-
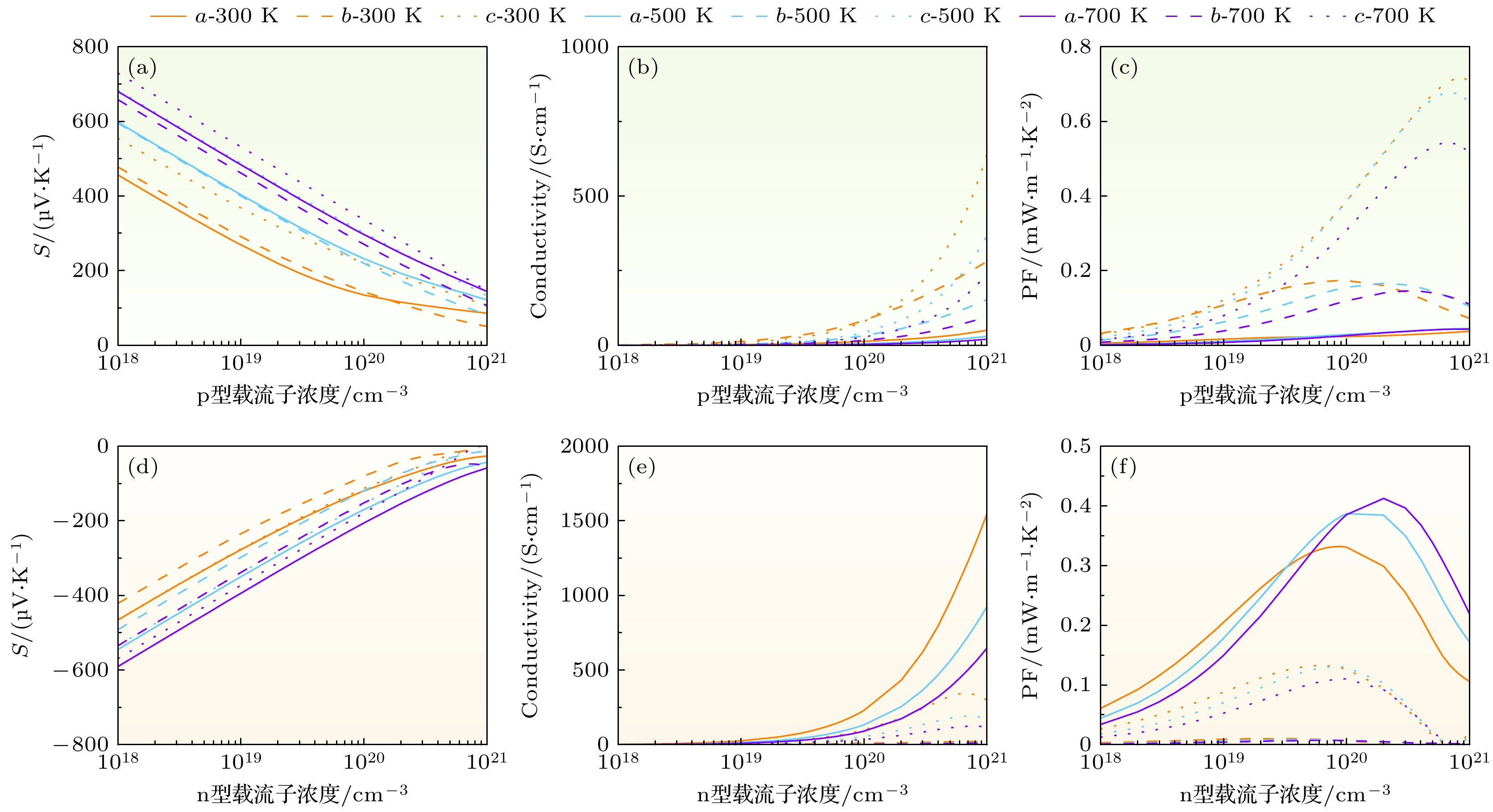
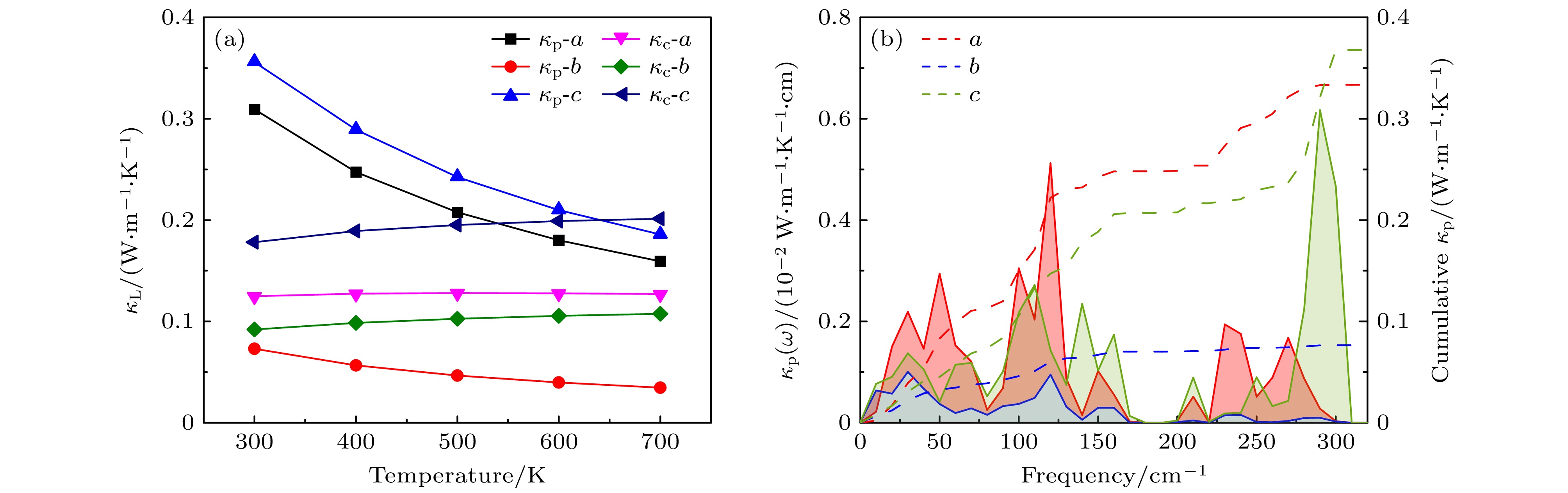
混合阴离子硫卤化物凭借其独特的晶格动力学和可调电子结构, 在热电与光电材料领域备受关注. 本文基于密度泛函理论的第一性原理计算, 结合玻尔兹曼输运方程、声子重整化模型, 研究了AgBiSCl2的光电、热电性能. 结果表明, AgBiSCl2为直接带隙半导体且带隙为1.72 eV, 紫外区光吸收系数达到1 × 106 cm–1, 3 μm厚度下光谱极限最大效率为28.06%. AgBiSCl2中Ag原子离域引起的rattling振动引发强非谐声子散射, 导致极低的晶格热导率, 在300 K时平均热导率中κp和κc分别为0.246 W/mK 和0.132 W/mK. 700 K 时p型和 n 型最大ZT分别为0.77和0.69. 由此表明AgBiSCl2在高效热电能量转换与紫外光电探测器领域具有重要应用潜力, 为设计多功能材料提供了理论参考.
This work systematically investigates the potential of the hybrid anion semiconductor AgBiSCl2 for photovoltaic and thermoelectric applications, aiming to provide theoretical guidance for high-performance energy conversion devices. Structural analysis reveals favorable ductility and a relatively low Debye temperature (219 K). Electronic structure calculations show that AgBiSCl2 is a direct band gap semiconductor, with a gap of approximately 1.72 eV after including spin-orbit coupling effects. The conduction band is mainly derived from Bi 6p orbitals, while the valence band is dominated by contributions from Ag 4d, Cl 3p, and S 3p orbitals. Analysis of interatomic interactions indicates that Ag—S and Ag—Cl bonds are relatively weak, resulting in local structural softness and enhanced lattice anharmonicity. These weak bonds facilitate phonon scattering and give rise to low-frequency localized “rattling” vibrations primarily associated with Ag atoms, contributing to reduced lattice thermal conductivity. In contrast, Bi—S bonds exhibit stronger, more directional interactions, which help stabilize the overall structure. The coexistence of weak bonding and strong lattice coupling enables favorable modulation of thermal transport properties. Optically, AgBiSCl2 possesses a high static dielectric constant (ε1(0) = 5.60) and exhibits strong absorption in the ultraviolet region, with absorption coefficients rapidly exceeding 1 × 106 cm–1. A theoretical solar conversion efficiency of up to 28.06% is predicted for a 3 μm-thick absorber layer, highlighting its potential as a high-performance photovoltaic material. In terms of thermal transport, phonon spectra exhibit mode hardening with temperature increasing, while flat optical branches in the 30–70 cm–1 range enhance phonon scattering. The localized Ag vibrations intensify the anharmonicity, reducing phonon lifetimes and group velocities. As a result, at 300 K, the lattice thermal conductivities via the Peierls and coherent channels are calculated to be 0.246 W·m–1·K–1 and 0.132 W·m–1·K–1, respectively. For electronic transport, the p-type material maintains a higher Seebeck coefficient than the n-type, while the latter shows greater electrical conductivity. At 700 K, the thermoelectric figure of merit (ZT ) reaches 0.77 for p-type and 0.69 for n-type AgBiSCl2, indicating promising high-temperature thermoelectric performance. In summary, AgBiSCl2 exhibits excellent potential for dual photovoltaic and thermoelectric applications. Its unique bonding features and lattice response mechanisms offer valuable insights into designing multifunctional energy conversion materials. [1] Kato D, Hongo K, Maezono R, Higashi M, Kunioku H, Yabuuchi M, Suzuki H, Okajima H, Zhong C, Nakano K, Abe R, Kageyama H 2017 J. Am. Chem. Soc. 139 18725
Google Scholar
[2] Luu S D N, Vaqueiro P 2016 J. Materiomics 2 131
Google Scholar
[3] Ghorpade U V, Suryawanshi M P, Green M A, Wu T, Hao X, Ryan K M 2023 Chem. Rev. 123 327
Google Scholar
[4] Kageyama H, Hayashi K, Maeda K, Attfield J P, Hiroi Z, Rondinelli J M, Poeppelmeier K R 2018 Nat. Commun. 9 772
Google Scholar
[5] Gibson Q D, Zhao T, Daniels L M, Walker H C, Daou R, Hébert S, Zanella M, Dyer M S, Claridge J B, Slater B, Gaultois M W, Corà F, Alaria J, Rosseinsky M J 2021 Science 373 1017
Google Scholar
[6] Majhi K, Pal K, Lohani H, Banerjee A, Mishra P, Yadav A K, Ganesan R, Sekhar B R, Waghmare U V, Anil Kumar P S 2017 Appl. Phys. Lett. 110 162102
Google Scholar
[7] Qiu W J, Xi L L, Wei P, Ke X Z, Yang J H, Zhang W Q 2014 PNAS 111 15031
Google Scholar
[8] Xie L, Feng J H, Li R, He J Q 2020 Phys. Rev. Lett. 125 245901
Google Scholar
[9] Ruck M, Poudeu Poudeu P F, Söhnel T 2004 Z. Anorg. Allg. Chem. 630 63
Google Scholar
[10] Quarta D, Toso S, Fieramosca A, Dominici L, Caliandro R, Moliterni A, Tobaldi D M, Saleh G, Gushchina I, Brescia R, Prato M, Infante I, Cola A, Giannini C, Manna L, Gigli G, Giansante C 2023 Chem. Mater. 35 9900
Google Scholar
[11] Kresse G, Furthmüller J 1996 Phys. Rev. B 54 11169
Google Scholar
[12] Perdew J P, Burke K, Ernzerhof M 1996 Phys. Rev. Lett. 77 3865
Google Scholar
[13] Blöchl P E 1994 Phys. Rev. B 50 17953
Google Scholar
[14] Heyd J, Peralta J E, Scuseria G E, Martin R L 2005 J. Chem. Phys. 123 174101
Google Scholar
[15] Saha S, Sinha T P, Mookerjee A 2000 J. Phys. Condens. Matter 12 3325
Google Scholar
[16] Gajdoš M, Hummer K, Kresse G, Furthmüller J, Bechstedt F 2006 Phys. Rev. B 73 045112
Google Scholar
[17] Ganose A M, Park J, Faghaninia A, Woods-Robinson R, Persson K A, Jain A 2021 Nat. Commun. 12 2222
Google Scholar
[18] Ramawat S, Kukreti S, Dixit A 2023 Phys. Rev. Materials 7 085403
Google Scholar
[19] Natarajan A R, Gupta M K, Mittal R, Kanchana V 2023 Mater. Today Commun. 34 105309
Google Scholar
[20] Rode D L 1975 Semiconductors and Semimetals (Elsevier) pp1–89
[21] Tadano T, Tsuneyuki S 2015 Phys. Rev. B 92 054301
Google Scholar
[22] Tadano T, Gohda Y, Tsuneyuki S 2014 J. Phys.: Condens. Matter. 26 225402
Google Scholar
[23] Zhou F, Sadigh B, Åberg D, Xia Y, Ozoliņš V 2019 Phys. Rev. B 100 184309
Google Scholar
[24] Ju Z, Ma D K, Chang Z 2025 Phys. Rev. B 111 134302
Google Scholar
[25] Zheng J Z, Lin C P, Lin C J, Hautier G, Guo R Q, Huang B L 2024 npj Comput. Mater. 10 30
Google Scholar
[26] Xie Q Y, Xiao F, Zhang K W, Wang B T 2024 Phys. Rev. B 110 045203
Google Scholar
[27] Xiao F, Xie Q Y, Ming X, Li H, Zhang J R, Wang B T 2024 Phys. Rev. B 109 245202
Google Scholar
[28] Xie Q Y, Ma J J, Liu Q Y, Liu P F, Zhang P, Zhang K W, Wang B T 2022 Phys. Chem. Chem. Phys. 24 7303
Google Scholar
[29] Simoncelli M, Marzari N, Mauri F 2019 Nat. Phys. 15 809
Google Scholar
[30] Simoncelli M, Marzari N, Mauri F 2022 Phys. Rev. X 12 041011
Google Scholar
[31] Slack G A 1973 J. Phys. Chem. Solids 34 321
Google Scholar
[32] Hao Y Z, Che J W, Wang X Y, Li X J, Lookman T, Sun J, Ding X D, Gao Z B 2025 Phys. Rev. B 111 195207
Google Scholar
[33] Cutler M, Leavy J F, Fitzpatrick R L 1964 Phys. Rev. 133 A1143
Google Scholar
[34] Yu L, Zunger A 2012 Phys. Rev. Lett. 108 068701
Google Scholar
[35] Zhu C, Liu Y, Wang D, Zhu Z, Zhou P, Tu Y, Yang G, Chen H, Zang Y, Du J, Yan W 2024 Cell Rep. Phys. Sci. 5 102321
Google Scholar
[36] Basera P, Bhattacharya S 2022 J. Phys. Chem. Lett. 13 6439
Google Scholar
[37] Xia Y, Ozoliņš V, Wolverton C 2020 Phys. Rev. Lett. 125 085901
Google Scholar
[38] Tadano T, Saidi W A 2022 Phys. Rev. Lett. 129 185901
Google Scholar
[39] Li W, Mingo N 2014 Phys. Rev. B 89 184304
Google Scholar
[40] Christensen M, Abrahamsen A B, Christensen N B, Juranyi F, Andersen N H, Lefmann K, Andreasson J, Bahl C R H, Iversen B B 2008 Nature Mater 7 811
Google Scholar
[41] Allen P B, Feldman J L 1989 Phys. Rev. Lett. 62 645
Google Scholar
[42] Zheng J Z, Shi D L, Yang Y W, Lin C J, Huang H, Guo R Q, Huang B L 2022 Phys. Rev. B 105 224303
Google Scholar
[43] 郑建军, 张丽萍 2023 72 086301
Google Scholar
Zheng J J, Zhang L P 2023 Acta Phys. Sin. 72 086301
Google Scholar
[44] Chen X K, Zhu J, Qi M, Jia P Z, Xie Z X 2025 Phys. Rev. Appl. 23 034085
Google Scholar
-
图 1 (a) AgBiSCl2的晶体结构; (b)电子局域函数; (c)最近邻原子对的COHP分析; (d)能带结构(考虑HSE06); (e)能带结构(考虑HSE06+SOC); (f)态密度
Fig. 1. (a) Crystal structure of AgBiSCl2; (b) electron localization function; (c) COHP analysis of nearest-neighbor atom pairs; (d) band structure (HSE06); (e) band structure (HSE06 + SOC); (f) density of states.
图 3 (a) AgBiSCl2不同温度下的声子谱; (b) 温度为0 K时的声学支和低频光学支; (c) 温度300 K, 500 K和700 K时的声子态密度; (d) 不同温度下均方位移
Fig. 3. (a) Phonon dispersion of AgBiSCl2 at different temperatures; (b) acoustic branches and low-frequency optical branches at 0 K; (c) density of states at 300 K, 500 K, and 700 K; (d) root-mean-square displacement at different temperatures.
表 1 AgBiSCl2空穴和电子的有效质量(m0 = 9.1 × 10–31 kg)
Table 1. Effective masses of holes and electrons of AgBiSCl2 (m0 = 9.1 × 10–31 kg).
Carrier type mx/m0 my/m0 mz/m0 h 0.873 0.873 0.666 e 0.274 0.274 0.537 表 2 零频率下 AgBiSCl2 的介电常数、反射率与折射率
Table 2. Calculated zero-frequency dielectric constant, reflectivity, and refractive index of AgBiSCl2.
Parameters a b c Average ε1(0) 5.84 5.08 5.27 5.40 R(0) 0.17 0.15 0.15 0.16 n(0) 2.42 2.25 2.3 2.32 -
[1] Kato D, Hongo K, Maezono R, Higashi M, Kunioku H, Yabuuchi M, Suzuki H, Okajima H, Zhong C, Nakano K, Abe R, Kageyama H 2017 J. Am. Chem. Soc. 139 18725
Google Scholar
[2] Luu S D N, Vaqueiro P 2016 J. Materiomics 2 131
Google Scholar
[3] Ghorpade U V, Suryawanshi M P, Green M A, Wu T, Hao X, Ryan K M 2023 Chem. Rev. 123 327
Google Scholar
[4] Kageyama H, Hayashi K, Maeda K, Attfield J P, Hiroi Z, Rondinelli J M, Poeppelmeier K R 2018 Nat. Commun. 9 772
Google Scholar
[5] Gibson Q D, Zhao T, Daniels L M, Walker H C, Daou R, Hébert S, Zanella M, Dyer M S, Claridge J B, Slater B, Gaultois M W, Corà F, Alaria J, Rosseinsky M J 2021 Science 373 1017
Google Scholar
[6] Majhi K, Pal K, Lohani H, Banerjee A, Mishra P, Yadav A K, Ganesan R, Sekhar B R, Waghmare U V, Anil Kumar P S 2017 Appl. Phys. Lett. 110 162102
Google Scholar
[7] Qiu W J, Xi L L, Wei P, Ke X Z, Yang J H, Zhang W Q 2014 PNAS 111 15031
Google Scholar
[8] Xie L, Feng J H, Li R, He J Q 2020 Phys. Rev. Lett. 125 245901
Google Scholar
[9] Ruck M, Poudeu Poudeu P F, Söhnel T 2004 Z. Anorg. Allg. Chem. 630 63
Google Scholar
[10] Quarta D, Toso S, Fieramosca A, Dominici L, Caliandro R, Moliterni A, Tobaldi D M, Saleh G, Gushchina I, Brescia R, Prato M, Infante I, Cola A, Giannini C, Manna L, Gigli G, Giansante C 2023 Chem. Mater. 35 9900
Google Scholar
[11] Kresse G, Furthmüller J 1996 Phys. Rev. B 54 11169
Google Scholar
[12] Perdew J P, Burke K, Ernzerhof M 1996 Phys. Rev. Lett. 77 3865
Google Scholar
[13] Blöchl P E 1994 Phys. Rev. B 50 17953
Google Scholar
[14] Heyd J, Peralta J E, Scuseria G E, Martin R L 2005 J. Chem. Phys. 123 174101
Google Scholar
[15] Saha S, Sinha T P, Mookerjee A 2000 J. Phys. Condens. Matter 12 3325
Google Scholar
[16] Gajdoš M, Hummer K, Kresse G, Furthmüller J, Bechstedt F 2006 Phys. Rev. B 73 045112
Google Scholar
[17] Ganose A M, Park J, Faghaninia A, Woods-Robinson R, Persson K A, Jain A 2021 Nat. Commun. 12 2222
Google Scholar
[18] Ramawat S, Kukreti S, Dixit A 2023 Phys. Rev. Materials 7 085403
Google Scholar
[19] Natarajan A R, Gupta M K, Mittal R, Kanchana V 2023 Mater. Today Commun. 34 105309
Google Scholar
[20] Rode D L 1975 Semiconductors and Semimetals (Elsevier) pp1–89
[21] Tadano T, Tsuneyuki S 2015 Phys. Rev. B 92 054301
Google Scholar
[22] Tadano T, Gohda Y, Tsuneyuki S 2014 J. Phys.: Condens. Matter. 26 225402
Google Scholar
[23] Zhou F, Sadigh B, Åberg D, Xia Y, Ozoliņš V 2019 Phys. Rev. B 100 184309
Google Scholar
[24] Ju Z, Ma D K, Chang Z 2025 Phys. Rev. B 111 134302
Google Scholar
[25] Zheng J Z, Lin C P, Lin C J, Hautier G, Guo R Q, Huang B L 2024 npj Comput. Mater. 10 30
Google Scholar
[26] Xie Q Y, Xiao F, Zhang K W, Wang B T 2024 Phys. Rev. B 110 045203
Google Scholar
[27] Xiao F, Xie Q Y, Ming X, Li H, Zhang J R, Wang B T 2024 Phys. Rev. B 109 245202
Google Scholar
[28] Xie Q Y, Ma J J, Liu Q Y, Liu P F, Zhang P, Zhang K W, Wang B T 2022 Phys. Chem. Chem. Phys. 24 7303
Google Scholar
[29] Simoncelli M, Marzari N, Mauri F 2019 Nat. Phys. 15 809
Google Scholar
[30] Simoncelli M, Marzari N, Mauri F 2022 Phys. Rev. X 12 041011
Google Scholar
[31] Slack G A 1973 J. Phys. Chem. Solids 34 321
Google Scholar
[32] Hao Y Z, Che J W, Wang X Y, Li X J, Lookman T, Sun J, Ding X D, Gao Z B 2025 Phys. Rev. B 111 195207
Google Scholar
[33] Cutler M, Leavy J F, Fitzpatrick R L 1964 Phys. Rev. 133 A1143
Google Scholar
[34] Yu L, Zunger A 2012 Phys. Rev. Lett. 108 068701
Google Scholar
[35] Zhu C, Liu Y, Wang D, Zhu Z, Zhou P, Tu Y, Yang G, Chen H, Zang Y, Du J, Yan W 2024 Cell Rep. Phys. Sci. 5 102321
Google Scholar
[36] Basera P, Bhattacharya S 2022 J. Phys. Chem. Lett. 13 6439
Google Scholar
[37] Xia Y, Ozoliņš V, Wolverton C 2020 Phys. Rev. Lett. 125 085901
Google Scholar
[38] Tadano T, Saidi W A 2022 Phys. Rev. Lett. 129 185901
Google Scholar
[39] Li W, Mingo N 2014 Phys. Rev. B 89 184304
Google Scholar
[40] Christensen M, Abrahamsen A B, Christensen N B, Juranyi F, Andersen N H, Lefmann K, Andreasson J, Bahl C R H, Iversen B B 2008 Nature Mater 7 811
Google Scholar
[41] Allen P B, Feldman J L 1989 Phys. Rev. Lett. 62 645
Google Scholar
[42] Zheng J Z, Shi D L, Yang Y W, Lin C J, Huang H, Guo R Q, Huang B L 2022 Phys. Rev. B 105 224303
Google Scholar
[43] 郑建军, 张丽萍 2023 72 086301
Google Scholar
Zheng J J, Zhang L P 2023 Acta Phys. Sin. 72 086301
Google Scholar
[44] Chen X K, Zhu J, Qi M, Jia P Z, Xie Z X 2025 Phys. Rev. Appl. 23 034085
Google Scholar
计量
- 文章访问数: 1860
- PDF下载量: 36
- 被引次数: 0








下载: