-
基于密度泛函理论的第一性原理计算, 硫掺杂氧化锌纳米线的电子与光学性质研究揭示了掺杂对材料性能的调控机制. 硫的引入导致ZnO晶格发生局部畸变, 形成替位式掺杂结构, 显著改变了其本征能带结构, 费米能级向导带底偏移, 禁带宽度出现红移. 分轨道能带图表明, 硫的3p轨道在价带顶附近形成杂质能级, 增强了载流子浓度和迁移率. 硫原子的掺杂也诱导纳米线在光学性质方面发生显著变化, 比如, 介电函数实部和虚部展现了新的特征峰, 吸收系数显著提高, 且随着掺杂浓度的增大, 光学性质的变化更加显著. 该研究为硫掺杂氧化锌纳米线在光电探测器、发光二极管等器件中的性能优化提供了重要的理论支撑, 揭示了微观电子结构与宏观光学响应之间的内在关联机制.Based on first-principles calculations within the framework of density functional theory, the structural features, electronic and optical properties of sulfur-doped ZnO nanowires are systematically investigated in this work, revealing the regulation mechanism of doping on material performance. The results show that sulfur incorporation induces local lattice distortions in ZnO, resulting in a substitutional doping structure. These structural modifications significantly affect the electronic properties, causing the Fermi level to shift toward the bottom of the conduction band and a redshift in the band gap. Importantly, the orbital-projected band structures reveal that the 3p orbitals of sulfur generate impurity states near the top of the valence band, thereby enhancing both carrier concentration and mobility. Furthermore, sulfur doping leads to a notable change in the optical properties, including the emergence of new characteristic peaks in both the real and imaginary parts of the dielectric function, as well as considerable increases in optical parameters such as the absorption coefficient, extinction coefficient, and reflectivity. Moreover, as the doping concentration increases, the changes in optical properties become more pronounced. Overall, this investigation offers valuable theoretical insights into optimizing the performance of sulfur-doped ZnO nanowires in optoelectronic applications, such as photodetectors and light-emitting diodes, revealing the intrinsic correlation mechanism between the microscopic electronic structure and the macroscopic optical response.
-
Keywords:
- sulfur-doped zinc oxide /
- electronic properties /
- optical properties /
- first-principles calculations
[1] Djurišić Dr A B, Leung Y H 2006 Small 2 944
Google Scholar
[2] Foreman J V, Li J Y, Peng H Y, Choi S, Everitt H O, Liu J 2006 Nano Lett. 6 1126
Google Scholar
[3] Foreman J V, Everitt H O, Yang J, Liu J J 2007 Appl. Phys. Lett. 91 011902
Google Scholar
[4] Özgür Ü, Alivov Y I, Liu C L, Teke A, Reshchikov M A, Doğan S, Avrutin V, Cho S J, Morkoç H 2005 J. Appl. Phys. 98 041301
Google Scholar
[5] Triboulet R, Perrière J 2003 Prog. Cryst. Growth Charact. Mater. 47 65
Google Scholar
[6] Greene L E, Law M, Tan D H, Montano M, Goldberger J, Somorjai G, Yang P D 2005 Nano Lett. 5 1231
Google Scholar
[7] Huang M H, Wu Y, Feick H, Tran N, Weber E, Yang P 2001 Adv. Mater. 13 113
Google Scholar
[8] Huang M H, Mao S, Feick H, Yan H Q, Wu Y Y, Kind H, Weber E, Russo R, Yang P D 2001 Science 292 1897
Google Scholar
[9] Li S Y, Lin P, Lee C Y, Tseng T Y 2004 J. Appl. Phys. 95 3711
Google Scholar
[10] Liu C H, Zapien J A, Yao Y, Meng X M, Lee C S, Fan S S, Lifshitz Y, Lee S T 2003 Adv. Mater. 15 838
Google Scholar
[11] Yao B D, Chan Y F, Wang N 2002 Appl. Phys. Lett. 81 757
Google Scholar
[12] Guo M, Diao P, Cai S M 2005 J. Solid State Chem. 178 1864
Google Scholar
[13] Hartanto A B, Ning X, Nakata Y, Okada T 2004 Appl. Phys. A: Mater. Sci. Process. 78 299
Google Scholar
[14] Liu B, Zeng H C 2003 J. Am. Chem. Soc. 125 4430
Google Scholar
[15] Park W, Jun Y, Jung S, Yi G C 2003 Appl. Phys. Lett. 82 964
Google Scholar
[16] Yu W D, Li X M, Gao X D 2004 Appl. Phys. Lett. 84 2658
Google Scholar
[17] Delin A, Ravindran P, Eriksson O, Wills J M 1998 Int. J. Quantum Chem. 69 349
Google Scholar
[18] Ravindran P, Delin A, Johansson B, Eriksson O, Wills J M 1999 Phys. Rev. B 59 1776
Google Scholar
[19] Lucarelli A, Lupi S, Calvani P, Maselli P, De Marzi G, Roy P, Saini N L, Bianconi A, Ito T, Oka K 2002 Phys. Rev. B 65 054551
Google Scholar
[20] Karazhanov S Z, Ravindran P, Kjekshus A, Fjellvåg H, Svensson B G 2007 Phys. Rev. B 75 155104
Google Scholar
[21] Kong F J, Jiang G 2009 Physica B 404 2340
Google Scholar
[22] Monkhorst H J, Pack J D 1976 Phys. Rev. B 13 5188
Google Scholar
[23] Schmidt-Mende L, Macmanus-Driscoll J L 2007 Mater. Today 10 40
Google Scholar
[24] Choi A, Kim K, Jung H I, Lee S Y 2010 Sens. Actuat. B 148 577
Google Scholar
[25] Shi L H, Chen J, Zhang G, Li B W 2012 Phys. Lett. A 376 978
Google Scholar
[26] Zhao Q D, Xie T F, Peng L L, Lin Y H, Wang P, Peng L, Wang D J 2007 J. Phys. Chem. C 111 17136
Google Scholar
[27] Mousavi S H, Haratizadeh H, Kitai A H 2011 Mater. Lett. 65 2470
Google Scholar
[28] Cho J, Lin Q B, Yang S, Simmons J G, Cheng Y W, Lin E, Yang J Q, Foreman J V, Everitt H O, Yang W T, Kim J, Liu J 2012 Nano Res. 5 20
Google Scholar
[29] Lin Q B, Wu S Q, Zhu Z Z 2016 AIP Adv. 6 095219
Google Scholar
[30] Kresse G, Hafner J 1993 Phys. Rev. B 48 13115
Google Scholar
[31] Kresse G, Furthmüller J 1996 Comput. Mater. Sci. 6 15
Google Scholar
[32] Perdew J P, Burke K, Ernzerhof M 1996 Phys. Rev. Lett. 77 3865
Google Scholar
[33] Perdew J P, Wang Y 1992 Phys. Rev. B 45 13244
Google Scholar
[34] Ma Y, Yan H, Yu X X, Gong P, Li Y L, Ma W D, Fang X Y 2024 J. Appl. Phys. 135 054101
Google Scholar
[35] Goh E S, Mah J W, Yoon T L 2017 Comput. Mater. Sci. 138 111
Google Scholar
[36] Harun K, Salleh N A, Deghfel B, Yaakob M K, Mohamad A A 2020 Results Phys. 16 102829
Google Scholar
[37] Hu J Q, Xu L H, Wu S Q, Zhu Z Z 2019 Curr. Appl. Phys. 19 1222
Google Scholar
[38] Gajdoš M, Hummer K, Kresse G, Furthmueller J, Bechstedt F 2006 Phys. Rev. B 73 045112
Google Scholar
[39] Hu J Q, Shi X H, Wu S Q, Ho K M, Zhu Z Z 2019 Nanoscale Res. Lett. 14 288
Google Scholar
[40] Yang L Z, Liu W K, Yan H, Yu X X, Gong P, Li Y L, Fang X Y 2024 Eur. Phys. J. Plus 139 66
Google Scholar
[41] Ould Ne M L, El Hachimi A G, Boujnah M, Benyoussef A, El Kenz A 2018 Optik 158 693
Google Scholar
-
图 1 4种纳米线结构 (a) 六边形氧化锌纳米线结构; (b) 六角星形氧化锌纳米线结构; (c) 12个硫掺杂的六角星形纳米线结构(ZnSO); (d) 24个硫掺杂的六角星形纳米线结构(ZnSSO); 其中红球代表O原子, 灰球代表Zn原子, 黄球代表S原子
Fig. 1. Four nanowire configurations: (a) Hexagonal ZnO; (b) star-shaped ZnO; (c) 12 S-doped star ZnO (ZnSO); (d) 24 S-doped star ZnO (ZnSSO). Atomic colors: O (red); Zn (gray); S (yellow).
图 3 能带结构 (a) 六角星形氧化锌纳米线能带结构; (b) 12个硫掺杂的六角星形氧化锌纳米线结构(ZnSO); (c) 24个硫掺杂的六角星形氧化锌纳米线结构(ZnSSO); 高对称点Γ, Z, R对应的布里渊区位置分别为Γ (0, 0, 0), Z (0, 0, 0.5), R (0.5, 0.5, 0.5); s纳米线的轴向方向为(0001)
Fig. 3. Band structures: (a) Star-shaped ZnO nanowire; (b) 12 S-doped star-shaped nanowire (ZnSO); (c) 24 S-doped star-shaped nanowire (ZnSSO). The high-symmetry points Γ, Z, and R correspond to the following positions in the Brillouin zone: Γ (0, 0, 0), Z (0, 0, 0.5), and R (0.5, 0.5, 0.5). The axial direction of the nanowire is (0001).
图 4 GGA+U计算的能带结构 (a) 六角星形氧化锌纳米线能带结构; (b) 12个硫掺杂的六角星形氧化锌纳米线结构(ZnSO); (c) 24个硫掺杂的六角星形氧化锌纳米线结构(ZnSSO); 高对称点Γ, Z, R对应的布里渊区位置分别为Γ (0, 0, 0), Z (0, 0, 0.5), R (0.5, 0.5, 0.5); 纳米线的轴向方向为(0001)
Fig. 4. Band structure of GGA+U calculations: (a) Star-shaped ZnO nanowire; (b) 12 S-doped star-shaped nanowire (ZnSO); (c) 24 S-doped star-shaped nanowire (ZnSSO). The high-symmetry points Γ, Z, and R correspond to the following positions in the Brillouin zone: Γ (0, 0, 0), Z (0, 0, 0.5), and R (0.5, 0.5, 0.5). The axial direction of the nanowire is (0001).
图 5 六角星形ZnO纳米线的原子轨道投影能带结构, 其中(a)为总的, (b)为O原子, (c)为Zn原子; 六角星形ZnSO纳米线的原子轨道投影能带结构, 其中(d)为总的, (e)为O原子, (f)为Zn原子, (g)为S原子; 六角星形ZnSSO纳米线的原子轨道投影能带结构, 其中(h)为总的, (i)为O原子, (j)为Zn原子, (k)为S原子. 高对称点Γ, Z, R对应的布里渊区位置分别为 Γ (0, 0, 0), Z (0, 0, 0.5), R (0.5, 0.5, 0.5); 纳米线的轴向方向为(0001)
Fig. 5. Orbital-projected band structures of hexagonal star-shaped: (a)–(c) ZnO nanowire (total, O, Zn); (d)–(g) ZnSO nanowire (total, O, Zn, S); (h)–(k) ZnSSO nanowire (total, O, Zn, S). The high-symmetry points Γ, Z, and R correspond to the following positions in the Brillouin zone: Γ (0, 0, 0), Z (0, 0, 0.5), and R (0.5, 0.5, 0.5). The axial direction of the nanowire is (0001).
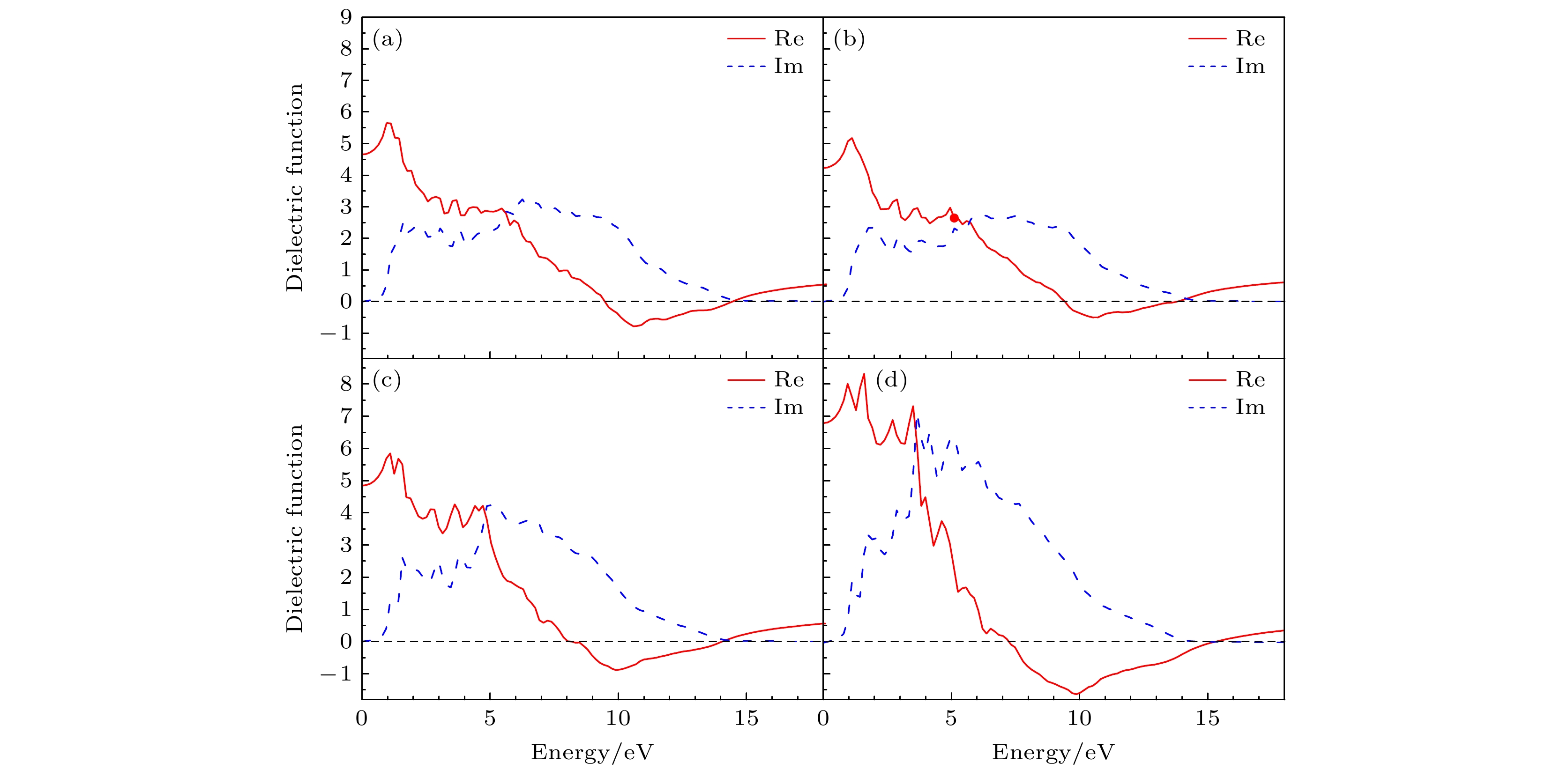
图 6 介电函数(实部和虚部) (a) 六边形氧化锌纳米线; (b) 六角星形氧化锌纳米线; (c) 12个硫掺杂的六角星形纳米线(ZnSO); (d) 24个硫掺杂的六角星形纳米线(ZnSSO)
Fig. 6. Dielectric functions (real and imaginary parts): (a) Hexagonal ZnO nanowire; (b) hexagonal star-shaped ZnO nanowire; (c) 12 S-doped star-shaped nanowire (ZnSO); (d) 24 S-doped star-shaped nanowire (ZnSSO).
表 1 星形氧化锌纳米线(ZnO Star)、12个硫掺杂的六角星形纳米线(ZnSO)以及24个硫掺杂的六角星形纳米线结构(ZnSSO)的结构参数
Table 1. Structural parameters for hexagonal star-shaped ZnO, 12 S-doped star ZnO (ZnSO) and 24 S-doped star ZnO (ZnSSO).
Structural parameters ZnO Star ZnSO ZnSSO Lateral dimensions
a, b/Å33.0×33.0 33.0×33.0 30.0×30.0 Axial dimension c/Å 5.2065 5.2065 5.2065 Unit cell volume/ų 5673.5 5673.5 4685.9 Number of O atoms 102 90 78 Number of S atoms 0 12 24 Number of Zn atoms 102 102 102 -
[1] Djurišić Dr A B, Leung Y H 2006 Small 2 944
Google Scholar
[2] Foreman J V, Li J Y, Peng H Y, Choi S, Everitt H O, Liu J 2006 Nano Lett. 6 1126
Google Scholar
[3] Foreman J V, Everitt H O, Yang J, Liu J J 2007 Appl. Phys. Lett. 91 011902
Google Scholar
[4] Özgür Ü, Alivov Y I, Liu C L, Teke A, Reshchikov M A, Doğan S, Avrutin V, Cho S J, Morkoç H 2005 J. Appl. Phys. 98 041301
Google Scholar
[5] Triboulet R, Perrière J 2003 Prog. Cryst. Growth Charact. Mater. 47 65
Google Scholar
[6] Greene L E, Law M, Tan D H, Montano M, Goldberger J, Somorjai G, Yang P D 2005 Nano Lett. 5 1231
Google Scholar
[7] Huang M H, Wu Y, Feick H, Tran N, Weber E, Yang P 2001 Adv. Mater. 13 113
Google Scholar
[8] Huang M H, Mao S, Feick H, Yan H Q, Wu Y Y, Kind H, Weber E, Russo R, Yang P D 2001 Science 292 1897
Google Scholar
[9] Li S Y, Lin P, Lee C Y, Tseng T Y 2004 J. Appl. Phys. 95 3711
Google Scholar
[10] Liu C H, Zapien J A, Yao Y, Meng X M, Lee C S, Fan S S, Lifshitz Y, Lee S T 2003 Adv. Mater. 15 838
Google Scholar
[11] Yao B D, Chan Y F, Wang N 2002 Appl. Phys. Lett. 81 757
Google Scholar
[12] Guo M, Diao P, Cai S M 2005 J. Solid State Chem. 178 1864
Google Scholar
[13] Hartanto A B, Ning X, Nakata Y, Okada T 2004 Appl. Phys. A: Mater. Sci. Process. 78 299
Google Scholar
[14] Liu B, Zeng H C 2003 J. Am. Chem. Soc. 125 4430
Google Scholar
[15] Park W, Jun Y, Jung S, Yi G C 2003 Appl. Phys. Lett. 82 964
Google Scholar
[16] Yu W D, Li X M, Gao X D 2004 Appl. Phys. Lett. 84 2658
Google Scholar
[17] Delin A, Ravindran P, Eriksson O, Wills J M 1998 Int. J. Quantum Chem. 69 349
Google Scholar
[18] Ravindran P, Delin A, Johansson B, Eriksson O, Wills J M 1999 Phys. Rev. B 59 1776
Google Scholar
[19] Lucarelli A, Lupi S, Calvani P, Maselli P, De Marzi G, Roy P, Saini N L, Bianconi A, Ito T, Oka K 2002 Phys. Rev. B 65 054551
Google Scholar
[20] Karazhanov S Z, Ravindran P, Kjekshus A, Fjellvåg H, Svensson B G 2007 Phys. Rev. B 75 155104
Google Scholar
[21] Kong F J, Jiang G 2009 Physica B 404 2340
Google Scholar
[22] Monkhorst H J, Pack J D 1976 Phys. Rev. B 13 5188
Google Scholar
[23] Schmidt-Mende L, Macmanus-Driscoll J L 2007 Mater. Today 10 40
Google Scholar
[24] Choi A, Kim K, Jung H I, Lee S Y 2010 Sens. Actuat. B 148 577
Google Scholar
[25] Shi L H, Chen J, Zhang G, Li B W 2012 Phys. Lett. A 376 978
Google Scholar
[26] Zhao Q D, Xie T F, Peng L L, Lin Y H, Wang P, Peng L, Wang D J 2007 J. Phys. Chem. C 111 17136
Google Scholar
[27] Mousavi S H, Haratizadeh H, Kitai A H 2011 Mater. Lett. 65 2470
Google Scholar
[28] Cho J, Lin Q B, Yang S, Simmons J G, Cheng Y W, Lin E, Yang J Q, Foreman J V, Everitt H O, Yang W T, Kim J, Liu J 2012 Nano Res. 5 20
Google Scholar
[29] Lin Q B, Wu S Q, Zhu Z Z 2016 AIP Adv. 6 095219
Google Scholar
[30] Kresse G, Hafner J 1993 Phys. Rev. B 48 13115
Google Scholar
[31] Kresse G, Furthmüller J 1996 Comput. Mater. Sci. 6 15
Google Scholar
[32] Perdew J P, Burke K, Ernzerhof M 1996 Phys. Rev. Lett. 77 3865
Google Scholar
[33] Perdew J P, Wang Y 1992 Phys. Rev. B 45 13244
Google Scholar
[34] Ma Y, Yan H, Yu X X, Gong P, Li Y L, Ma W D, Fang X Y 2024 J. Appl. Phys. 135 054101
Google Scholar
[35] Goh E S, Mah J W, Yoon T L 2017 Comput. Mater. Sci. 138 111
Google Scholar
[36] Harun K, Salleh N A, Deghfel B, Yaakob M K, Mohamad A A 2020 Results Phys. 16 102829
Google Scholar
[37] Hu J Q, Xu L H, Wu S Q, Zhu Z Z 2019 Curr. Appl. Phys. 19 1222
Google Scholar
[38] Gajdoš M, Hummer K, Kresse G, Furthmueller J, Bechstedt F 2006 Phys. Rev. B 73 045112
Google Scholar
[39] Hu J Q, Shi X H, Wu S Q, Ho K M, Zhu Z Z 2019 Nanoscale Res. Lett. 14 288
Google Scholar
[40] Yang L Z, Liu W K, Yan H, Yu X X, Gong P, Li Y L, Fang X Y 2024 Eur. Phys. J. Plus 139 66
Google Scholar
[41] Ould Ne M L, El Hachimi A G, Boujnah M, Benyoussef A, El Kenz A 2018 Optik 158 693
Google Scholar
计量
- 文章访问数: 1910
- PDF下载量: 42
- 被引次数: 0








下载: