-
本文基于截面模型系统研究了碳离子与氢等离子体相互作用的电荷态演化行为. 首先探究了在碳离子入射能为$1{\text{ keV/u—}}100{\text{ MeV/u}}$、氢等离子体的电子温度为$k{T_{\text{e}}} = 1{\text{—}}1000{\text{ eV}}$范围内引入“shift”麦克斯韦速率分布对双电子复合速率系数影响的规律, 首次给出该体系下的速率系数数据. 在此基础上具体求解了在炮弹碳离子的能量为$0.5{\text{ MeV/u}}$、等离子体自由电子温度为$ k{T}_{\text{e}}=3$和$8\text{ eV} $、电子密度为${N_{\text{e}}} = {10^{18}}{\text{—}}{10^{20}}{\text{ cm}^{- 3}}$的情况下包含各种电离及复合过程的平衡速率方程, 给出了碳离子穿过氢等离子体的非平衡和平衡电荷态丰度随等离子体厚度的演化关系, 揭示了等离子体状态(温度、密度), 炮弹离子能量及初始电荷态对炮弹离子电荷态演化的调控机制. 进一步, 通过对比碳离子在氢等离子体与中性气体(氢气)中的动力学行为差异, 阐明了等离子体环境对离子电荷交换的独特影响. 本研究将对高能量密度物理领域中离子与等离子体相互作用的动力学演化及能量输运特性的研究具有重要参考作用.In this paper, the charge state evolution behavior of carbon ions interacting with hydrogen plasma is systematically investigated based on a cross-sectional model. First, the influence of introducing a “shifted” Maxwellian velocity distribution on the dielectronic recombination rate coefficients is investigated within the range of carbon ion incident energies from 1 keV/u to 100 MeV/u and hydrogen plasma electron temperatures of $k{T_{\text{e}}} = 1$–1000 eV. The rate coefficient data for this system are provided. On this basis, this research specifically solves the equilibrium rate equations by taking into account various ionization and recombination processes for projectile carbon ions with an energy of ${0}{\text{.5 MeV/u}}$, plasma electron temperatures of $k{T_{\text{e}}} = 3{\text{ eV}}$ and ${\text{8 eV}}$, and electron densities ranging from ${1}{{0}^{{18}}}{\text{ c}}{{\text{m}}^{{{ - 3}}}}$ to ${1}{{0}^{{20}}}{\text{ c}}{{\text{m}}^{{{ - 3}}}}$. The results show that the abundance of both non-equilibrium and equilibrium charge states of carbon ions passing through hydrogen plasma varies with plasma thickness, revealing how plasma conditions such as temperature and density, along with projectile ion energy and initial charge states, influence the evolution of the ion charge states. Furthermore, a comparison of the dynamic behaviors of carbon ions in hydrogen plasma and neutral gas (hydrogen) shows that the unique effects of the plasma environment on ion charge exchange are elucidated. The mean equilibrium charge state of projectile ions exhibits a positive correlation with electron temperature and a negative correlation with electron density. It is particularly important that the calculated equilibrium charge states in hydrogen gas targets are notably lower than those in plasma environments. As the initial charge state of projectile ions approaches its equilibrium value, the equilibrium thicknesses for all charge states demonstrate a decreasing trend, accompanied by a corresponding reduction in the mean equilibrium thickness. This phenomenon is consistently verified in both plasma and gas targets, with the mean equilibrium thickness values in gas targets being significantly smaller than those in plasma environments. Most importantly, when the initial charge state of projectile ions exceeds the equilibrium value, these ions display more pronounced energy loss characteristics in non-equilibrium regions. This study will provides important references for investigating the dynamic evolution and energy transport characteristics of ion-plasma interactions in the field of high-energy-density physics.
-
Keywords:
- effective charge /
- charge exchange /
- dielectronic recombination /
- charge-state distribution
[1] Bohr N 1913 Phil. Mag. 25 10
Google Scholar
[2] Bohr N 1915 Phil. Mag. 30 581
Google Scholar
[3] Rutherford E 1911 Philos. Mag. 21 669
Google Scholar
[4] Bethe H 1930 Ann. Phys. 397 325
Google Scholar
[5] Bloch F 1933 Ann. Phys. 408 285
Google Scholar
[6] Olsen J N, Mehlhorn T A, Maenchen J, Johnson D J 1985 J. Appl. Phys. 58 2958
Google Scholar
[7] Young F C, Mosher D, Stephanakis S J, Goldstein Shyke A 1982 Phys. Rev. Lett. 49 549
Google Scholar
[8] Mehlhorn D H H, Weyrich K, Wahl H, Gardés D, Bimbot R, Fleurier C 1990 Phys. Rev. A 42 2313
Google Scholar
[9] Koshkarev D G 2002 Laser Part. Beams 20 595
Google Scholar
[10] Dietrich K G, Hoffmann D H H, Boggasch E, Jacoby J, Wahl H, Elfers M, Haas C R, Dubenkov V P, Golubev A A 1992 Phys. Rev. Lett. 69 3623
Google Scholar
[11] Gardes D, Bimbot R, Rivet M F, Servajean A, Fleurier A, Hong D, Deutsch C, Maynard G 1990 Laser Part. Beam 8 575
Google Scholar
[12] Lindhard J 1964 Kongel. Dan. Vidensk. Selsk. Mat. Fys. Medd. 34 1
[13] Andersen H H, Ziegler J F 1977 Stopping and Ranges of Ions in Matter (Elmsford, NY: Pergamon
[14] Sigmund P 2006 Particle Penetration and Radiation Effects (Berlin: Springer
[15] Nardi E, Zinamon Z 1982 Phys. Rev. Lett. 49 1251
Google Scholar
[16] Peter T, Meyer-ter-Vehn J 1991 Phys. Rev. A 43 2015
Google Scholar
[17] Scheidenberger C, Stoehlker T, Meyerhof W E, Geissel H, Mokler P H, Blank B 1998 Nucl. Instrum. Methods Phys. Res. B 142 441
Google Scholar
[18] Rozet J P, Stephan C, Vernhet D 1996 Nucl. Instr. Methods B 107 67
Google Scholar
[19] Trubnikov B A 1965 Rev. Plasma Phys. 1 105
[20] Skupsky S 1977 Phys. Rev. A 16 727
Google Scholar
[21] Li C K, Petrasso R D 1993 Phys. Rev. Lett. 70 3059
Google Scholar
[22] Nuckolls J, Wood L, Thiessen A, Zimmerman G 1972 Nature 239 139
Google Scholar
[23] Kawata S, Karino T, Ogoyski A I 2016 Matter Radiat. Extrem 1 89
Google Scholar
[24] Tabak M, Hammer J, Glinsky M E, Kruer W L, Wilks S C, Woodworth J, Campbell E M, Perry M D, Mason R J 1994 Phys. Plasmas 1 1626
Google Scholar
[25] Roth M, Cowan T E, Key M H, Hatchett S P, Brown C, Fountain W, Johnson J, Pennington D M, Snavely R A, Wilks S C, Yasuike K, Ruhl H, Pegoraro E, Bulanov S V, Campbell E M, Perry M D, Powell H 2001 Phys. Rev. Lett. 86 436
Google Scholar
[26] Sharkov B Y, Hoffmann D H H, Golubev A A, Zhao Y T 2016 Matter Radiat. Extrem 1 28
Google Scholar
[27] 程锐, 张晟, 申国栋, 陈燕红, 张延师, 陈良文, 张子民, 赵全堂, 杨建成, 王瑜玉, 雷瑜, 林平, 杨杰, 杨磊, 马新文, 肖国青, 赵红卫, 詹文龙 2020 中国科学: 物理学 力学 天文学 50 112011
Google Scholar
Cheng R, Zhang S, Shen G D, Chen Y H, Zhang Y S, Chen L W, Zhang Z M, Zhao Q T, Yang J C, Wang Y Y, Lei Y, Lin P, Yang J, Yang L, Ma X W, Xiao G Q, Zhao H W, Zhan W L 2020 Sci. Sin. -Phys. Mech. Astron. 50 112011
Google Scholar
[28] Tolstikhina I Y, Imai M, Winckler N, Shevelko V P 2018 Basic Atomic Interactions of Accelerated Heavy Ions in Matter (Berlin: Springer-Verlag GmbH
[29] Tolstikhina I Y, Andreev S N, Vainshtein L A, Shevelko V P 2020 J. Quant. Spectrosc. Radiat. Transfer 246 106944
Google Scholar
[30] Weyrich K, Hoffmann D H H, Jacoby J, Wahl H, Noll R, Haas R, Kunze H, Bimbot R, Gardes D, Rivet M F, Deutsch C, Fleurier C 1990 Nucl. Instrum. Methods Phys. Res. Sect. A 278 52
Google Scholar
[31] Gardés D, Servajean A, Jubica B, Fleurier C, Hong D, Deutsch C, Maynard D 1992 Phys. Rev. A 46 5101
Google Scholar
[32] Gardés D, Bimbot R, Rivet M F, Servajean A, Fleurier C, Hong D, Deutsch C, Maynard G 1992 Particle Accelerators 37−38 361
[33] Couillaud C, Deicas R, Nardin P, Beuve M A, Guihaumé J M, Renaud R, Cukier M, Deutsch C, Maynard G 1994 Phys. Rev. E 49 1545
Google Scholar
[34] Jacoby J, Hoffmann D H H, Laux W, Muller R W, Wahl H, Weyrich K, Boggasch E, Heimrich B, Stockl C, Wetzler C, Miyamoto C 1995 Phys. Rev. Lett. 74 1550
Google Scholar
[35] Kojima M, Mitomo M, Sasaki T, Hasegawa J, Ogawa M 2002 Laser Part. Beams 20 475
Google Scholar
[36] Skobelev N K, Kalpakchieva R, Astabatyan R A, Vincour J, Kulko A A, Lobastov S P, Lukyanov S M, Markaryan E R, Maslov V A, Sobolev Y H, Ugryumov V Y 2005 Nucl. Instrum. Methods Phys. Res. Sect. B 227 471
Google Scholar
[37] Frank A, Blazevicé, Bagnoud V, Basko M M, Borner M, Cayzac W, Kraus D, Hessling T, Hoffmann D H H, Ortner A, Otten A, Pelka A, Pepler D, Schumacher D, Tauschwitz A, Roth M 2013 Phys. Rev. Lett. 110 115001
Google Scholar
[38] Gauthier M, Chen S N, Levy A, Audebert P, Blancard C, Ceccotti T, Cerchez M, Doria D, Floquet V, Lamour E, Peth C, Romagnani L, Rozet J P, Scheinder M, Shepherd R, Toncian T, Vernhet D, Willi O, Borghesi M, Faussurier G, Fuchs J 2013 Phys. Rev. Lett. 110 135003
Google Scholar
[39] Peter T, Arnold R, Meyer-ter-Vehn J 1986 Phys. Rev. Lett. 57 1859
Google Scholar
[40] Frank A, Blažević, A, Grande P L, Harres K, Heßling T, Hoffmann D H H, Knobloch-Maas R, Kuznetsov P G, Nürnberg F, Pelka A, Schaumann G, Schiwietz G, Schökel A, Schollmeier M, Schumacher D, Schütrumpf J, Vatulin V V, Vinokurov O A, Roth M 2010 Phys. Rev. E 81 026401
Google Scholar
[41] Ortner A, Frank A, Blažević A, Roth M 2015 Phys. Rev. E 91 023104
Google Scholar
[42] Cayzac W, Bagnoud V, Basko M M, Blažević A, Frank A, Gericke D O, Hallo L, Malka G, Ortner A, Tauschwitz A, Vorberger J, Roth M 2015 Phys. Rev. E 92 053109
Google Scholar
[43] Betz H 1972 Rev. Mod. Phys. 44 465
Google Scholar
[44] Kreussler S, Varelas C, Brandt W 1981 Phys. Rev. B 23 82
Google Scholar
[45] Gus’kov S Yu, Zmitrenko N V, Il’in D V, Levkovskii A A, Rozanov V B, Sherman V E 2009 Plasma Phys. Rep 35 709
Google Scholar
[46] Morales R, Barriga Carrasco M D, Casas D 2017 Phys. Plasmas 24 042703
Google Scholar
[47] Shevelko V P, Andreev S N, Tolstikhina I Y 2021 Nucl. Instrum. Methods Phys. Res. Sect. B 502 37
Google Scholar
[48] Tolstikhina I Y, Shevelko V P 2023 Matter Radiat. Extremes 8 044403
Google Scholar
[49] Novikov N V, Teplova Ya A 2021 J. Surf. Invest.: X-ray, Synch. Neut. Tech. 15 247
Google Scholar
[50] Betz H D 1983 Heavy Ion Charge States (New York: Academic Press
[51] Gryziński M 1965 Phys. Rev 138 A336
Google Scholar
[52] Lotz W 1967 Z. Phys 206 205
Google Scholar
[53] Lotz W 1968 Z. Phys 216 241
Google Scholar
[54] Peter T 1990 Laser Part. Beams 8 643
Google Scholar
[55] Zel'dovich Ya B, Raizer Yu P, Hayes W D, Probstein R F, Landshoff R 1966 Physics of Shock Waves and High- Temperature Hydrodynamic Phenomena (New York: Academic Press
[56] May R M 1964 Phys. Rev 136 A669
Google Scholar
[57] Eichler J, Chan F T 1979 Phys. Rev. A 20 104
Google Scholar
[58] Chung H K, Chen M H, Morgan W L, Ralchenko Y, Lee R W 2005 High Energy Density Phys 1 3
Google Scholar
[59] Gu M F 2008 Can. J. Phys 85 675
Google Scholar
-
图 2 $80{\text{ keV/u}}$的C离子入射“shift”DR速率系数随自由电子温度的变化 (a) ${{\text{C}}^{ {{1 + }}}}$离子速率系数; (b) ${{\text{C}}^{ {{2 + }}}}$离子速率系数; (c) ${{\text{C}}^{ {{3 + }}}}$离子速率系数; (d) ${{\text{C}}^{ {{4 + }}}}$离子速率系数
Fig. 2. Variation of the “shift” DR rate coefficients with free electron temperature for 80 keV/u C ions: (a) Rate coefficients of ${{\text{C}}^{ {{1 + }}}}$ ions; (b) rate coefficients of ${{\text{C}}^{ {{2 + }}}}$ ions; (c) rate coefficients of ${{\text{C}}^{ {{3 + }}}}$ ions; (d) rate coefficients of ${{\text{C}}^{ {{4 + }}}}$ ions.
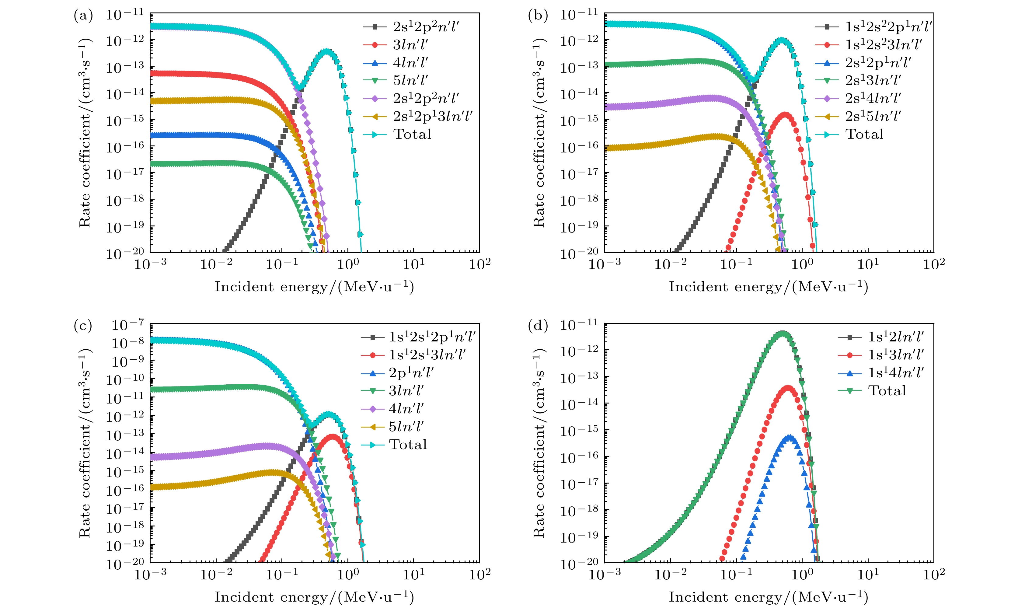
图 3 等离子体自由电子温度为$10{\text{ eV}}$条件下, (a) C1+, (b) C2+, (c) C3+和(d) C4+离子在入射能为${1} {\text{ keV/u}}{\text{—}}{100} {\text{ MeV/u}}$时, 不同芯激发序列以及总的“shift”DR速率系数变化
Fig. 3. At a plasma electron temperature of 10 eV, the variation of both individual core-excitation sequences and the total “shift” DR rate coefficients for (a) C1+, (b) C2+, (c) C3+ and (d) C4+ ions over an incident energy of ${1} {\text{ keV/u}}{\text{—}}{100} {\text{ MeV/u}}$.
图 4 等离子体电子密度$ {N_{\text{e}}} = {10^{18}}{\text{ c}}{{\text{m}}^{{{ - 3}}}} $及不同电子温度下碳离子与氢等离子体相互作用过程1)—7)的电离和复合速率随电荷态$q$的变化 (a) 电子温度$ k{T_{\text{e}}} = 3{\text{ eV}} $, 氢原子的密度${N_{\text{H}}} = 2.57 \times {10^{16}}{\text{ c}}{{\text{m}}^{{{ - 3}}}}$; (b) 电子温度$ k{T_{\text{e}}} = 8{\text{ eV}} $, 氢原子的密度${N_{\text{H}}} = 7.65 \times {10^{15}}{\text{ c}}{{\text{m}}^{{{ - 3}}}}$
Fig. 4. Dependence of ionization and recombination rates (Processes 1)—7)) on the charge state $q$ for carbon ions interacting with hydrogen plasma at a fixed electron density $ {N_{\text{e}}} = {10^{18}}{\text{ c}}{{\text{m}}^{{{ - 3}}}} $ under different electron temperatures: (a) For electron temperature $ k{T_{\text{e}}} = 3{\text{ eV}} $ with hydrogen atomic density ${N_{\text{H}}} = 2.57 \times {10^{16}}{\text{ c}}{{\text{m}}^{{{ - 3}}}}$ (b) for electron temperature $ k{T_{\text{e}}} = 8{\text{ eV}} $ with hydrogen atomic density ${N_{\text{H}}} = 7.65 \times {10^{15}}{\text{ c}}{{\text{m}}^{{{ - 3}}}}$.
图 5 等离子体电子温度为$ k{T_{\text{e}}} = 10{\text{ eV}} $及不同电子密度下碳离子与氢等离子体相互作用过程1)—7)的电离和复合速率随电荷态$q$的变化 (a) 电子密度${N_{\text{e}}} = {10^{19}}{\text{ c}}{{\text{m}}^{ - 3}}$, 氢原子的密度$ {N_{\text{H}}} = 1.54 \times {10^{17}}{\text{ c}}{{\text{m}}^{{{ - 3}}}} $; (b) 电子密度${N_{\text{e}}} = {10^{20}}{\text{ c}}{{\text{m}}^{ - 3}}$, 氢原子的密度$ {N_{\text{H}}} = 3.62 \times {10^{18}}{\text{ c}}{{\text{m}}^{{{ - 3}}}} $
Fig. 5. Dependence of ionization and recombination rates (processes 1)—7)) on the charge state $q$ for carbon ions interacting with hydrogen plasma at a fixed electron temperature $ k{T_{\text{e}}} = 10{\text{ eV}} $ under different electron densities: (a) Electron density ${N_{\text{e}}} = {10^{19}}{\text{ c}}{{\text{m}}^{ - 3}}$ with hydrogen atomic density $ {N_{\text{H}}} = 1.54 \times {10^{17}}{\text{ c}}{{\text{m}}^{{{ - 3}}}} $; (b) electron density ${N_{\text{e}}} = {10^{20}}{\text{ c}}{{\text{m}}^{ - 3}}$ with hydrogen atomic density $ {N_{\text{H}}} = 3.62 \times {10^{18}}{\text{ c}}{{\text{m}}^{{{ - 3}}}} $.
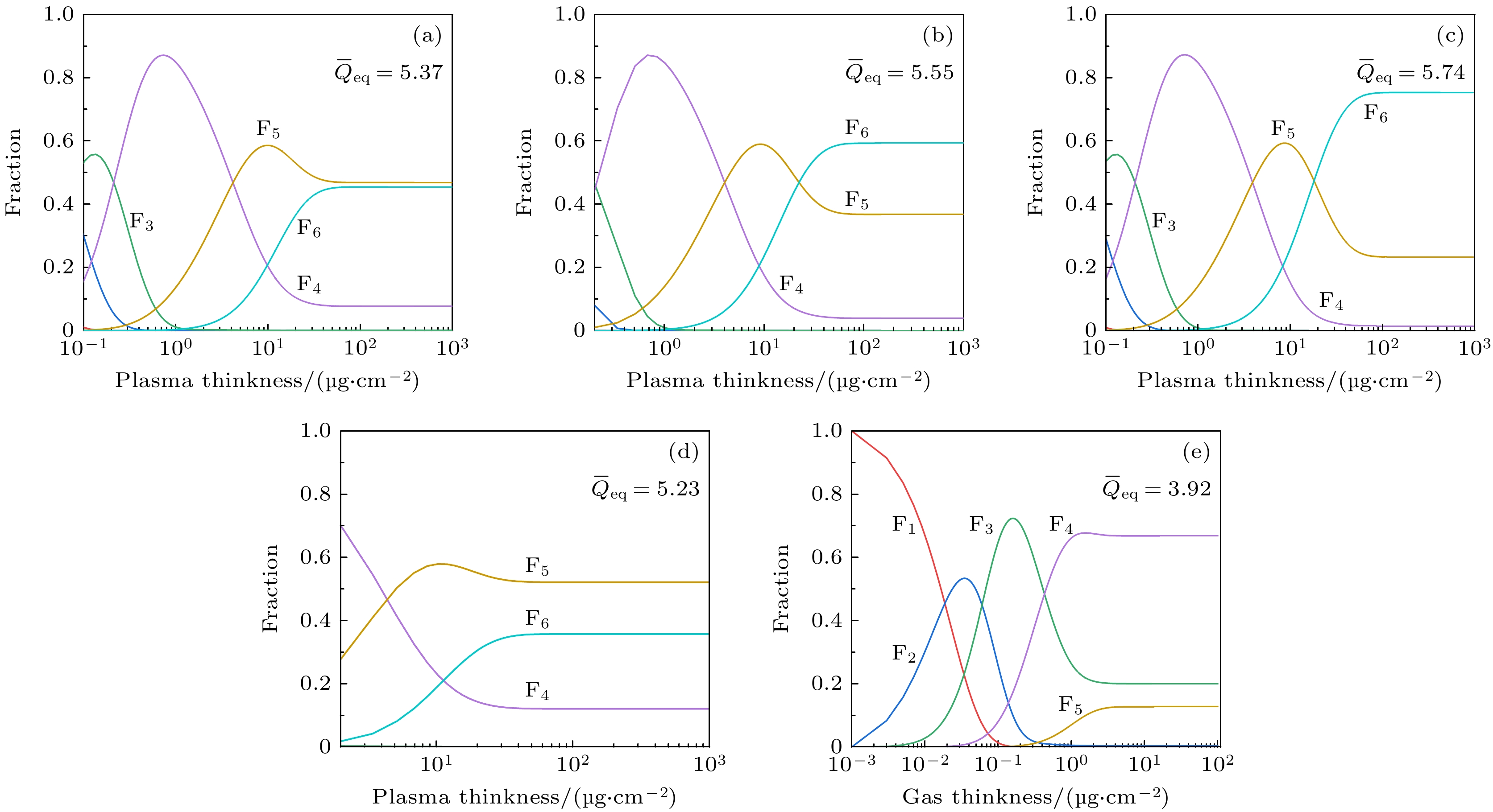
图 6 能量为$0.5{\text{ MeV/u}}$ 的${{\text{C}}^{{{1 + }}}}$穿过不同参数下氢等离子体和氢气的电荷态分布 (a) 电子密度${N_{\text{e}}} = {10^{18}}{\text{ c}}{{\text{m}}^{{{ - 3}}}}$, 电子温度$k{T_{\text{e}}} = 3{\text{ }}{\text{eV}}$; (b) 电子密度${N_{\rm e}} = {10^{19}}{\text{ c}}{{\text{m}}^{{{ - 3}}}}$, 电子温度$k{T_{\text{e}}} = 10{\text{ }}{\text{eV}}$; (c) 电子密度${N_{\text{e}}} = {10^{18}}{\text{ c}}{{\text{m}}^{{{ - 3}}}}$, 电子温度$k{T_{\text{e}}} = 8{\text{ }}{\text{eV}}$; (d) 电子密度${N_{\text{e}}} = {10^{20}}{\text{ c}}{{\text{m}}^{{{ - 3}}}}$, 电子温度$k{T_{\text{e}}} = 10{\text{ }}{\text{eV}}$; (e) 氢气靶
Fig. 6. Charge state distribution of ${{\text{C}}^{{{1 + }}}}$ with an energy of $0.5{\text{ MeV/u}}$ passing through hydrogen plasma and hydrogen gas under different parameters: (a) Electron density ${N_{\text{e}}} = {10^{18}}{\text{ c}}{{\text{m}}^{{{ - 3}}}}$, electron temperature $k{T_{\text{e}}} = 3{\text{ }}{\text{eV}}$; (b) electron density ${N_{\text{e}}} = {10^{19}}{\text{ c}}{{\text{m}}^{{{ - 3}}}}$, electron temperature $k{T_{\text{e}}} = 10{\text{ }}{\text{eV}}$; (c) electron density ${N_{\text{e}}} = {10^{18}}{\text{ c}}{{\text{m}}^{{{ - 3}}}}$, electron temperature $k{T_{\text{e}}} = 8{\text{ }}{\text{eV}}$; (d) electron density ${N_{\text{e}}} = {10^{20}}{\text{ c}}{{\text{m}}^{{{ - 3}}}}$, electron temperature $k{T_{\text{e}}} = 10{\text{ }}{\text{eV}}$; (e) hydrogen gas target.
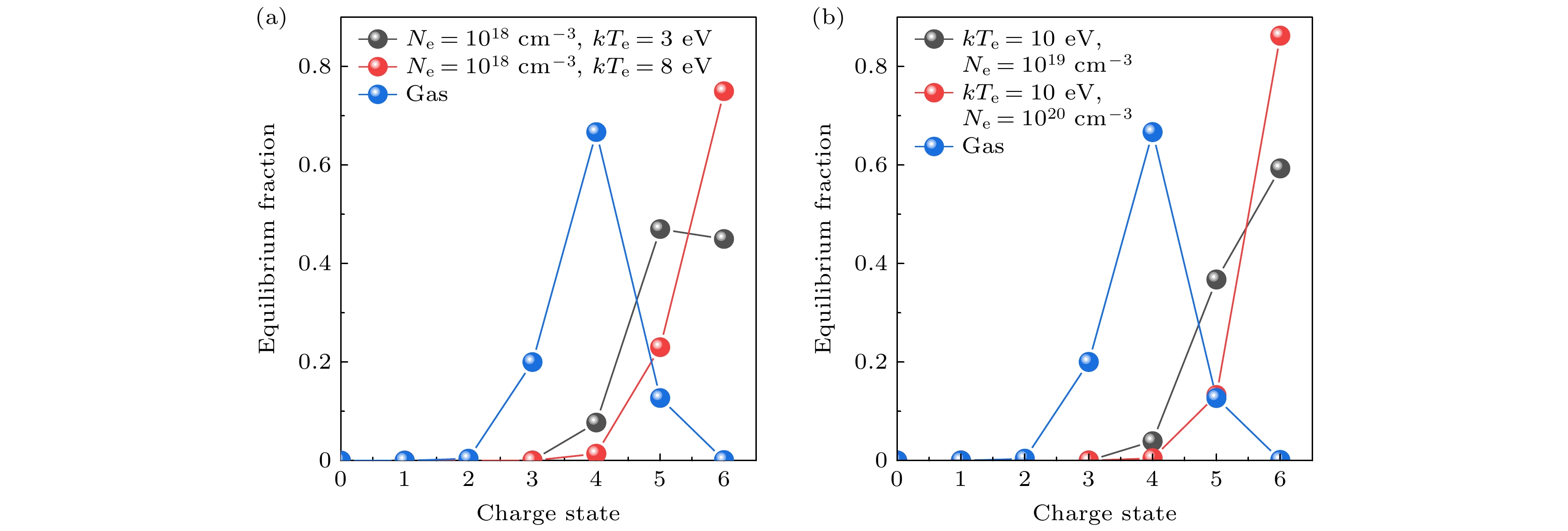
图 7 能量为$0.5{\text{ MeV/u}}$的${{\text{C}}^{{{1 + }}}}$穿过不同参数下氢等离子体和氢气的平衡电荷态分布 (a) 电子密度${N_{\text{e}}} = {10^{18}}{\text{ c}}{{\text{m}}^{{{ - 3}}}}$, 电子温度$k{T_{\text{e}}} = 3{\text{ }}{\text{eV}}$和$8{\text{ eV}}$以及氢气靶中的平衡电荷态分布; (b) 电子温度$k{T_{\text{e}}} = 10{\text{ }}{\text{eV}}$, 电子密度${N_{\text{e}}} = {10^{19}}{\text{ c}}{{\text{m}}^{{{ - 3}}}}$和${10^{20}}{\text{ c}}{{\text{m}}^{ - 3}}$以及氢气靶中的平衡电荷态分布
Fig. 7. Equilibrium charge state distribution of ${{\text{C}}^{{{1 + }}}}$ with an energy of $0.5{\text{ MeV/u}}$ passing through hydrogen plasma and hydrogen gas under different parameters: (a) Equilibrium charge state distribution for electron density ${N_{\text{e}}} = {10^{18}}{\text{ c}}{{\text{m}}^{{{ - 3}}}}$, electron temperature $k{T_{\text{e}}} = 3{\text{ }}{\text{eV}}$ and $8{\text{ eV}}$ as well as hydrogen gas target; (b) equilibrium charge state distribution for electron temperature $k{T_{\text{e}}} = 10{\text{ }}{\text{eV}}$, electron density ${N_{\text{e}}} = {10^{19}}{\text{ c}}{{\text{m}}^{{{ - 3}}}}$ and $ {10^{20}}{\text{ c}}{{\text{m}}^{{{ - 3}}}} $ as well as hydrogen gas target.
图 8 不同初始电荷态${q_0}$对平衡厚度$ {x_{{\text{eq}}}}(q) $和平均平衡厚度$ {\overline x _{{\text{eq}}}} $的影响 (a) 与电子温度$ k{T_{\text{e}}} = 8{\text{ eV}} $, 电子密度为${N_{\text{e}}} = $$ {10^{18}}{\text{ c}}{{\text{m}}^{{{ - 3}}}}$的氢等离子体作用; (b) 与氢气靶作用
Fig. 8. Influences of different initial charge states ${q_0}$ on the equlibrium thickness $ {x_{{\text{eq}}}}(q) $ and the mean eqilibrium thickness $ {\overline x _{{\text{eq}}}} $: (a) Interaction with hydrogen plasma at an electron temperature $ k{T_{\text{e}}} = 8{\text{ eV}} $ and electron density ${N_{\text{e}}} = {10^{18}}{\text{ c}}{{\text{m}}^{{{ - 3}}}}$; (b) interaction with a hydrogen gas target.
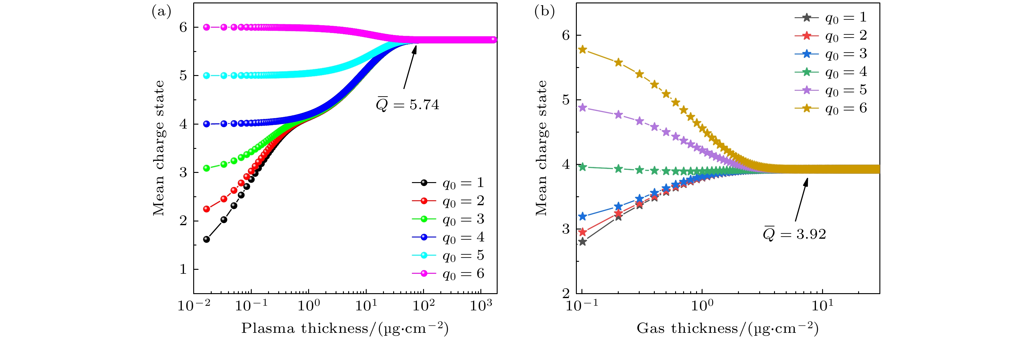
图 9 不同的初始电荷态${q_0}$下, 平均电荷态随穿透深度的变化 (a) 与电子温度$ k{T_{\text{e}}} = 8{\text{ eV}} $, 电子密度为${N_{\text{e}}} = {10^{18}}{\text{ c}}{{\text{m}}^{{{ - 3}}}}$的氢等离子体作用; (b) 与氢气靶作用
Fig. 9. Variation of the mean charge state with penetration depth under different initial charge states ${q_0}$: (a) Interaction with hydrogen plasma at an electron temperature $ k{T_{\text{e}}} = 8{\text{ eV}} $ and electron density ${N_{\text{e}}} = {10^{18}}{\text{ c}}{{\text{m}}^{{{ - 3}}}}$; (b) interaction with a hydrogen gas target.
-
[1] Bohr N 1913 Phil. Mag. 25 10
Google Scholar
[2] Bohr N 1915 Phil. Mag. 30 581
Google Scholar
[3] Rutherford E 1911 Philos. Mag. 21 669
Google Scholar
[4] Bethe H 1930 Ann. Phys. 397 325
Google Scholar
[5] Bloch F 1933 Ann. Phys. 408 285
Google Scholar
[6] Olsen J N, Mehlhorn T A, Maenchen J, Johnson D J 1985 J. Appl. Phys. 58 2958
Google Scholar
[7] Young F C, Mosher D, Stephanakis S J, Goldstein Shyke A 1982 Phys. Rev. Lett. 49 549
Google Scholar
[8] Mehlhorn D H H, Weyrich K, Wahl H, Gardés D, Bimbot R, Fleurier C 1990 Phys. Rev. A 42 2313
Google Scholar
[9] Koshkarev D G 2002 Laser Part. Beams 20 595
Google Scholar
[10] Dietrich K G, Hoffmann D H H, Boggasch E, Jacoby J, Wahl H, Elfers M, Haas C R, Dubenkov V P, Golubev A A 1992 Phys. Rev. Lett. 69 3623
Google Scholar
[11] Gardes D, Bimbot R, Rivet M F, Servajean A, Fleurier A, Hong D, Deutsch C, Maynard G 1990 Laser Part. Beam 8 575
Google Scholar
[12] Lindhard J 1964 Kongel. Dan. Vidensk. Selsk. Mat. Fys. Medd. 34 1
[13] Andersen H H, Ziegler J F 1977 Stopping and Ranges of Ions in Matter (Elmsford, NY: Pergamon
[14] Sigmund P 2006 Particle Penetration and Radiation Effects (Berlin: Springer
[15] Nardi E, Zinamon Z 1982 Phys. Rev. Lett. 49 1251
Google Scholar
[16] Peter T, Meyer-ter-Vehn J 1991 Phys. Rev. A 43 2015
Google Scholar
[17] Scheidenberger C, Stoehlker T, Meyerhof W E, Geissel H, Mokler P H, Blank B 1998 Nucl. Instrum. Methods Phys. Res. B 142 441
Google Scholar
[18] Rozet J P, Stephan C, Vernhet D 1996 Nucl. Instr. Methods B 107 67
Google Scholar
[19] Trubnikov B A 1965 Rev. Plasma Phys. 1 105
[20] Skupsky S 1977 Phys. Rev. A 16 727
Google Scholar
[21] Li C K, Petrasso R D 1993 Phys. Rev. Lett. 70 3059
Google Scholar
[22] Nuckolls J, Wood L, Thiessen A, Zimmerman G 1972 Nature 239 139
Google Scholar
[23] Kawata S, Karino T, Ogoyski A I 2016 Matter Radiat. Extrem 1 89
Google Scholar
[24] Tabak M, Hammer J, Glinsky M E, Kruer W L, Wilks S C, Woodworth J, Campbell E M, Perry M D, Mason R J 1994 Phys. Plasmas 1 1626
Google Scholar
[25] Roth M, Cowan T E, Key M H, Hatchett S P, Brown C, Fountain W, Johnson J, Pennington D M, Snavely R A, Wilks S C, Yasuike K, Ruhl H, Pegoraro E, Bulanov S V, Campbell E M, Perry M D, Powell H 2001 Phys. Rev. Lett. 86 436
Google Scholar
[26] Sharkov B Y, Hoffmann D H H, Golubev A A, Zhao Y T 2016 Matter Radiat. Extrem 1 28
Google Scholar
[27] 程锐, 张晟, 申国栋, 陈燕红, 张延师, 陈良文, 张子民, 赵全堂, 杨建成, 王瑜玉, 雷瑜, 林平, 杨杰, 杨磊, 马新文, 肖国青, 赵红卫, 詹文龙 2020 中国科学: 物理学 力学 天文学 50 112011
Google Scholar
Cheng R, Zhang S, Shen G D, Chen Y H, Zhang Y S, Chen L W, Zhang Z M, Zhao Q T, Yang J C, Wang Y Y, Lei Y, Lin P, Yang J, Yang L, Ma X W, Xiao G Q, Zhao H W, Zhan W L 2020 Sci. Sin. -Phys. Mech. Astron. 50 112011
Google Scholar
[28] Tolstikhina I Y, Imai M, Winckler N, Shevelko V P 2018 Basic Atomic Interactions of Accelerated Heavy Ions in Matter (Berlin: Springer-Verlag GmbH
[29] Tolstikhina I Y, Andreev S N, Vainshtein L A, Shevelko V P 2020 J. Quant. Spectrosc. Radiat. Transfer 246 106944
Google Scholar
[30] Weyrich K, Hoffmann D H H, Jacoby J, Wahl H, Noll R, Haas R, Kunze H, Bimbot R, Gardes D, Rivet M F, Deutsch C, Fleurier C 1990 Nucl. Instrum. Methods Phys. Res. Sect. A 278 52
Google Scholar
[31] Gardés D, Servajean A, Jubica B, Fleurier C, Hong D, Deutsch C, Maynard D 1992 Phys. Rev. A 46 5101
Google Scholar
[32] Gardés D, Bimbot R, Rivet M F, Servajean A, Fleurier C, Hong D, Deutsch C, Maynard G 1992 Particle Accelerators 37−38 361
[33] Couillaud C, Deicas R, Nardin P, Beuve M A, Guihaumé J M, Renaud R, Cukier M, Deutsch C, Maynard G 1994 Phys. Rev. E 49 1545
Google Scholar
[34] Jacoby J, Hoffmann D H H, Laux W, Muller R W, Wahl H, Weyrich K, Boggasch E, Heimrich B, Stockl C, Wetzler C, Miyamoto C 1995 Phys. Rev. Lett. 74 1550
Google Scholar
[35] Kojima M, Mitomo M, Sasaki T, Hasegawa J, Ogawa M 2002 Laser Part. Beams 20 475
Google Scholar
[36] Skobelev N K, Kalpakchieva R, Astabatyan R A, Vincour J, Kulko A A, Lobastov S P, Lukyanov S M, Markaryan E R, Maslov V A, Sobolev Y H, Ugryumov V Y 2005 Nucl. Instrum. Methods Phys. Res. Sect. B 227 471
Google Scholar
[37] Frank A, Blazevicé, Bagnoud V, Basko M M, Borner M, Cayzac W, Kraus D, Hessling T, Hoffmann D H H, Ortner A, Otten A, Pelka A, Pepler D, Schumacher D, Tauschwitz A, Roth M 2013 Phys. Rev. Lett. 110 115001
Google Scholar
[38] Gauthier M, Chen S N, Levy A, Audebert P, Blancard C, Ceccotti T, Cerchez M, Doria D, Floquet V, Lamour E, Peth C, Romagnani L, Rozet J P, Scheinder M, Shepherd R, Toncian T, Vernhet D, Willi O, Borghesi M, Faussurier G, Fuchs J 2013 Phys. Rev. Lett. 110 135003
Google Scholar
[39] Peter T, Arnold R, Meyer-ter-Vehn J 1986 Phys. Rev. Lett. 57 1859
Google Scholar
[40] Frank A, Blažević, A, Grande P L, Harres K, Heßling T, Hoffmann D H H, Knobloch-Maas R, Kuznetsov P G, Nürnberg F, Pelka A, Schaumann G, Schiwietz G, Schökel A, Schollmeier M, Schumacher D, Schütrumpf J, Vatulin V V, Vinokurov O A, Roth M 2010 Phys. Rev. E 81 026401
Google Scholar
[41] Ortner A, Frank A, Blažević A, Roth M 2015 Phys. Rev. E 91 023104
Google Scholar
[42] Cayzac W, Bagnoud V, Basko M M, Blažević A, Frank A, Gericke D O, Hallo L, Malka G, Ortner A, Tauschwitz A, Vorberger J, Roth M 2015 Phys. Rev. E 92 053109
Google Scholar
[43] Betz H 1972 Rev. Mod. Phys. 44 465
Google Scholar
[44] Kreussler S, Varelas C, Brandt W 1981 Phys. Rev. B 23 82
Google Scholar
[45] Gus’kov S Yu, Zmitrenko N V, Il’in D V, Levkovskii A A, Rozanov V B, Sherman V E 2009 Plasma Phys. Rep 35 709
Google Scholar
[46] Morales R, Barriga Carrasco M D, Casas D 2017 Phys. Plasmas 24 042703
Google Scholar
[47] Shevelko V P, Andreev S N, Tolstikhina I Y 2021 Nucl. Instrum. Methods Phys. Res. Sect. B 502 37
Google Scholar
[48] Tolstikhina I Y, Shevelko V P 2023 Matter Radiat. Extremes 8 044403
Google Scholar
[49] Novikov N V, Teplova Ya A 2021 J. Surf. Invest.: X-ray, Synch. Neut. Tech. 15 247
Google Scholar
[50] Betz H D 1983 Heavy Ion Charge States (New York: Academic Press
[51] Gryziński M 1965 Phys. Rev 138 A336
Google Scholar
[52] Lotz W 1967 Z. Phys 206 205
Google Scholar
[53] Lotz W 1968 Z. Phys 216 241
Google Scholar
[54] Peter T 1990 Laser Part. Beams 8 643
Google Scholar
[55] Zel'dovich Ya B, Raizer Yu P, Hayes W D, Probstein R F, Landshoff R 1966 Physics of Shock Waves and High- Temperature Hydrodynamic Phenomena (New York: Academic Press
[56] May R M 1964 Phys. Rev 136 A669
Google Scholar
[57] Eichler J, Chan F T 1979 Phys. Rev. A 20 104
Google Scholar
[58] Chung H K, Chen M H, Morgan W L, Ralchenko Y, Lee R W 2005 High Energy Density Phys 1 3
Google Scholar
[59] Gu M F 2008 Can. J. Phys 85 675
Google Scholar
计量
- 文章访问数: 2119
- PDF下载量: 58
- 被引次数: 0








下载: