect. B 406 703
Google Scholar
[5] 赵红卫 2024 现代物理知识 36 42
Zhao H W 2024 Mod. Phys. 36 42
[6] Sharkov B Y, Hoffmann D H, Golubev A A, Zhao Y T 2016 Matter Radiat. Extremes 1 28
Google Scholar
[7] 赵红卫, 徐瑚珊, 肖国青, 夏佳文, 杨建成, 周小红, 许怒, 何源, 马新文, 杨磊, 陈旭荣, 唐晓东, 赵永涛, 孙志宇, 王志光, 胡正国, 张军辉, 马力祯, 原有进, 詹文龙 2020 中国科学: 物理学 力学 天文学 50 112006
Google Scholar
Zhao H W, Xu H S, Xiao G Q, Xia J W, Yang J C, Zhou X H, Xu N, He Y, Ma X W, Yang L, Chen X R, Tang X D, Zhao Y T, Sun Z Y, Wang Z G, Hu Z G, Zhang J H, Ma L Z, Yuan Y J, Zhan W L 2020 Sci. Sin.-Phys. Mech. Astron. 50 112006
Google Scholar
[8] Hoffmann D H H, Fortov V E, Lomonosov I V, Mintsev V, Tahir N A, Varentsov D, Wieser J 2002 Phys. Plasmas 9 3651
Google Scholar
[9] 廖棱锐, 刘浩, 杨咏乐, 莫崇杰, 陈良文, 张晟, 程锐, 张平, 康炜 2024 计算物理 41 1
Liao L R, Liu H, Yang Y L, Mo C J, Chen L W, Zhang S, Cheng R, Zhang P, Kang W 2024 Chin. J. Comput. Phys. 41 1
[10] 彭惠民 2008 等离子体中辐射输运和辐射流体力学 (北京: 国防工业出版社) 第243—253页
Peng H M 2008 Radiation Transport in Plasma and Radiation Hydrodynamics (Beijing: National Defense Industry Press) pp243–253
[11] Atzeni S, Meyer-ter Vehn J 2004 The Physics of Inertial Fusion: Beam Plasma Interaction, Hydrodynamics, Hot Dense Matter (Vol. 125) (Oxford: OUP) pp371–408
[12] Mihalas D, Weibel-Mihalas B 1985 Foundations of Radiation Hydrodynamics ( Oxford: OUP) pp235-258
[13] 王友年, 马腾才 2020 计算物理 7 235
Google Scholar
Wang Y N, Ma T C 2020 Chin. J. Comput. Phys. 7 235
Google Scholar
[14] 张智猛, 齐伟, 崔波, 张博, 洪伟, 周维民 2023 计算物理 40 210
Google Scholar
Zhang Z M, Qi W, Cui B, Zhang B, Hong W, Zhou W M 2023 Chin. J. Comput. Phys. 40 210
Google Scholar
[15] Couillaud C, Deicas R, Nardin P, Beuve M A, Guihaumé J M, Renaud M, Cukier M, Deutsch C, Maynard G 1994 Phys. Rev. E 49 1545
Google Scholar
[16] Blöchl P E, Parrinello M 1992 Phys. Rev. B 45 9413
Google Scholar
[17] Zhang S, Wang H W, Kang W, Zhang P, He X T 2016 Phys. Plasmas 23 042707
Google Scholar
[18] Cheng R, Lei Y, Zhou X M, Wang Y Y, Chen Y H, Zhao Y T, Ren J R, Sheng L N, Yang J C, Zhang Z M, Du Y C, Gai W, Ma X W, Xiao G Q 2018 Matter Radiat. Extremes 3 85
Google Scholar
[19] Fortov V, Goel B S, Munz C D, Ni A L, Shutov A, Vorobiev O Y 1996 Nucl. Sci. Eng. 123 169
Google Scholar
[20] Tahir N A, Hoffmann D H H, Kozyreva A, Shutov A, Maruhn J A, Neuner U, Tauschwitz A, Spiller P, Bock R 2000 Phys. Rev. E 61 1975
Google Scholar
[21] Tahir N A, Lomonosov I V, Borm B, Piriz A R, Shutov A, Neumayer P, Bagnoud V, Piriz S A 2017 ApJS 232 1
Google Scholar
[22] Tahir N A, Shutov A, Lomonosov I V, Piriz A R, Neumayer P, Bagnoud V, Piriz S A 2018 ApJS 238 27
Google Scholar
[23] Tahir N A, Shutov A, Neumayer P, Bagnoud V, Piriz A R, Deutsch C 2022 Eur. Phys. J. Plus 137 273
Google Scholar
[24] Tahir N A, Shutov A, Lomonosov I V, Piriz A R, Wouchuk G, Deutsch C, Hoffmann D, Fortov V 2006 High Energy Density Phys. 2 21
Google Scholar
[25] Tahir N A, Stöhlker T, Shutov A, Lomonosov I V, Fortov V E, French M, Nettelmann N, Redmer R, Piriz A R, Deutsch C, Zhao Y, Zhang P, Xu H, Xiao G, Zhan W 2010 New J. Phys. 12 073022
Google Scholar
[26] Tahir N A, Deutsch C, Fortov V E, Gryaznov V, Hoffmann D H H, Kulish M, Lomonosov I V, Mintsev V, Ni P, Nikolaev D, Piriz A R, Shilkin N, Spiller P, Shutov A, Temporal M, Ternovoi V, Udrea S, Varentsov D 2005 Phys. Rev. Lett. 95 035001
Google Scholar
[27] Tahir N A, Shutov A, Neumayer P, Bagnoud V, Piriz A R, Lomonosov I V, Piriz S A 2021 Phys. Plasmas 28 032712
Google Scholar
[28] Tahir N, Lomonosov I, Borm B, Piriz A, Neumayer P, Shutov A, Bagnoud V, Piriz S 2017 Contrib. Plasma Phys. 57 493
Google Scholar
[29] Tahir N A, Adonin A, Deutsch C, Fortov V E, Grandjouan N, Geil B, Grayaznov V, Hoffmann D H H, Kulish M, Lomonosov I V 2005 Nucl. Instrum. Methods Phys. Res. A 544 16
Google Scholar
[30] Tahir N A, Neumayer P, Lomonosov I V, Shutov A, Bagnoud V, Piriz A R, Piriz S A, Deutsch C 2020 Phys. Rev. E 101 023202
Google Scholar
计量
- 文章访问数: 865
- PDF下载量: 52
- 被引次数: 0








下载: