-
Anisotropic semi-Dirac materials exhibit unique manipulation selectivity in carrier conduction. Currently, the behavior of semi-Dirac electrons has been successfully observed in black phosphorus thin films and topological metal ZrSiS materials. This behavior manifests as linear and parabolic dispersion relations along two mutually perpendicular high-symmetry paths near the semi-Dirac point. Based on first-principles calculations, it is predicted that semi-Dirac electronic states can be realized in the structural system of anisotropic stacked graphene nanoribbon arrays on a graphene substrate in this work. The effects of nanoribbon width, the ratio of graphene width to nanoribbon width in the supercell, and external electric field on this semi-Dirac system band are further investigated. It is worth noting that the processes of the conduction band and valence band transitioning from non-conical-contact to conical-contact under an applied perpendicular electric field to form the semi-Dirac point are analyzed through computational simulation. Correspondingly, the system transforms from a metal with direction-dependent flat bands near the Fermi level to a direct bandgap semiconductor. The research provides theoretical reference for realizing and tuning semi-Dirac electronic states in two-dimensional material nanostructures.
-
Keywords:
- graphene and nanoribbon /
- anisotropic-stacked /
- semi-Dirac electronic states /
- first-principles calculation
[1] Novoselov K S, Geim A K, Morozov S V, Jiang D, Zhang Y, Dubonos S V, Grigorieva I V, Firsov A A 2004 Science 306 666
Google Scholar
[2] Wang Y, Liang Y L, Xing X Y 2025 Acta Phys. Sin. 74 047301 (in chinese) [王玉, 梁钰林, 邢燕霞 2025 74 047301]
Google Scholar
Wang Y, Liang Y L, Xing X Y 2025 Acta Phys. Sin. 74 047301 (in chinese)
Google Scholar
[3] Katnelson M I, Novoselov K S, Geim A K 2006 Nat. Phys. 2 620
Google Scholar
[4] Shao Y M, Moon S, Rudenko A N, Wang J, Herzog-Arbeitman J, Ozerov M, Graf D, Sun Z Y, Queiroz R, Lee S H, Zhu Y L, Mao Z Q, Katsnelson M I, Bernevig B A, Smirnov D, Millis A J, Basov D N 2024 Phys. Rev. X 14 041057
Google Scholar
[5] Volovik G E 2001 JETP Lett. 73 162
Google Scholar
[6] Hasegawa Y, Konno R, Nakano H, Kohmoto M 2006 Phys. Rev. B 74 033413
Google Scholar
[7] Montambaux G, Piechon F 2009 Eur. Phys. J. B 72 509
Google Scholar
[8] Huang Y P, Zeng W, Shen R 2023 Phys. Lett. A 463 128671
Google Scholar
[9] Chan W J, Ang L K, Ang Y S 2023 Appl. Phys. Lett. 122 163102
Google Scholar
[10] Li Z, Cao H, Fu L B 2015 Phys. Rev. A 91 023623
Google Scholar
[11] Aftab T, Sabeeh K 2022 J. Phys. Condens. Mat. 34 425701
Google Scholar
[12] Sisakht E T, Fazileh F, Hashemifar S J, Peeters F M 2023 Phys. Rev. B 107 125417
Google Scholar
[13] Xiong Q Y, Ba J Y, Duan H J, Deng M X, Wang Y M, Wang R Q 2023 Phys. Rev. B 107 155150
Google Scholar
[14] Yan C X, Tan C Y, Guo H, Chang H R 2023 Phys. Rev. B 108 195427
Google Scholar
[15] Makino T, Katagiri Y, Ohata C, Nomura K and Haruyama J 2017 RSC Adv. 7 23427
Google Scholar
[16] 纪雨萱, 张明楷, 李妍 2024 73 18
Google Scholar
Ji Y X, Zhang M K, Li Y 2024 Acta Phys. Sin. 73 18
Google Scholar
[17] 曹惠娴, 梅军 2015 64 194301
Google Scholar
Cao H X, Mei J 2015 Acta Phys. Sin. 64 194301
Google Scholar
[18] Kim J, Baik S S, Ryu S H, Sohn Y, Park S, Park B G, Denlinger J, Yi Y, Choi H J, Kim K S 2015 Science 349 723
Google Scholar
[19] Baik S S, Kim K S, Yi Y, Choi H J 2015 Nano Lett. 15 7788
Google Scholar
[20] Zhu H F, Pan X Y, Liu G Z 2022 Phys. Rev. B 105 085136
Google Scholar
[21] Sukhachov P O, Oriekhov D O, Gorbar E V 2023 Phys. Rev. B 108 075166
Google Scholar
[22] Zhong C Y, Chen Y P, Xie Y, Sun Y Y, Zhang S B 2017 Phys. Chem. Chem. Phys. 19 3820
Google Scholar
[23] Tang S, Dresselhaus M S 2012 Nanoscale 4 7786
Google Scholar
[24] Pardo V, Pickett W E 2009 Phys. Rev. Lett. 102 166803
Google Scholar
[25] Pardo V, Pickett W E 2010 Phys. Rev. B 81 035111
Google Scholar
[26] Huang H Q, Liu Z R, Zhang H B, Duan W H, Vanderbilt D 2015 Phys. Rev. B 92 161115(R
Google Scholar
[27] Wang C, Xia Q L, Nie Y Z, Rahman M, Guo G H 2016 AIP Adv. 6 035204
Google Scholar
[28] Tarruell L, Greif D, Uehlinger T, Jotzu G, Esslinger T 2012 Nature 483 302
Google Scholar
[29] Li Y Y, Chen M X, Weinert M, Li L 2014 Nat. Commun. 5 4311
Google Scholar
[30] Chen M X, Weinert M 2016 Phys. Rev. B 94 035433
Google Scholar
[31] Ding W C, Liu G, Li X B, Zhou G H 2023 Chin. J. Chem. Phys. 36 717
Google Scholar
[32] Nakada K, Fujita M, Dresselhaus G, Dresselhaus M S 1996 Phys. Rev. B 54 17954
Google Scholar
-
图 1 (a) 各向异性六角复式晶格最近邻跃迁, 深红和浅蓝小球代表复式格子的两类子格; (b) 半狄拉克电子的色散关系示意图, 理论模型中改变石墨烯的最近邻跃迁参数为2t1 = 2t2 = t3时会出现半狄拉克电子态[6]
Figure 1. (a) The nearest neighbor hopping of the anisotropic hexagonal compound lattice, the dark red and light blue spheres represent the two types of sub lattices of the compound lattice; (b) the schematic diagram of the dispersion relationship of the semi-Dirac electron in the theoretical model, when the nearest neighbor hopping parameter of graphene is 2t1 = 2t2 = t3, the semi-Dirac electronic state will appear[6].
图 2 第一性原理计算中选取的超胞, 虚线框内为条带宽度因子(N)为16、边缘修饰氢原子(橙色)的上层纳米带(红色)堆垛在下层石墨烯(浅灰色)上 (a) AGNR与底层石墨烯薄膜以AA堆垛的方式构成的GA_AA(N)体系; (b)—(d)分别对应GA_AB(N), GZ_AA(N)和GZ_AB(N)体系
Figure 2. The selected supercell, the red balls symbolize the upper ZGNR with a width factor of N = 16 stacked on the light gray graphene, where the orange balls depict the H atoms located at the edge of the nanoribbon: (a) The GA_AA(N) system composed of AGNR and the underlying graphene film in the form of AA-stacking; (b)–(d) similarly corresponds to GA_AB(N), GZ_AA(N) and GZ_AB(N) systems.
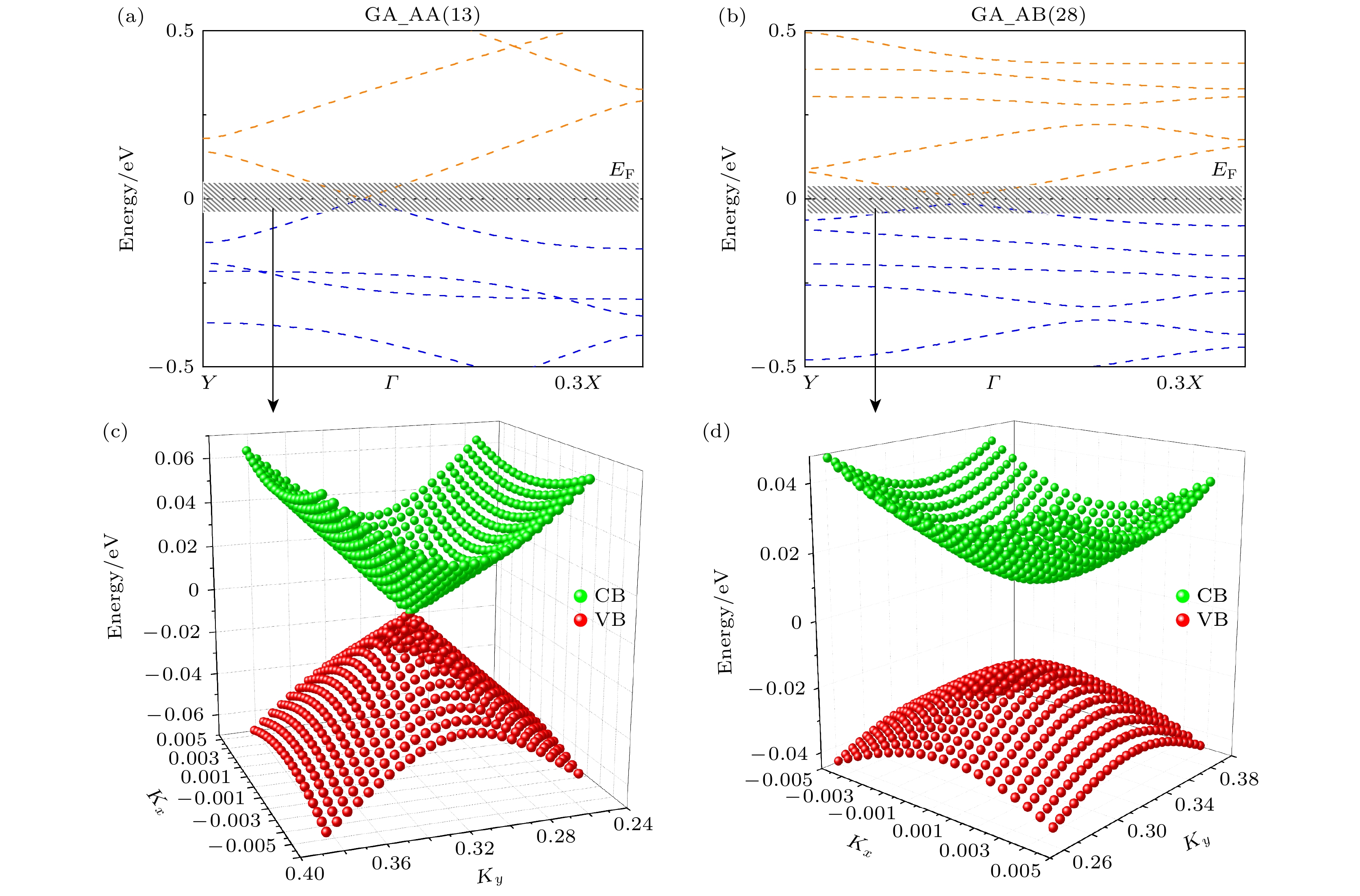
图 3 (a), (b) GA_AA(28)和GA_AB(28)的完整路径能带图, 括号里的数字表示条带宽度因子, (a)中插图为超胞第一布里渊区, 费米能级(EF)上下的导带与价带分别用浅橙和深蓝色标记, 另外分别给出了Γ-Y路径上的能带放大插图. (c) GA_AA(28)和GA_AA(15) 沿Γ-Y和Γ-X两个方向上的能带, 以及GA_AB(28)和GA_AB(30)能带图; 浅橙和深蓝虚线代表导带和价带
Figure 3. The band route crossing all highly symmetric points of (a) GA_AA(28) and (b) GA_AB(28) are illustrated in the first Brillouin zone of the supercell. The conduction and valence bands above and below the EF are marked in light orange and dark blue, respectively; in addition, the energy band enlarged illustrations on Γ-Y are given, respectively. (c) Band of the GA_AA(28), GA_AB(15), GA_AB(28) and GA_AB(30) system in the Γ-Y and Γ-X momentum directions.
图 5 K点附近GA_AA(13)的条带和石墨烯能带贡献图 (a), (b) 沿Γ-K-Y方向, (e), (f) 沿X1-K-X2方向; (c), (g), (h), (i) 能带上某点在实空间的布洛赫态图; (d) 区分条带和石墨烯的投影态密度图
Figure 5. The GA_AA(13) band contribution of nanoribbon and graphene near the K-point: (a), (b) Along the Γ-K-Y direction; (e), (f) along the X1-K-X2 direction; (c), (g), (h), (i) the Bloch state figure of a point on the energy band in real space and the projected density of states diagram; (d) projection density of states map for distinguishing between nanoribbon and graphene.
图 6 (a) 采用Nanodcal计算GZ_AA(16)的能带图, 并与文献[30] VASP进行对比; (b) Γ-X方向, (d) Y1-K-Y2方向以及(e) Γ- K-Y1两个相互垂直方向的K点附近GZ_AA(16)能带; (c), (f) 超胞与原胞的布里渊区K点位置图
Figure 6. (a) Bandstructure of GZ_AA(16) Nanodcal calculation is consistent with VASP calculation in Ref. [30]; calculated GZ_AA(16) energy band in the Γ-X direction (b) and the Y1-K-Y2 direction (d) near the K point, as well as the energy band in the Γ-K-Y1 directions (e) passing through the K point; (c), (f) shows K positions in the Brillouin zone of the primitive cell with supercell.
图 7 (a), (c) N = 32, 48, 64, 96, 112, 128下GZ_AA沿路径X-K-Y1的能带图; (b) GZ_AA(64)在K点附近的三维CB/VB能带, 蓝色小球位置为经过K点两个相互垂直的方向, 正面为Kx方向, 侧面为Ky方向; (d) 图(b)以K点为分割点沿Γ-K方向的半剖能带图; (e)在GZ_AA(48-1, -2, -3)结构中石墨烯-条带之比分别为1.34, 2.71和4.07时的能带图, K点附近能带仍然沿两个相互垂直方向上色散各异; (f) GZ_AA(48-2)结构沿Y1-K-Y2方向能带图
Figure 7. (a), (c) Band of GZ_AA on path Γ-K-Y1 under different N; (b) the band of GZ_AA (64) within a small range around point K, with the blue balls indicating two mutually perpendicular directions passing through point K; (d) half of panel (b) in the Γ-K direction; (e) in the GZ_AA (48-1, -2, -3) energy bands, the ratio of graphene-nanoribbon is 1.34, 2.71, and 4.07, the band dispersion near the K point still exhibits different in two perpendicular directions; (f) the band of GZ_AA(48-2) on path Y1-K-Y2.
图 8 (a), (b)分别表示正负垂直电场调控下GZ_AA(64)沿路径X-K-Y1的能带图; (c) 垂直电场为–0.7 V/Å下, GZ_AA(64)在K点小范围内的能带; (d), (e)分别对应图(c)剖面图前半部分和后半部分; (f) 包括K点在内的两条子带相交产生3个交点K, C, D处的能带情况
Figure 8. Energy bands of GZ_AA (64) along the path X-K-Y1 tuned by positive (a) and negative (b) vertical electric fields modulate; (c) under a vertical electric field of –0.7 V/Å, the energy bands of GZ_AA (64) within a small range around point K; (d), (e) corresponding to the left and right halves of the vertical-sectional view in (c), respectively; (f) illustrates the energy band at three intersection points, K, C, D, resulting from the intersection of two sub-bands, including point K.
表 1 条带宽度下部分体系的三态总能
Table 1. Three types total energy of partial nanoribbon-graphene structures.
Structures NM/eV FM/eV AFM/eV GZ_AA(16) –7892.70711 –7892.77758 –7892.77917 GZ_AA(32) –13133.20879 –13133.28028 –13133.28086 GZ_AA(64) –23614.69230 –23614.75757 –23614.75782 GZ_AB(16) –7892.79525 –7892.86295 –7892.86507 GZ_AB(64) –23616.29102 –23616.36383 –23616.36389 GA_AA(28) –24303.04799 –24303.04799 –24303.04799 GA_AA(29) –24630.63691 –24630.63691 –24630.63691 GA_AB(29) –24630.82370 –24630.82370 –24630.82370 GA_AB(28) –24303.23074 –24303.23074 –24303.23074 注: 加粗数据为对应的能量基态. -
[1] Novoselov K S, Geim A K, Morozov S V, Jiang D, Zhang Y, Dubonos S V, Grigorieva I V, Firsov A A 2004 Science 306 666
Google Scholar
[2] Wang Y, Liang Y L, Xing X Y 2025 Acta Phys. Sin. 74 047301 (in chinese) [王玉, 梁钰林, 邢燕霞 2025 74 047301]
Google Scholar
Wang Y, Liang Y L, Xing X Y 2025 Acta Phys. Sin. 74 047301 (in chinese)
Google Scholar
[3] Katnelson M I, Novoselov K S, Geim A K 2006 Nat. Phys. 2 620
Google Scholar
[4] Shao Y M, Moon S, Rudenko A N, Wang J, Herzog-Arbeitman J, Ozerov M, Graf D, Sun Z Y, Queiroz R, Lee S H, Zhu Y L, Mao Z Q, Katsnelson M I, Bernevig B A, Smirnov D, Millis A J, Basov D N 2024 Phys. Rev. X 14 041057
Google Scholar
[5] Volovik G E 2001 JETP Lett. 73 162
Google Scholar
[6] Hasegawa Y, Konno R, Nakano H, Kohmoto M 2006 Phys. Rev. B 74 033413
Google Scholar
[7] Montambaux G, Piechon F 2009 Eur. Phys. J. B 72 509
Google Scholar
[8] Huang Y P, Zeng W, Shen R 2023 Phys. Lett. A 463 128671
Google Scholar
[9] Chan W J, Ang L K, Ang Y S 2023 Appl. Phys. Lett. 122 163102
Google Scholar
[10] Li Z, Cao H, Fu L B 2015 Phys. Rev. A 91 023623
Google Scholar
[11] Aftab T, Sabeeh K 2022 J. Phys. Condens. Mat. 34 425701
Google Scholar
[12] Sisakht E T, Fazileh F, Hashemifar S J, Peeters F M 2023 Phys. Rev. B 107 125417
Google Scholar
[13] Xiong Q Y, Ba J Y, Duan H J, Deng M X, Wang Y M, Wang R Q 2023 Phys. Rev. B 107 155150
Google Scholar
[14] Yan C X, Tan C Y, Guo H, Chang H R 2023 Phys. Rev. B 108 195427
Google Scholar
[15] Makino T, Katagiri Y, Ohata C, Nomura K and Haruyama J 2017 RSC Adv. 7 23427
Google Scholar
[16] 纪雨萱, 张明楷, 李妍 2024 73 18
Google Scholar
Ji Y X, Zhang M K, Li Y 2024 Acta Phys. Sin. 73 18
Google Scholar
[17] 曹惠娴, 梅军 2015 64 194301
Google Scholar
Cao H X, Mei J 2015 Acta Phys. Sin. 64 194301
Google Scholar
[18] Kim J, Baik S S, Ryu S H, Sohn Y, Park S, Park B G, Denlinger J, Yi Y, Choi H J, Kim K S 2015 Science 349 723
Google Scholar
[19] Baik S S, Kim K S, Yi Y, Choi H J 2015 Nano Lett. 15 7788
Google Scholar
[20] Zhu H F, Pan X Y, Liu G Z 2022 Phys. Rev. B 105 085136
Google Scholar
[21] Sukhachov P O, Oriekhov D O, Gorbar E V 2023 Phys. Rev. B 108 075166
Google Scholar
[22] Zhong C Y, Chen Y P, Xie Y, Sun Y Y, Zhang S B 2017 Phys. Chem. Chem. Phys. 19 3820
Google Scholar
[23] Tang S, Dresselhaus M S 2012 Nanoscale 4 7786
Google Scholar
[24] Pardo V, Pickett W E 2009 Phys. Rev. Lett. 102 166803
Google Scholar
[25] Pardo V, Pickett W E 2010 Phys. Rev. B 81 035111
Google Scholar
[26] Huang H Q, Liu Z R, Zhang H B, Duan W H, Vanderbilt D 2015 Phys. Rev. B 92 161115(R
Google Scholar
[27] Wang C, Xia Q L, Nie Y Z, Rahman M, Guo G H 2016 AIP Adv. 6 035204
Google Scholar
[28] Tarruell L, Greif D, Uehlinger T, Jotzu G, Esslinger T 2012 Nature 483 302
Google Scholar
[29] Li Y Y, Chen M X, Weinert M, Li L 2014 Nat. Commun. 5 4311
Google Scholar
[30] Chen M X, Weinert M 2016 Phys. Rev. B 94 035433
Google Scholar
[31] Ding W C, Liu G, Li X B, Zhou G H 2023 Chin. J. Chem. Phys. 36 717
Google Scholar
[32] Nakada K, Fujita M, Dresselhaus G, Dresselhaus M S 1996 Phys. Rev. B 54 17954
Google Scholar
Catalog
Metrics
- Abstract views: 1103
- PDF Downloads: 30
- Cited By: 0









DownLoad: