-
The optical vortex (OV) and spatiotemporal optical vortex (STOV) are special beams carrying different forms of orbital angular momentum (OAM). The OV has longitudinal OAM, whereas the STOV has transverse OAM and is coordinated with time to achieve control. Due to their reliance on different physical mechanisms, traditional optical platforms are difficult to independently control these two vortex beams on the same platform. This limitation, to some extent, hinders the understanding of the unified physical mechanism underlying spatial and spatiotemporal orbital angular momentum and also slows the development of multi-dimensional light field manipulation technology. This paper proposes a terahertz (THz) metasurface device based on vanadium dioxide (VO2) phase change material. The device integrates in-plane asymmetry, provided by triangular pores and required to excite STOV, with anisotropic phase units, realized by VO2 broken rings and needed to generate OV, into one metasurface platform, This integration enables dynamic switching of OV and STOV on the same metasurface platform. The uniqueness of its design and the key to achieving functional integration lie in the selection of Si and VO2 materials for the upper layer of the metasurface. When VO2 is in the insulating state, its dielectric constant in the THz band is similar to that of Si and its conductivity is very low. Different rotation angles of the units can still be considered as a periodic structure with the same symmetry on a macroscopic scale. The structure uses circularly polarized waves for reflection, generating a topological dark point at approximately 1.376 THz and a topological dark line between 1.3765 THz and 1.378 THz, which excites STOV. When VO2 transforms into a metallic state, its high conductivity makes the broken ring a dominant scatterer. By reasonably arranging the encoded units of the metasurface and combining the Pancharatnam-Berry (PB) phase, not only can OV with different topological charges be generated, but also multi-channel and multi-functional OV can be created through convolution theorem and shared aperture theorem. Subsequently, the influence of structural parameters is analyzed in detail. By changing the shape of the triangular pores and the thickness of the broken ring, the two vortex beams are adjusted, and it is found that they have strong topological stability under different conditions and can be reversibly switched through temperature control. This research provides a new idea for realizing multifunctional vortex light generation in the terahertz frequency band and opens up new avenues for the application of vortex light in terahertz communication and optical information processing.
-
Keywords:
- terahertz /
- metasurface /
- vortex beam /
- phase-change material
[1] Tonouchi M 2007 Nat. Photonics 1 97
Google Scholar
[2] El Haddad J, Bousquet B, Canioni L, Mounaix P 2013 TrAC-Trends Anal. Chem. 44 98
Google Scholar
[3] Yu X Q, Zeng Y S, Song L W, et al. 2023 Nat. Photonics 17 957
Google Scholar
[4] Jiang W, Zhou Q, He J, et al. 2024 IEEE Commun. Surv. Tutor. 26 2326
Google Scholar
[5] Boulogeorgos A A A, Alexiou A, Merkle T, et al. 2018 IEEE Commun. Mag. 56 144
Google Scholar
[6] Akyildiz I F, Jornet J M 2016 Nano Commun. Netw. 8 46
Google Scholar
[7] Lee D K, Kang J H, Lee J S, Kim H S, Kim C, Hun Kim J, Lee T, Son J H, Park Q H, Seo M 2015 Sci. Rep. 5 15459
Google Scholar
[8] Zhang X, Liu J, Qin J 2023 Nanoscale Adv. 5 2210
Google Scholar
[9] Zhang Z, Wang Z, Zhang C, Yao Z, Zhang S, Wang R, Tian Z, Han J, Chang C, Lou J 2024 Adv. Mater. 36 2308453
Google Scholar
[10] Giordano M C, Viti L, Mitrofanov O, Vitiello M S 2018 Optica 5 651
Google Scholar
[11] Vallés A, He J, Ohno S, Omatsu T, Miyamoto K 2020 Opt. Express 28 28868
Google Scholar
[12] Kuo C H, Wu M H, Chen C R, Lin Y J, Laurell F, Huang Y C 2023 Sci. Rep. 13 5843
Google Scholar
[13] Jia M, Wang Z, Li H, Wang X, Luo W, Sun S, Zhang Y, He Q, Zhou L 2019 Light: Sci. Appl. 8 16
Google Scholar
[14] Guo Z, Zhou Y, Yang H, Li S, Li T, Cao X 2023 Opt. Express 31 35086
Google Scholar
[15] Zhou Y, Zhang T, Wang G, Guo Z, Zang X, Zhu Y, Ding F, Zhuang S 2024 Adv. Sci. 11 2406571
Google Scholar
[16] 蒋铭阳, 李九生 2025 74 028701
Google Scholar
Jiang M Y, Li J S 2025 Acta Phys. Sin. 74 028701
Google Scholar
[17] Cui T J, Qi M Q, Wan X, Zhao J, Cheng Q 2014 Light: Sci. Appl. 3 e218
Google Scholar
[18] Wu R Y, Shi C B, Liu S, Wu W, Cui T J 2018 Adv. Opt. Mater. 6 1701236
Google Scholar
[19] Liu S, Cui T J, Zhang L, Xu Q, Wang Q, Wan X, Gu J Q, Tang W X, Qing Qi M, Han J G 2016 Adv. Sci. 3 1600156
Google Scholar
[20] Zhang L, Wang Z X, Shao R W, Shen J L, Chen X Q, Wan X, Cheng Q, Cui T J 2019 IEEE Trans. Antennas Propag. 68 2984
Google Scholar
[21] Tian S, Li Y, Xu J 2025 Phys. Lett. A 532 130186
Google Scholar
[22] Zhu S Y, Deng X H, Liu Y S, Geng J Q, Bao Y X, Zhang Y Q, Lou Y K 2025 Phys. Lett. A 555 130776
Google Scholar
[23] Yu N F, Genevet P, Kats M A, Aieta F, Tetienne J P, Capasso F, Gaburro Z 2011 Science 334 333
Google Scholar
[24] Devlin R C, Ambrosio A, Rubin N A, Mueller J B, Capasso F 2017 Science 358 896
Google Scholar
[25] 黄若彤, 李九生 2023 72 054203
Google Scholar
Huang R T, Li J S 2023 Acta Phys. Sin. 72 054203
Google Scholar
[26] Wang Z R, Chen D C, Hong R, Wu D J 2025 Chin. Phys. B 34 094302
Google Scholar
[27] Yao A M, Padgett M J 2011 Adv. Opt. Photonics 3 161
Google Scholar
[28] Wang X W, Nie Z Q, Liang Y, Wang J, Li T, Jia B H 2018 Nanophotonics 7 1533
Google Scholar
[29] Bliokh K Y, Bekshaev A Y, Nori F 2017 Phys. Rev. Lett. 119 073901
Google Scholar
[30] Firth W J, Skryabin D V 1997 Phys. Rev. Lett. 79 2450
Google Scholar
[31] Soskin M, Gorshkov V, Vasnetsov M, Malos J, Heckenberg N 1997 Phys. Rev. A 56 4064
Google Scholar
[32] Chen M, Mazilu M, Arita Y, Wright E M, Dholakia K 2013 Opt. Lett. 38 4919
Google Scholar
[33] Prinz E, Hartelt M, Spektor G, Orenstein M, Aeschlimann M 2023 ACS Photonics 10 340
Google Scholar
[34] Zhang Z F, Qiao X D, Midya B, et al. 2020 Science 368 760
Google Scholar
[35] Liu Y W, Lao C H, Wang M, et al. 2024 Nat. Photonics 18 632
Google Scholar
[36] Chen B, Zhou Y G, Liu Y, et al. 2024 Nat. Photonics 18 625
Google Scholar
[37] Perez N, Preece D, Wilson R, Bezryadina A 2022 Sci. Rep. 12 14144
Google Scholar
[38] Zhao M T, Liang X Z, Li J S, et al. 2022 Laser Photonics Rev. 16 2200230
Google Scholar
[39] Bliokh K Y, Nori F 2012 Phys. Rev. A 86 033824
Google Scholar
[40] Hancock S, Zahedpour S, Milchberg H 2021 Phys. Rev. Lett. 127 193901
Google Scholar
[41] Jhajj N, Larkin I, Rosenthal E, Zahedpour S, Wahlstrand J, Milchberg H 2016 Phys. Rev. X 6 031037
Google Scholar
[42] Cao Q, Chen J, Lu K Y, Wan C H, Chong A, Zhan Q W 2022 Sci. Bull. 67 133
Google Scholar
[43] Wan C H, Chong A, Zhan Q W 2023 Elight 3 11
Google Scholar
[44] Liu X, Cao Q, Zhang N J, Chong A, Cai Y J, Zhan Q W 2024 Nat. Commun. 15 5435
Google Scholar
[45] Chong A, Wan C H, Chen J, Zhan Q W 2020 Nat. Photonics 14 350
Google Scholar
[46] Liu W Z, Wang J J, Tang Y, Wang X H, Zhao X Q, Shi L, Zi J, Chan C T 2024 Nano Lett. 24 943
Google Scholar
[47] Che Z Y, Liu W Z, Ye J Y, Shi L, Chan C T, Zi J 2024 Phys. Rev. Lett. 132 044001
Google Scholar
[48] Zhou Y, Zou R W, Zhan J J, et al. 2025 Laser Photonics Rev. 19 2401391
Google Scholar
[49] Li Y X, Zhang H Y, Chen J X, Wang J C, Yu J Y, Liu M, Zhang M, Zhang Y P 2025 Opt. Express 33 34604
Google Scholar
[50] Deng F Z, Ma K, Ma Y M, et al. 2025 Photonics Res. 13 1408
Google Scholar
[51] Huang J Y, Zhang H L, Wu B J, Zhu T F, Ruan Z C 2023 Phys. Rev. B 108 104106
Google Scholar
[52] Liu M K, Hwang H Y, Tao H, et al. 2012 Nature 487 345
Google Scholar
[53] Zylbersztejn A, Mott N F 1975 Phys. Rev. B 11 4383
Google Scholar
[54] Shao Z W, Cao X, Luo H J, Jin P 2018 NPG Asia Mater. 10 581
Google Scholar
[55] Wang S X, Kang L, Werner D H 2017 Sci. Rep. 7 4326
Google Scholar
-
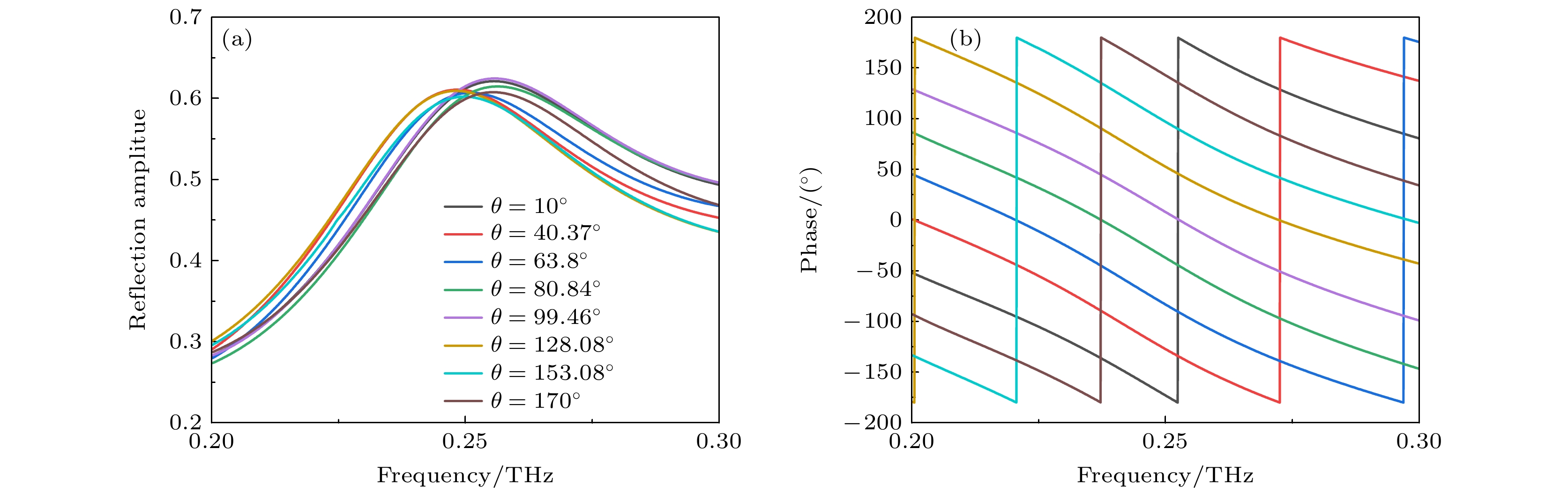
图 2 VO2绝缘态工作模式示意图和STOV发生器的工作原理 (a) 当VO2温度低于68 ℃, 系统能够反射生成STOV光束; (b) 在谐振频率处的完全极化转换轨迹, 如图中箭头表示
Figure 2. Schematic diagram of the VO2 insulating state working mode and the working principle of the STOV generator: (a) When the VO2 temperature is lower than 68 ℃, the system is capable of generating the STOV beam; (b) the trajectory of complete polarization conversion at the resonant frequency, as indicated by the arrows in the figure.
图 4 VO2为绝缘态时, 入射RCP光激发生成STOV表征传输散射方程在$\omega \text{-} {k_x}$域的同极化(a)反射幅度和(c)相位图; 入射频率在1.377 THz时, 波矢平面中的同极化(b)反射幅度和(d)相位图
Figure 4. When VO2 is in the insulating state, the incident RCP light is excited to generate STOV, which characterizes the transmission scattering equation in the $\omega \text{-} {k_x}$ domain for the same polarization (a) reflection amplitude and (c) phase diagram; for the incident frequency of 1.377 THz, the same polarization (b) reflection amplitude and (d) phase diagram in the wave vector plane.
图 5 三维频率-波矢空间中拓扑暗线的仿真验证 (a), (c) 不同频率下波矢空间的反射率图和相位图, 其中拓扑暗线用黑色曲线表示; (b) ky = 0时, 传输散射方程在$\omega \text{-} {k_x}$域的同极化反射幅度图
Figure 5. Simulation verification of topological dark lines in the three-dimensional frequency-wave vector space: (a), (c) Reflectivity map and phase map of the wave vector space at different frequencies, where the topological dark lines are represented by black curves; (b) the same-polarization reflection amplitude map of the transmission scattering equation in the $\omega \text{-} {k_x}$ domain with ky = 0.
图 6 VO2为金属态时, 入射RCP光下生成拓扑荷数为1的OV对应的(a)涡旋编码布局图, (b) 3D远场幅度图, (c) 2D幅度图, (d) 3D远场相位图; 生成拓扑荷数为2的OV对应的(e)涡旋编码布局图, (f) 3D远场幅度图, (g) 2D幅度图, (h) 3D远场相位图; 生成拓扑荷数为4的OV对应的(i)涡旋编码布局图, (j) 3D远场幅度图, (k) 2D幅度图, (l) 3D远场相位图
Figure 6. When VO2 is in the metallic state, under the incident RCP light: The corresponding (a) vortex encoding layout diagram, (b) 3D far-field amplitude diagram, (c) 2D amplitude diagram, (d) 3D far-field phase diagram for the OV with a topological charge of 1; the corresponding (e) vortex encoding layout diagram, (f) 3D far-field amplitude diagram, (g) 2D amplitude diagram, and (h) 3D far-field phase diagram for the OV with a topological charge of 2; the corresponding (i) vortex encoding layout diagram, (j) 3D far-field amplitude diagram, (k) 2D amplitude diagram, and (l) 3D far-field phase diagram for the OV with a topological charge of 4.
图 7 VO2为金属态时, 入射RCP光实现多通道和多功能的OV生成 (a) OV的相位分布; (b), (c) 向左、向下光束偏转的相位分布; (d), (e) 向左、向下偏转的OV的相位分布; (f) 双通道共享孔径的示意图; (g) 双通道多光束OV的相位分布; (h) 不同相位分布对应的远场强度图
Figure 7. When VO2 is in the metallic state, incident RCP light enables the generation of multi-channel and multi-functional OV: (a) Phase distribution of OV; (b), (c) phase distribution of the beams with leftward and downward deflection; (d), (e) phase distribution of the OV with leftward and downward deflection; (f) schematic diagram of dual-channel sharing aperture; (g) phase distribution of dual-channel multi-beam OV; (h) far-field intensity diagrams corresponding to different phase distributions.
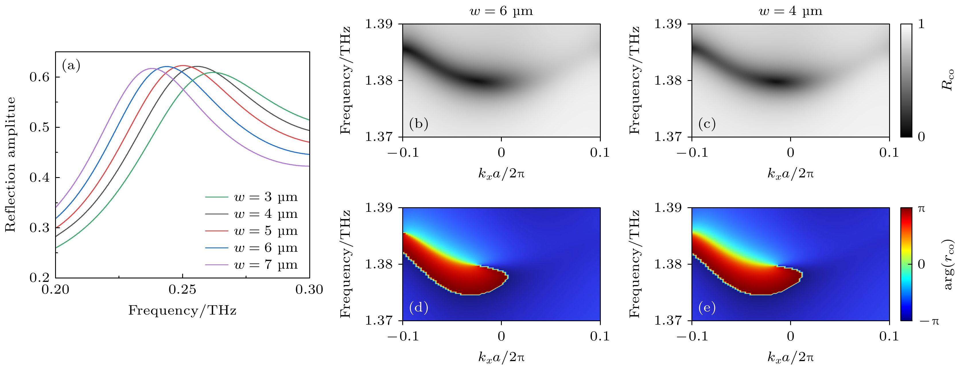
图 8 三角形空气孔底边长度和高度改变后对生成STOV和OV的影响 (a)—(h) 改变结构后, 在RCP入射下传输散射方程在$\omega \text{-} {k_x}$域中的幅度和相位图; (i), (j) 改变结构后, 单元结构在RCP入射下的振幅分布(以“0”号单元为例)
Figure 8. The influence of changes in the base length and height of the triangular air holes on the generation of STOV and OV: (a)–(h) The amplitude and phase diagrams of the transmission and scattering equations in the $\omega \text{-} {k_x}$ domain after the structure modification, under RCP incidence; (i), (j) the amplitude distributions of the unit structure under RCP incidence (taking the “0” unit as an example).
图 9 VO2破缺圆环改变后对生成STOV和OV的影响 (a) 改变结构后, 单元结构在RCP入射下的振幅分布(以“0”号单元为例); (b)—(e) RCP入射下, 不同破缺圆环宽度对应的传输散射方程在$\omega \text{-} {k_x}$域中的幅度与相位图
Figure 9. The influence of the VO2 broken ring structure change on the generation of STOV and OV: (a) The amplitude distribution of the unit structure under RCP incidence (taking the “0” unit as an example); (b)–(e) in the $\omega \text{-}{k_x}$ domain, the amplitude and phase diagrams of the transmission scattering equations corresponding to different broken ring widths under RCP incidence.
-
[1] Tonouchi M 2007 Nat. Photonics 1 97
Google Scholar
[2] El Haddad J, Bousquet B, Canioni L, Mounaix P 2013 TrAC-Trends Anal. Chem. 44 98
Google Scholar
[3] Yu X Q, Zeng Y S, Song L W, et al. 2023 Nat. Photonics 17 957
Google Scholar
[4] Jiang W, Zhou Q, He J, et al. 2024 IEEE Commun. Surv. Tutor. 26 2326
Google Scholar
[5] Boulogeorgos A A A, Alexiou A, Merkle T, et al. 2018 IEEE Commun. Mag. 56 144
Google Scholar
[6] Akyildiz I F, Jornet J M 2016 Nano Commun. Netw. 8 46
Google Scholar
[7] Lee D K, Kang J H, Lee J S, Kim H S, Kim C, Hun Kim J, Lee T, Son J H, Park Q H, Seo M 2015 Sci. Rep. 5 15459
Google Scholar
[8] Zhang X, Liu J, Qin J 2023 Nanoscale Adv. 5 2210
Google Scholar
[9] Zhang Z, Wang Z, Zhang C, Yao Z, Zhang S, Wang R, Tian Z, Han J, Chang C, Lou J 2024 Adv. Mater. 36 2308453
Google Scholar
[10] Giordano M C, Viti L, Mitrofanov O, Vitiello M S 2018 Optica 5 651
Google Scholar
[11] Vallés A, He J, Ohno S, Omatsu T, Miyamoto K 2020 Opt. Express 28 28868
Google Scholar
[12] Kuo C H, Wu M H, Chen C R, Lin Y J, Laurell F, Huang Y C 2023 Sci. Rep. 13 5843
Google Scholar
[13] Jia M, Wang Z, Li H, Wang X, Luo W, Sun S, Zhang Y, He Q, Zhou L 2019 Light: Sci. Appl. 8 16
Google Scholar
[14] Guo Z, Zhou Y, Yang H, Li S, Li T, Cao X 2023 Opt. Express 31 35086
Google Scholar
[15] Zhou Y, Zhang T, Wang G, Guo Z, Zang X, Zhu Y, Ding F, Zhuang S 2024 Adv. Sci. 11 2406571
Google Scholar
[16] 蒋铭阳, 李九生 2025 74 028701
Google Scholar
Jiang M Y, Li J S 2025 Acta Phys. Sin. 74 028701
Google Scholar
[17] Cui T J, Qi M Q, Wan X, Zhao J, Cheng Q 2014 Light: Sci. Appl. 3 e218
Google Scholar
[18] Wu R Y, Shi C B, Liu S, Wu W, Cui T J 2018 Adv. Opt. Mater. 6 1701236
Google Scholar
[19] Liu S, Cui T J, Zhang L, Xu Q, Wang Q, Wan X, Gu J Q, Tang W X, Qing Qi M, Han J G 2016 Adv. Sci. 3 1600156
Google Scholar
[20] Zhang L, Wang Z X, Shao R W, Shen J L, Chen X Q, Wan X, Cheng Q, Cui T J 2019 IEEE Trans. Antennas Propag. 68 2984
Google Scholar
[21] Tian S, Li Y, Xu J 2025 Phys. Lett. A 532 130186
Google Scholar
[22] Zhu S Y, Deng X H, Liu Y S, Geng J Q, Bao Y X, Zhang Y Q, Lou Y K 2025 Phys. Lett. A 555 130776
Google Scholar
[23] Yu N F, Genevet P, Kats M A, Aieta F, Tetienne J P, Capasso F, Gaburro Z 2011 Science 334 333
Google Scholar
[24] Devlin R C, Ambrosio A, Rubin N A, Mueller J B, Capasso F 2017 Science 358 896
Google Scholar
[25] 黄若彤, 李九生 2023 72 054203
Google Scholar
Huang R T, Li J S 2023 Acta Phys. Sin. 72 054203
Google Scholar
[26] Wang Z R, Chen D C, Hong R, Wu D J 2025 Chin. Phys. B 34 094302
Google Scholar
[27] Yao A M, Padgett M J 2011 Adv. Opt. Photonics 3 161
Google Scholar
[28] Wang X W, Nie Z Q, Liang Y, Wang J, Li T, Jia B H 2018 Nanophotonics 7 1533
Google Scholar
[29] Bliokh K Y, Bekshaev A Y, Nori F 2017 Phys. Rev. Lett. 119 073901
Google Scholar
[30] Firth W J, Skryabin D V 1997 Phys. Rev. Lett. 79 2450
Google Scholar
[31] Soskin M, Gorshkov V, Vasnetsov M, Malos J, Heckenberg N 1997 Phys. Rev. A 56 4064
Google Scholar
[32] Chen M, Mazilu M, Arita Y, Wright E M, Dholakia K 2013 Opt. Lett. 38 4919
Google Scholar
[33] Prinz E, Hartelt M, Spektor G, Orenstein M, Aeschlimann M 2023 ACS Photonics 10 340
Google Scholar
[34] Zhang Z F, Qiao X D, Midya B, et al. 2020 Science 368 760
Google Scholar
[35] Liu Y W, Lao C H, Wang M, et al. 2024 Nat. Photonics 18 632
Google Scholar
[36] Chen B, Zhou Y G, Liu Y, et al. 2024 Nat. Photonics 18 625
Google Scholar
[37] Perez N, Preece D, Wilson R, Bezryadina A 2022 Sci. Rep. 12 14144
Google Scholar
[38] Zhao M T, Liang X Z, Li J S, et al. 2022 Laser Photonics Rev. 16 2200230
Google Scholar
[39] Bliokh K Y, Nori F 2012 Phys. Rev. A 86 033824
Google Scholar
[40] Hancock S, Zahedpour S, Milchberg H 2021 Phys. Rev. Lett. 127 193901
Google Scholar
[41] Jhajj N, Larkin I, Rosenthal E, Zahedpour S, Wahlstrand J, Milchberg H 2016 Phys. Rev. X 6 031037
Google Scholar
[42] Cao Q, Chen J, Lu K Y, Wan C H, Chong A, Zhan Q W 2022 Sci. Bull. 67 133
Google Scholar
[43] Wan C H, Chong A, Zhan Q W 2023 Elight 3 11
Google Scholar
[44] Liu X, Cao Q, Zhang N J, Chong A, Cai Y J, Zhan Q W 2024 Nat. Commun. 15 5435
Google Scholar
[45] Chong A, Wan C H, Chen J, Zhan Q W 2020 Nat. Photonics 14 350
Google Scholar
[46] Liu W Z, Wang J J, Tang Y, Wang X H, Zhao X Q, Shi L, Zi J, Chan C T 2024 Nano Lett. 24 943
Google Scholar
[47] Che Z Y, Liu W Z, Ye J Y, Shi L, Chan C T, Zi J 2024 Phys. Rev. Lett. 132 044001
Google Scholar
[48] Zhou Y, Zou R W, Zhan J J, et al. 2025 Laser Photonics Rev. 19 2401391
Google Scholar
[49] Li Y X, Zhang H Y, Chen J X, Wang J C, Yu J Y, Liu M, Zhang M, Zhang Y P 2025 Opt. Express 33 34604
Google Scholar
[50] Deng F Z, Ma K, Ma Y M, et al. 2025 Photonics Res. 13 1408
Google Scholar
[51] Huang J Y, Zhang H L, Wu B J, Zhu T F, Ruan Z C 2023 Phys. Rev. B 108 104106
Google Scholar
[52] Liu M K, Hwang H Y, Tao H, et al. 2012 Nature 487 345
Google Scholar
[53] Zylbersztejn A, Mott N F 1975 Phys. Rev. B 11 4383
Google Scholar
[54] Shao Z W, Cao X, Luo H J, Jin P 2018 NPG Asia Mater. 10 581
Google Scholar
[55] Wang S X, Kang L, Werner D H 2017 Sci. Rep. 7 4326
Google Scholar
-
1-20251078suppl.pdf
Catalog
Metrics
- Abstract views: 327
- PDF Downloads: 5
- Cited By: 0









DownLoad: