-
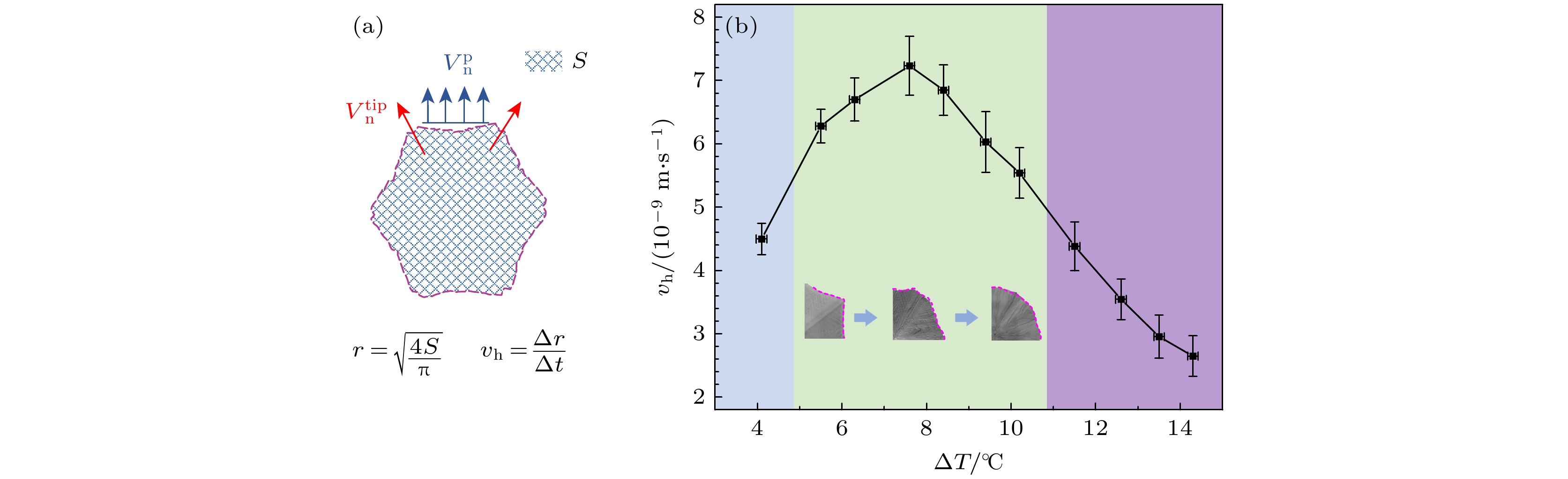
液滴及液膜冻结广泛存在于自然界与工程应用中, 近年多组分液滴体系已揭示界面流动与溶质再分布的普遍机制. 然而, 液滴界面曲率与视场限制使对单个分离冰片的连续显微原位观测受限. 鉴于液滴与液膜在冻结过程中的界面传热与溶质传输机理具有相似性, 本文采用平坦多组分液膜体系, 观察在冷表面上对异丙醇-水二元液膜在不同过冷度下的冻结过程, 开展对单个分离冰片的显微原位研究. 实验发现冰片外形随过冷度由六棱锥逐渐转变为十二棱锥和圆锥形, 并伴随透明度下降. 建立了考虑溶质扩散、热扩散与马兰戈尼效应的物理模型, 揭示了冰片形貌变化的主导机制. 结果表明, 冰片结构演化受溶质浓度梯度主导, 流动与扩散的竞争控制其各向异性生长特征. 本文为多组分液膜冻结过程中的界面动力学提供了新见解.Freezing of multicomponent droplets and thin films is ubiquitous in natural environments and engineered settings. Previous studies on multicomponent droplets, including Marangoni-driven self-lifting droplets and soap-bubble freezing, have identified the roles of interfacial flow and solute redistribution, often exhibiting a snow-globe effect of migrating ice particles. Curvature and field-of-view constraints in droplet systems hinder continuous observation of a single object. Here, utilizing the comparability of interfacial heat and mass transfer between droplets and films, we employ a flat isopropanol-water binary film on a cooled substrate to achieve high-resolution, time-resolved in-situ microscopy observation of individual separated ice flakes within a supercooling (ΔT) range of the substrate. Experiments show that with the increase of ΔT, the external shape of ice flakes evolves from hexagonal pyramid to dodecagonal pyramid and ultimately to a nearly-conical form, accompanied by the decrease of transparency. We quantify morphological evolution by using a shape factor β and qualitatively distinguish crystal-structure differences by combining bright-field and dark-field microscopy. A minimal model that couples solute and thermal diffusion with Marangoni stress rationalizes the observations: solute-concentration gradients primarily drive structural evolution, while the competition between advection and diffusion governs anisotropic growth. These results provide mechanistic insight into interfacial freezing dynamics of multi-component liquid films and establish flat-film microscopy as a platform for single-flake kinetics.
-
Keywords:
- binary liquid film /
- solute diffusion /
- thermal diffusion /
- Marangoni effect
[1] Wu X M, Chu F Q, Ma Q, Zhu B 2017 Appl. Therm. Eng. 118 448
Google Scholar
[2] Li L Y, Liu Z L, Li Y X, Dong Y W 2017 Int. J. Heat Mass Transfer 113 166
Google Scholar
[3] Li K, Miao Y M, Xia D Y, Liu N, Zhang H, Dou B L, He Q Z, Zhao Y G, Li C, Mohtaram S 2024 Appl. Therm. Eng. 248 123282
Google Scholar
[4] Wang P, Zhou W S, Bao Y Q, Li H 2018 Struct Control Health Monit. 25 e2138
Google Scholar
[5] Wei K X, Yang Y, Zuo H Y, Zhong D Q 2020 Wind Energy 23 433
Google Scholar
[6] Cebeci T, Kafyeke F 2003 Annu. Rev. Fluid Mech. 35 11
Google Scholar
[7] Cao Y, Wu Z, Su Y, Xu Z 2015 Prog. Aeronaut. Sci. 74 62
Google Scholar
[8] Hu H B, He Q, Yu S X, Zhang Z Z, Song D 2016 Acta Phys. Sin. 65 104703 [胡海豹, 何强, 余思潇, 张招柱, 宋东 2016 65 104703]
Google Scholar
Hu H B, He Q, Yu S X, Zhang Z Z, Song D 2016 Acta Phys. Sin. 65 104703
Google Scholar
[9] He Z W, Zhuo Y Z, Wang F, He J Y, Zhang Z L 2019 Soft Matter 15 2905
Google Scholar
[10] Ji K P, Rui X M, Li L, Leblond A, McClure G 2015 Comput. Struct. 157 153
Google Scholar
[11] Gurganus C, Kostinski A B, Shaw R A 2011 J. Phys. Chem. Lett. 2 1449
Google Scholar
[12] Gurganus C, Kostinski A B, Shaw R A 2013 J. Phys. Chem. C 117 6195
Google Scholar
[13] Inada T, Tomita H, Koyama T 2014 Int. J. Refrig. 40 294
Google Scholar
[14] Fletcher N H 1958 J. Chem. Phys. 29 572
Google Scholar
[15] Wildeman S, Sterl S, Sun C, Lohse D 2017 Phys. Rev. Lett. 118 084101
Google Scholar
[16] Jung S, Tiwari M K, Doan N V, Poulikakos D 2012 Nat. Commun. 3 615
Google Scholar
[17] Wang Y, Cheng Y 2019 Int. J. Heat Mass Transfer 140 1023
Google Scholar
[18] Peppin S S L, Elliott J A W, Worster M G 2006 J. Fluid Mech. 554 147
Google Scholar
[19] Zhao Y, Yan Z, Zhang H, Yang C, Cheng P 2021 Int. J. Heat Mass Transfer 165 120609
Google Scholar
[20] Marín A G, Enríquez O R, Brunet P, Colinet P, Snoeijer J H 2014 Phys. Rev. Lett. 113 054301
Google Scholar
[21] Yan X, Au S C Y, Chan S C, Chan Y L, Leung N C, Wu W Y, Sin D T, Zhao G L, Chung C H Y, Mei M, Yang Y C, Qiu H H, Yao S S 2024 Nat. Commun. 15 1567
Google Scholar
[22] Lyu S, Zhu X, Legendre D, Sun C 2023 Droplet 2 e90
Google Scholar
[23] Fang W Z, Zhu F Q, Zhu L L, Tao W Q, Yang C 2022 Commun. Phys. 5 51
Google Scholar
[24] Jin P H, Yan X, Hoque M J, Rabbi K F, Sett S, Ma J C, Li J Q, Fang X L, Carpenter J, Cai S J, Tao W Q, Miljkovic N 2022 Cell Rep. Phys. Sci. 3 100894
Google Scholar
[25] 张旋, 刘鑫, 吴晓敏, 闵敬春 2020 工程热 41 402
Zhang X, Liu X, Wu X M, Min J C 2020 J. Eng. Thermophys. 41 402
[26] 董琪琪, 胡海豹, 陈少强, 何强, 鲍路瑶 2018 67 054702
Google Scholar
Dong Q Q, Hu H B, Chen S Q, He Q, Bao L Y 2018 Acta Phys. Sin. 67 054702
Google Scholar
[27] Ivall J, Hachem M, Coulombe S, Servio P 2015 Cryst. Growth Des. 15 3969
Google Scholar
[28] Zhao Y, Yang C, Cheng P 2021 Appl. Phys. Lett. 118 14
Google Scholar
[29] Jiang Y P, Zhao Y G, Zhang H, Yang C, Cheng P 2024 Cell Rep. Phys. Sci. 5 4
Google Scholar
[30] Zeng H, Wakata Y, Chao X, Li M B, Sun C 2023 J. Colloid and Interf. Sci. 648 736
Google Scholar
[31] Dang Q, Song M L, Dang C B, Zhan T Z, Zhang L 2022 Langmuir 38 7846
Google Scholar
[32] Miao Y M, Zhao Y G, Gao M, Yang L, Yang C 2022 Appl. Phys. Lett. 120 091602
Google Scholar
[33] Chu F Q, Li S X, Zhao C J, Feng Y H, Lin Y K, Wu X M, Yan X, Miljkovic N 2024 Nat. Commun. 15 2249
Google Scholar
[34] Schutzius T M, Jung S, Maitra T, Graeber G, Köhme M, Poulikakos D 2015 Nature 527 82
Google Scholar
[35] Graeber G, Schutzius T M, Eghlidi H, Poulikakos D 2017 Proc. Natl. Acad. Sci. 114 11040
Google Scholar
[36] Zhuo Y H, Xiao S B, Håkonsen V, He J Y, Zhang Z L 2020 ACS Mater. Lett. 2 616
Google Scholar
[37] Zhu Z B, Zhang X, Zhao Y G, Huang X Y, Yang C 2022 Int. J. Therm. Sci. 171 107241
Google Scholar
[38] Lambley H, Graeber G, Vogt R, Gaugler L C, Baumann E, Schutzius T M, Poulikakos D 2023 Nat. Phys. 19 649
Google Scholar
[39] 褚福强, 吴晓敏, 朱毅 2017 工程热 38 352
Chu F Q, Wu X M, Zhu Y 2017 J. Eng. Thermophys. 38 352
[40] Chen R H, Phuoc T X, Martello D 2011 Int. J. Heat Mass Transfer 54 2459
Google Scholar
[41] Bhuiyan M H U, Saidur R, Amalina M A, Mostafizur R M, Islam A 2015 Procedia Eng. 105 431
Google Scholar
[42] Ahmadi S F, Nath S, Kingett C M, Yue P, Boreyko J B 2019 Nat. Commun. 10 2531
Google Scholar
[43] Wang F, Chen L, Li Y Q, Huo P, Gu X, Hu M, Deng D S 2024 Phys. Rev. Lett. 132 014002
Google Scholar
[44] Wang F, Zeng H, Du Y, Tang X, Sun C 2024 arXiv: 2407.20555v1 [physics. flu-dyn]
[45] Moore M R, Mughal M S, Papageorgiou D T 2017 J. Fluid Mech. 817 455
Google Scholar
[46] Thiévenaz V, Josserand C, Séon T 2020 Phys. Rev. Fluids 5 041601
Google Scholar
[47] Schremb M, Campbell J M, Christenson H K, Tropea C 2017 Langmuir 33 4870
Google Scholar
[48] Campbell J M, Sandnes B, Flekkøy E G, Måløy K J 2022 Cryst. Growth Des. 22 2433
Google Scholar
[49] Babich A, Bashkatov A, Yang X, Mutschke G, Eckert K 2023 Int. J. Heat Mass Transfer 215 124466
Google Scholar
[50] Tokgoz S, Geisler R, van Bokhoven L J A, Wieneke B 2012 Meas. Sci. Technol. 23 115302
Google Scholar
[51] Zhang M K, Gao C, Ye B, Tang J C, Jiang B 2019 Cryobiology 86 47
Google Scholar
[52] Li J Q, Rahman M, Patel S, Bogner R H, Fan T H 2022 Cryst. Growth Des. 22 6917
Google Scholar
[53] Kurz W, Fisher D J 1992 Fundamentals of Solidification 5th Edition (Switzerland: Trans Tech Publication Ltd) pp56–59
[54] Libbrecht K 2017 Annu. Rev. Mater. Res. 47 271
Google Scholar
[55] Zhao Y, Guo Q, Lin T, Cheng P 2020 Int. J. Heat Mass Transfer 159 120074
Google Scholar
[56] Lohse D, Zhang X 2020 Nat. Rev. Phys. 2 426
Google Scholar
[57] Kitahata H, Yoshinaga N 2018 J. Chem. Physi. 148 134906
Google Scholar
[58] Mullins W W, Sekerka R F 1964 J. Appl. Phys. 35 444
Google Scholar
[59] Dehaoui A, Issenmann B, Caupin F 2015 Proc. Natl. Acad. Sci. 112 12020
Google Scholar
[60] Pothoczki S, Pethes I, Pusztai L, Temleitner L, Csókás D, Kohara S, Ohara K, Bakó I 2021 J. Mol. Liq. 329 115592
Google Scholar
-
图 1 (a) 实验装置示意图; (b) 硅片处理前后接触角对比; (c) $\Delta T = \left( {5.5 \pm 0.1} \right)$ ℃时异丙醇-水液膜冻结过程; (d), (e) 对单个冰片的显微观察的时间起点和终点
Fig. 1. (a) Schematic diagram of the experimental setup; (b) comparison of contact angles before and after plasma treatment of monocrystalline silicon wafers; (c) freezing process of isopropanol-water liquid film at $\Delta T = \left( {5.5 \pm 0.1} \right)$ ℃; (d), (e) the beginning and ending of microscopic observation of a single ice flake.
图 2 (a), (b) 不同过冷度下冰片生长动力学过程 (a) $\Delta T = \left( {4.1 \pm 0.1} \right)$ ℃; (b) $\Delta T = \left( {12.6 \pm 0.1} \right)$ ℃. (c), (d) 不同过冷度下冰片轮廓的变化 (c) $\Delta T = \left( {4.1 \pm 0.1} \right)$ ℃; (d) $\Delta T = \left( {12.6 \pm 0.1} \right)$ ℃
Fig. 2. (a), (b) Kinetic processes of ice flakes growth at different supercooling degrees: (a) $\Delta T = \left( {4.1 \pm 0.1} \right)$ ℃; (b) $\Delta T = $$ \left( {12.6 \pm 0.1} \right)$ ℃. (c), (d) Changes of ice flake profiles at different supercooling degrees: (c) $\Delta T = \left( {4.1 \pm 0.1} \right)$ ℃; (d) $\Delta T = $$ \left( {12.6 \pm 0.1} \right)$ ℃.
图 3 明场以及暗场观察对比 (a) 明场观察示意图; (b) 暗场观察示意图; (c) $\Delta T = \left( {4.1 \pm 0.1} \right)$ ℃暗场下无法观察到冰片, 冰片几乎透明; (d) $\Delta T = \left( {12.6 \pm 0.1} \right)$ ℃暗场下观察到冰片为白色且不透明
Fig. 3. Comparison of bright-field as well as dark-field observation: (a) Schematic of bright-field observation; (b) schematic of dark-field observation; (c) ice flakes could not be observed in the dark-field at $\Delta T = \left( {4.1 \pm 0.1} \right)$ ℃, and the ice flakes were almost transparent; (d) ice flakes were observed to be white and opaque in the dark-field at $\Delta T = \left( {12.6 \pm 0.1} \right)$ ℃.
图 5 物理机制示意图 (a) 低过冷度下结冰偏析与马兰戈尼流的产生; (b) 过冷度增加溶质扩散减弱, 浓度差增加马兰戈尼流增强, 冰片加速生长; (c) 大过冷度下马兰戈尼流减弱导致溶质富集
Fig. 5. Schematic diagram of the physical mechanism: (a) Icing segregation and production of Marangoni flow at low subcooling; (b) weakened solute diffusion, enhanced Marangoni flow, and accelerated growth of ice flakes at increasing subcooling; (c) weakened Marangoni flow at large subcooling leading to solute enrichment.
-
[1] Wu X M, Chu F Q, Ma Q, Zhu B 2017 Appl. Therm. Eng. 118 448
Google Scholar
[2] Li L Y, Liu Z L, Li Y X, Dong Y W 2017 Int. J. Heat Mass Transfer 113 166
Google Scholar
[3] Li K, Miao Y M, Xia D Y, Liu N, Zhang H, Dou B L, He Q Z, Zhao Y G, Li C, Mohtaram S 2024 Appl. Therm. Eng. 248 123282
Google Scholar
[4] Wang P, Zhou W S, Bao Y Q, Li H 2018 Struct Control Health Monit. 25 e2138
Google Scholar
[5] Wei K X, Yang Y, Zuo H Y, Zhong D Q 2020 Wind Energy 23 433
Google Scholar
[6] Cebeci T, Kafyeke F 2003 Annu. Rev. Fluid Mech. 35 11
Google Scholar
[7] Cao Y, Wu Z, Su Y, Xu Z 2015 Prog. Aeronaut. Sci. 74 62
Google Scholar
[8] Hu H B, He Q, Yu S X, Zhang Z Z, Song D 2016 Acta Phys. Sin. 65 104703 [胡海豹, 何强, 余思潇, 张招柱, 宋东 2016 65 104703]
Google Scholar
Hu H B, He Q, Yu S X, Zhang Z Z, Song D 2016 Acta Phys. Sin. 65 104703
Google Scholar
[9] He Z W, Zhuo Y Z, Wang F, He J Y, Zhang Z L 2019 Soft Matter 15 2905
Google Scholar
[10] Ji K P, Rui X M, Li L, Leblond A, McClure G 2015 Comput. Struct. 157 153
Google Scholar
[11] Gurganus C, Kostinski A B, Shaw R A 2011 J. Phys. Chem. Lett. 2 1449
Google Scholar
[12] Gurganus C, Kostinski A B, Shaw R A 2013 J. Phys. Chem. C 117 6195
Google Scholar
[13] Inada T, Tomita H, Koyama T 2014 Int. J. Refrig. 40 294
Google Scholar
[14] Fletcher N H 1958 J. Chem. Phys. 29 572
Google Scholar
[15] Wildeman S, Sterl S, Sun C, Lohse D 2017 Phys. Rev. Lett. 118 084101
Google Scholar
[16] Jung S, Tiwari M K, Doan N V, Poulikakos D 2012 Nat. Commun. 3 615
Google Scholar
[17] Wang Y, Cheng Y 2019 Int. J. Heat Mass Transfer 140 1023
Google Scholar
[18] Peppin S S L, Elliott J A W, Worster M G 2006 J. Fluid Mech. 554 147
Google Scholar
[19] Zhao Y, Yan Z, Zhang H, Yang C, Cheng P 2021 Int. J. Heat Mass Transfer 165 120609
Google Scholar
[20] Marín A G, Enríquez O R, Brunet P, Colinet P, Snoeijer J H 2014 Phys. Rev. Lett. 113 054301
Google Scholar
[21] Yan X, Au S C Y, Chan S C, Chan Y L, Leung N C, Wu W Y, Sin D T, Zhao G L, Chung C H Y, Mei M, Yang Y C, Qiu H H, Yao S S 2024 Nat. Commun. 15 1567
Google Scholar
[22] Lyu S, Zhu X, Legendre D, Sun C 2023 Droplet 2 e90
Google Scholar
[23] Fang W Z, Zhu F Q, Zhu L L, Tao W Q, Yang C 2022 Commun. Phys. 5 51
Google Scholar
[24] Jin P H, Yan X, Hoque M J, Rabbi K F, Sett S, Ma J C, Li J Q, Fang X L, Carpenter J, Cai S J, Tao W Q, Miljkovic N 2022 Cell Rep. Phys. Sci. 3 100894
Google Scholar
[25] 张旋, 刘鑫, 吴晓敏, 闵敬春 2020 工程热 41 402
Zhang X, Liu X, Wu X M, Min J C 2020 J. Eng. Thermophys. 41 402
[26] 董琪琪, 胡海豹, 陈少强, 何强, 鲍路瑶 2018 67 054702
Google Scholar
Dong Q Q, Hu H B, Chen S Q, He Q, Bao L Y 2018 Acta Phys. Sin. 67 054702
Google Scholar
[27] Ivall J, Hachem M, Coulombe S, Servio P 2015 Cryst. Growth Des. 15 3969
Google Scholar
[28] Zhao Y, Yang C, Cheng P 2021 Appl. Phys. Lett. 118 14
Google Scholar
[29] Jiang Y P, Zhao Y G, Zhang H, Yang C, Cheng P 2024 Cell Rep. Phys. Sci. 5 4
Google Scholar
[30] Zeng H, Wakata Y, Chao X, Li M B, Sun C 2023 J. Colloid and Interf. Sci. 648 736
Google Scholar
[31] Dang Q, Song M L, Dang C B, Zhan T Z, Zhang L 2022 Langmuir 38 7846
Google Scholar
[32] Miao Y M, Zhao Y G, Gao M, Yang L, Yang C 2022 Appl. Phys. Lett. 120 091602
Google Scholar
[33] Chu F Q, Li S X, Zhao C J, Feng Y H, Lin Y K, Wu X M, Yan X, Miljkovic N 2024 Nat. Commun. 15 2249
Google Scholar
[34] Schutzius T M, Jung S, Maitra T, Graeber G, Köhme M, Poulikakos D 2015 Nature 527 82
Google Scholar
[35] Graeber G, Schutzius T M, Eghlidi H, Poulikakos D 2017 Proc. Natl. Acad. Sci. 114 11040
Google Scholar
[36] Zhuo Y H, Xiao S B, Håkonsen V, He J Y, Zhang Z L 2020 ACS Mater. Lett. 2 616
Google Scholar
[37] Zhu Z B, Zhang X, Zhao Y G, Huang X Y, Yang C 2022 Int. J. Therm. Sci. 171 107241
Google Scholar
[38] Lambley H, Graeber G, Vogt R, Gaugler L C, Baumann E, Schutzius T M, Poulikakos D 2023 Nat. Phys. 19 649
Google Scholar
[39] 褚福强, 吴晓敏, 朱毅 2017 工程热 38 352
Chu F Q, Wu X M, Zhu Y 2017 J. Eng. Thermophys. 38 352
[40] Chen R H, Phuoc T X, Martello D 2011 Int. J. Heat Mass Transfer 54 2459
Google Scholar
[41] Bhuiyan M H U, Saidur R, Amalina M A, Mostafizur R M, Islam A 2015 Procedia Eng. 105 431
Google Scholar
[42] Ahmadi S F, Nath S, Kingett C M, Yue P, Boreyko J B 2019 Nat. Commun. 10 2531
Google Scholar
[43] Wang F, Chen L, Li Y Q, Huo P, Gu X, Hu M, Deng D S 2024 Phys. Rev. Lett. 132 014002
Google Scholar
[44] Wang F, Zeng H, Du Y, Tang X, Sun C 2024 arXiv: 2407.20555v1 [physics. flu-dyn]
[45] Moore M R, Mughal M S, Papageorgiou D T 2017 J. Fluid Mech. 817 455
Google Scholar
[46] Thiévenaz V, Josserand C, Séon T 2020 Phys. Rev. Fluids 5 041601
Google Scholar
[47] Schremb M, Campbell J M, Christenson H K, Tropea C 2017 Langmuir 33 4870
Google Scholar
[48] Campbell J M, Sandnes B, Flekkøy E G, Måløy K J 2022 Cryst. Growth Des. 22 2433
Google Scholar
[49] Babich A, Bashkatov A, Yang X, Mutschke G, Eckert K 2023 Int. J. Heat Mass Transfer 215 124466
Google Scholar
[50] Tokgoz S, Geisler R, van Bokhoven L J A, Wieneke B 2012 Meas. Sci. Technol. 23 115302
Google Scholar
[51] Zhang M K, Gao C, Ye B, Tang J C, Jiang B 2019 Cryobiology 86 47
Google Scholar
[52] Li J Q, Rahman M, Patel S, Bogner R H, Fan T H 2022 Cryst. Growth Des. 22 6917
Google Scholar
[53] Kurz W, Fisher D J 1992 Fundamentals of Solidification 5th Edition (Switzerland: Trans Tech Publication Ltd) pp56–59
[54] Libbrecht K 2017 Annu. Rev. Mater. Res. 47 271
Google Scholar
[55] Zhao Y, Guo Q, Lin T, Cheng P 2020 Int. J. Heat Mass Transfer 159 120074
Google Scholar
[56] Lohse D, Zhang X 2020 Nat. Rev. Phys. 2 426
Google Scholar
[57] Kitahata H, Yoshinaga N 2018 J. Chem. Physi. 148 134906
Google Scholar
[58] Mullins W W, Sekerka R F 1964 J. Appl. Phys. 35 444
Google Scholar
[59] Dehaoui A, Issenmann B, Caupin F 2015 Proc. Natl. Acad. Sci. 112 12020
Google Scholar
[60] Pothoczki S, Pethes I, Pusztai L, Temleitner L, Csókás D, Kohara S, Ohara K, Bakó I 2021 J. Mol. Liq. 329 115592
Google Scholar
计量
- 文章访问数: 382
- PDF下载量: 10
- 被引次数: 0








下载: