-
The recent discovery of high-temperature superconductivity in the bilayer nickelate La3Ni2O7 under high pressure has drawn significant attention, further catalyzing intensive research on nickel-based superconductors. Systematic comparative studies of unconventional superconductors are vital for advancing the mechanistic understanding of high-Tc superconductivity. In contrast to cuprates, bulk nickelates exhibit significant differences in crystal structure, electronic properties, and physical behaviors, and their experimental investigation faces specific challenges including the influences of hydrostatic conditions on the measurements of zero resistance and diamagnetic response, oxygen vacancy defects in single crystals, and pressure-induced structural phase transitions. This review comprehensively examines high-temperature superconductivity and the related research challenges in trilayer nickelate bulk materials, and provides experimental insights for future studies on nickel-based superconducting systems.
-
Keywords:
- nickel-based superconductors /
- unconventional superconductivity /
- high-temperature superconductivity
[1] Li D F, Lee K, Wang B Y, Osada M, Crossley S, Lee H R, Cui Y, Hikita Y, Hwang H Y 2019 Nature 572 624
Google Scholar
[2] Sun H L, Huo M W, Hu X W, Li J Y, Liu Z J, Han Y F, Tang L Y, Mao Z Q, Yang P T, Wang B S, Cheng J G, Yao D X, Zhang G M, Wang M 2023 Nature 621 493
Google Scholar
[3] Zhang M X, Pei C Y, Peng D, Du X, Hu W X, Cao Y T, Wang Q, Wu J F, Li Y D, Liu H Y, Wen C H P, Song J, Zhao Y, Li C H, Cao W Z, Zhu S H, Zhang Q, Yu N, Cheng P H, Zhang L L, Li Z W, Zhao J K, Chen Y L, Jin C Q, Guo H J, Wu C J, Yang F, Zeng Q S, Yan S C, Yang L X, Qi Y P 2025 Phys. Rev. X 15 021005
Google Scholar
[4] Zhu Y H, Peng D, Zhang E K, Pan B Y, Chen X, Chen L X, Ren H F, Liu F Y, Hao Y Q, Li N N, Xing Z F, Lan F J, Han J Y, Wang J J, Jia D H, Wo H L, Gu Y Q, Gu Y M, Ji L, Wang W B, Gou H Y, Shen Y, Ying T P, Chen X L, Yang W G, Cao H B, Zheng C L, Zeng Q S, Guo J G, Zhao J 2024 Nature 631 531
Google Scholar
[5] Pei C, Zhang M, Peng D, Shen Y, Huangfu S, Zhu S, Wang Q, Wu J, Wang J, Xing Z, Zhang L, Kadobayashi H, Kawaguchi S, Chen Y, Zhao J, Yang W, SUO H, Guo H, Zeng Q, Zhang G, Qi Y 2026 http://engine.scichina.com/doi/10.1007/s11433-025-2852-4 (in press
[6] Zhang E K, Peng D, Zhu Y H, Chen L X, Cui B K, Wang X Y, Wang W B, Zeng Q S, Zhao J 2025 Phys. Rev. X 15 021008
Google Scholar
[7] Ko E K, Yu Y, Liu Y, Bhatt L, Li J, Thampy V, Kuo C T, Wang B Y, Lee Y, Lee K, Lee J S, Goodge B H, Muller D A, Hwang H Y 2025 Nature 638 935
Google Scholar
[8] Shi M, Peng D, Fan K, Xing Z, Yang S, Wang Y, Li H, Wu R, Du M, Ge B, Zeng Z, Zeng Q, Ying J, Wu T, Chen X 2025 Nat. Phys. 21 1780
Google Scholar
[9] Li Q, Zhang Y J, Xiang Z N, Zhang Y H, Zhu X Y, Wen H H 2024 Chin. Phys. Lett. 41 017401
Google Scholar
[10] Poirot N, Phuoc V T, Gruener G, Gervais F 2005 Solid State Sci. 7 1157
Google Scholar
[11] Kumar Y, Kumar P, Dixit G, Asokan K 2013 AIP Conf. Proc. 1536 1021
Google Scholar
[12] Wu G, Neumeier J, Hundley M 2001 Phys. Rev. B 63 245120
Google Scholar
[13] Zhang J J, Zheng H, Chen Y S, Ren Y, Yonemura M, Huq A, Mitchell J F 2020 Phys. Rev. Mater. 4 083402
Google Scholar
[14] Liu Z, Sun H, Huo M, Ma X, Ji Y, Yi E, Li L, Liu H, Yu J, Zhang Z 2023 Sci. China Phys. Mech. Astron. 66 217411
Google Scholar
[15] Taniguchi S, Nishikawa T, Yasui Y, Kobayashi Y, Takeda J, Shamoto S I, Sato M 1995 J. Phys. Soc. Jpn. 64 1644
Google Scholar
[16] Zhang J J, Zheng H, Ren Y, Mitchell J F 2017 Cryst. Growth Des. 17 2730
Google Scholar
[17] Sánchez R, Causa M, Caneiro A, Butera A, Vallet-Regi M, Sayagués M, González-Calbet J, Garcia-Sanz F, Rivas J 1996 Phys. Rev. B 54 16574
Google Scholar
[18] Zheng H, Wang B X, Phelan D, Zhang J J, Ren Y, Krogstad M, Rosenkranz S, Osborn R, Mitchell J 2020 Crystals 10 557
Google Scholar
[19] Zhang Y N, Su D J, Huang Y E, Shan Z Y, Sun H L, Huo M W, Ye K X, Zhang J W, Yang Z H, Xu Y K, Su Y, Li R, Smidman M, Wang M, Jiao L, Yuan H Q 2024 Nat. Phys. 20 1269
Google Scholar
[20] Hou J, Yang P T, Liu Z Y, Li J Y, Shan P F, Ma L, Wang G, Wang N N, Guo H Z, Sun J P, Uwatoko Y, Wang M, Zhang G M, Wang B S, Cheng J G 2023 Chin. Phys. Lett. 40 117302
Google Scholar
[21] Li J Y, Peng D, Ma P Y, Zhang H Y, Xing Z F, Huang X, Huang C X, Huo M W, Hu D Y, Dong Z X, Chen X, Xie T, Dong H L, Sun H L, Zeng Q S, Mao H K, Wang M 2025 Natl. Sci. Rev. 12 nwaf220
Google Scholar
[22] Zhang M X, Pei C Y, Wang Q Y, Zhao Y, Li C H, Cao W Z, Zhu S H, Wu J F, Qi Y P 2024 J. Mater. Sci. Technol. 185 147
Google Scholar
[23] Sakakibara H, Ochi M, Nagata H, Ueki Y, Sakurai H, Matsumoto R, Terashima K, Hirose K, Ohta H, Kato M, Takano Y, Kuroki K 2024 Phys. Rev. B 109 144511
Google Scholar
[24] Wang G, Wang N N, Shen X L, Hou J, Ma L, Shi L F, Ren Z A, Gu Y D, Ma H M, Yang P T, Liu Z Y, Guo H Z, Sun J P, Zhang G M, Calder S, Yan J Q, Wang B S, Uwatoko Y, Cheng J G 2024 Phys. Rev. X 14 011040
Google Scholar
[25] Gao R, Jin L, Huyan S Y, Ni D R, Wang H Z, Xu X H, Bud’ko S L, Canfield P, Xie W W, Cava R J 2024 ACS Appl. Mater. Interfaces 16 66857
Google Scholar
[26] Zhou Y, Guo J, Cai S, Sun H, Li C, Zhao J, Wang P, Han J, Chen X, Chen Y, Wu Q, Ding Y, Xiang T, Mao H K, Sun L 2025 Matter Radiat. Extrem. 10 027801
Google Scholar
[27] Dong Z, Huo M, Li J, Li J, Li P, Sun H, Gu L, Lu Y, Wang M, Wang Y, Chen Z 2024 Nature 630 847
Google Scholar
[28] Luo Z, Hu X, Wang M, Wu W, Yao D X 2023 Phys. Rev. Lett. 131 126001
Google Scholar
[29] Shen Y, Qin M, Zhang G M 2023 Chin. Phys. Lett. 40 127401
Google Scholar
[30] Yang Y F, Zhang G M, Zhang F C 2023 Phys. Rev. B 108 L201108
Google Scholar
[31] Zhang Y, Lin L F, Moreo A, Dagotto E 2023 Phys. Rev. B 108 L180510
Google Scholar
[32] Luo Z, Lü B, Wang M, Wu W, Yao D X 2024 npj Quantum Mater. 9 61
Google Scholar
[33] Zhang Y, Lin L F, Moreo A, Maier T A, Dagotto E 2023 Phys. Rev. B 108 165141
Google Scholar
[34] Yang Q G, Wang D, Wang Q H 2023 Phys. Rev. B 108 L140505
Google Scholar
[35] Sakakibara H, Kitamine N, Ochi M, Kuroki K 2024 Phys. Rev. Lett. 132 106002
Google Scholar
[36] Lu C, Pan Z M, Yang F, Wu C J 2024 Phys. Rev. B 110 094509
Google Scholar
[37] Pan Z M, Lu C, Yang F, Wu C J 2024 Chin. Phys. Lett. 41 087401
Google Scholar
[38] Lu C, Pan Z M, Yang F, Wu C J 2024 Phys. Rev. Lett. 132 146002
Google Scholar
[39] Lechermann F, Gondolf J, Bötzel S, Eremin I M 2023 Phys. Rev. B 108 L201121
Google Scholar
[40] Liu Y B, Mei J W, Ye F, Chen W Q, Yang F 2023 Phys. Rev. Lett. 131 236002
Google Scholar
[41] Shi L, Luo Y, Wu W, Zhang Y W 2025 Chin. Phys. B 34 077403
Google Scholar
[42] Carvalho M, Costa F A, Pereira I S, Bassat J, Grenier J 1997 J. Mater. Chem. 7 2107
Google Scholar
[43] Wang N N, Wang G, Shen X L, Hou J, Luo J, Ma X P, Yang H X, Shi L F, Dou J, Feng J, Yang J, Shi Y Q, Ren Z A, Ma H M, Yang P T, Liu Z Y, Liu Y, Zhang H, Dong X L, Wang Y X, Jiang K, Hu J P, Nagasaki S, Kitagawa K, Calder S, Yan J Q, Sun J P, Wang B S, Zhou R, Uwatoko Y, Cheng J G 2024 Nature 634 579
Google Scholar
[44] Li F Y, Guo N, Zheng Q, Shen Y, Wang S L, Cui Q H, Liu C, Wang S P, Tao X T, Zhang G M, Zhang J J 2024 Phys. Rev. Mater. 8 053401
Google Scholar
[45] Li F Y, Wang S L, Ma C, Wang X L, Liu C, Fan C Y, Han L, Wang S P, Tao X T, Zhang J J 2024 Cryst. Growth Des. 24 347
Google Scholar
[46] Chu C W, Deng L Z, Lü B 2015 Physica C 514 290
Google Scholar
[47] Rout D, Mudi S R, Hoffmann M, Spachmann S, Klingeler R, Singh S 2020 Phys. Rev. B 102 195144
Google Scholar
[48] Obradors X, Martinez B, Batlle X, Rodriguez-Carvajal J, Fernandez-Diaz M T, Martinez J L, Odier P 1991 J. Appl. Phys. 70 6329
Google Scholar
[49] Huangfu S, Jakub G D, Zhang X, Blacque O, Puphal P, Pomjakushina E, von Rohr F O, Schilling A 2020 Phys. Rev. B 101 104104
Google Scholar
[50] Torrance J B, Lacorre P, Nazzal A I, Ansaldo E J, Niedermayer C 1992 Phys. Rev. B 45 8209
Google Scholar
[51] Zheng H, Zhang J, Wang B, Phelan D, Krogstad M J, Ren Y, Phelan W A, Chmaissem O, Poudel B, Mitchell J F 2019 Crystals 9 324
Google Scholar
[52] Huang X, Zhang H, Li J, Huo M, Chen J, Qiu Z, Ma P, Huang C, Sun H, Wang M 2024 Chin. Phys. Lett. 41 127403
Google Scholar
[53] Chen X, Poldi E H T, Huyan S, Chapai R, Zheng H, Bud’ko S L, Welp U, Canfield P C, Hemley R J, Mitchell J F, Phelan D 2025 Phys. Rev. B 111 094525
Google Scholar
[54] Lu C, Pan Z, Yang F, Wu C 2025 Phys. Rev. B 111 134515
Google Scholar
[55] Chen C Q, Luo Z, Wang M, Wu W, Yao D X 2024 Phys. Rev. B 110 014503
Google Scholar
[56] Yang Q G, Jiang K Y, Wang D, Lu H Y, Wang Q H 2024 Phys. Rev. B 109 L220506
Google Scholar
[57] Zhang Y, Lin L F, Moreo A, Maier T A, Dagotto E 2024 Phys. Rev. Lett. 133 136001
Google Scholar
[58] Zhang M, Sun H, Liu Y B, Liu Q, Chen W Q, Yang F 2024 Phys. Rev. B 110 L180501
Google Scholar
[59] Qin Q, Wang J, Yang Y F 2024 The Innovation Materials 2 100102
Google Scholar
[60] Huang J K, Zhou T 2024 Phys. Rev. B 110 L060506
Google Scholar
[61] Zhou G D, Lü W, Wang H, Nie Z H, Chen Y Q, Li Y Y, Huang H L, Chen W Q, Sun Y J, Xue Q K, Chen Z Y 2025 Nature 640 641
Google Scholar
[62] Liu Y, Ko E K, Tarn Y, Bhatt L, Li J, Thampy V, Goodge B H, Muller D A, Raghu S, Yu Y, Hwang H Y 2025 Nat. Mater. 24 1221
Google Scholar
[63] 陈卓昱, 黄浩亮, 薛其坤 2025 74 097401
Google Scholar
Chen Z Y, Huang H L, Xue Q K 2025 Acta Phys. Sin. 74 097401
Google Scholar
-
图 1 Ruddlesden-Popper相Lan+1NinO3n+1. 从左至右分别为La2NiO4, La3Ni2O7, La4Ni3O10和LaNiO3; 蓝色、紫色、红色小球分别代表La, Ni和O原子, 虚线框内结构代表不同n值下的层数变化
Fig. 1. Ruddlesden-Popper phases Lan+1NinO3n+1. From left to right: La2NiO4, La3Ni2O7, La4Ni3O10 and LaNiO3; the blue, purple and red small balls represent La, Ni, and O atoms, respectively, the structures within the dashed box represent the changes in the layers under different n values.
图 2 压力下La3Ni2O7单晶的超导电性 (a) 固体传压介质(立方氮化硼)下La3Ni2O7的电阻曲线[2]; (b) 压力下La3Ni2O7的交流磁化率[2]; (c) 液体传压介质(Daphne 7373)下La3Ni2O7的零电阻和奇异金属态[19]; (d) 不同磁场下La3Ni2O7的电阻曲线[19]; (e) La3Ni2O7在压力下的超导相图[21]
Fig. 2. Superconductivity of La3Ni2O7 single crystal under pressure: (a) Resistance curves of La3Ni2O7 measured with solid as pressure-transmitting medium (cubic boron nitride)[2]; (b) the a.c. susceptibility of La3Ni2O7 under pressure[2]; (c) the zero resistance and strange metal behavior of La3Ni2O7 with liquid as pressure-transmitting medium (Daphne 7373)[19]; (d) resistance curves of La3Ni2O7 under various magnetic fields[19]; (e) superconductivity phase diagram of La3Ni2O7 under pressure[21].
图 3 压力下La3Ni2O7 多晶的超导电性 (a)—(d) 固体传压介质(氮化硼)下La3Ni2O7(固相反应)的电阻曲线[22,23]; (e) 液体传压介质(Daphne 7373, 甘油)下La3Ni2O7(溶胶凝胶法)的电阻曲线[24]
Fig. 3. Superconductivity of La3Ni2O7 polycrystalline under pressure: (a)–(d) Resistance curves of La3Ni2O7 (solid state reaction) measured with solid as pressure-transmitting medium (cubic boron nitride)[22,23]; (e) resistance curves of La3Ni2O7 (Sol-gel method) under pressure with liquid as pressure-transmitting medium (Daphne 7373, glycerol)[24].
图 4 La3Ni2O7单晶中的氧空位及压力下La2PrNi2O7多晶的超导电性 (a) La3Ni2O7单晶中的氧空位; (b), (c) 不同氧空位含量下不同氧位点的相位直方图[27]; (d) La3Ni2O7多晶中的堆垛缺陷[43]; (e) La2PrNi2O7多晶中的长程有序[43]; (f), (g) La2PrNi2O7多晶在压力下的零电阻和抗磁性[43]
Fig. 4. The oxygen vacancies in La3Ni2O7 single crystals and superconductivity of La2PrNi2O7 polycrystalline under pressure: (a) The oxygen vacancies in La3Ni2O7 single crystals; (b), (c) the phase histograms from distinct oxygen sites with different oxygen vacancy concentrations[27]; (d) the stacking faults of La3Ni2O7 polycrystalline [43]; (e) the long-range orders of La2PrNi2O7 polycrystalline[43]; (f), (g) zero resistance and diamagnetic signals of La2PrNi2O7 polycrystalline under pressure[43].
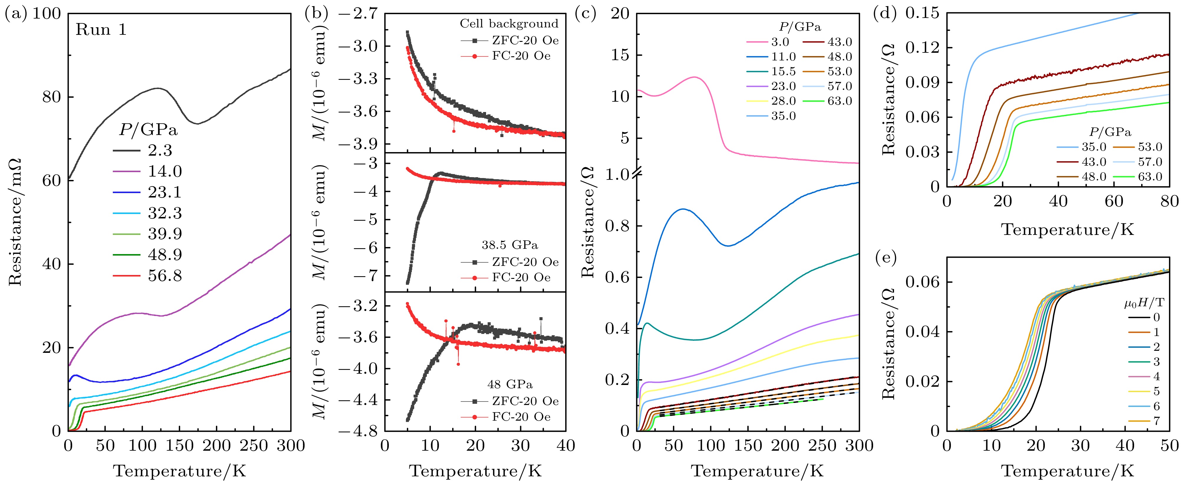
图 5 压力下La4Ni3O10单晶的超导电性 (a) 固体传压介质(氯化钠)下La4Ni3O10的电阻曲线[3]; (b) 气体传压介质(氖气)下La4Ni3O10的直流磁化率[3]; (c), (d) 气体传压介质(氦气)下La4Ni3O10的零电阻[4]; (e) 不同磁场下La4Ni3O10的电阻曲线(氦气)[4]
Fig. 5. Superconductivity of La4Ni3O10 single crystal under pressure: (a) Resistance curves of La4Ni3O10 measured with solid as pressure-transmitting medium (NaCl)[3]; (b) the d.c. susceptibility curves of La4Ni3O10 measured with gas as pressure-transmitting medium (neon)[3]; (c), (d) the zero resistance of La4Ni3O10 measured with gas as pressure-transmitting medium (helium)[4]; (e) resistance curves as a function of pressure under various magnetic fields (helium)[4].
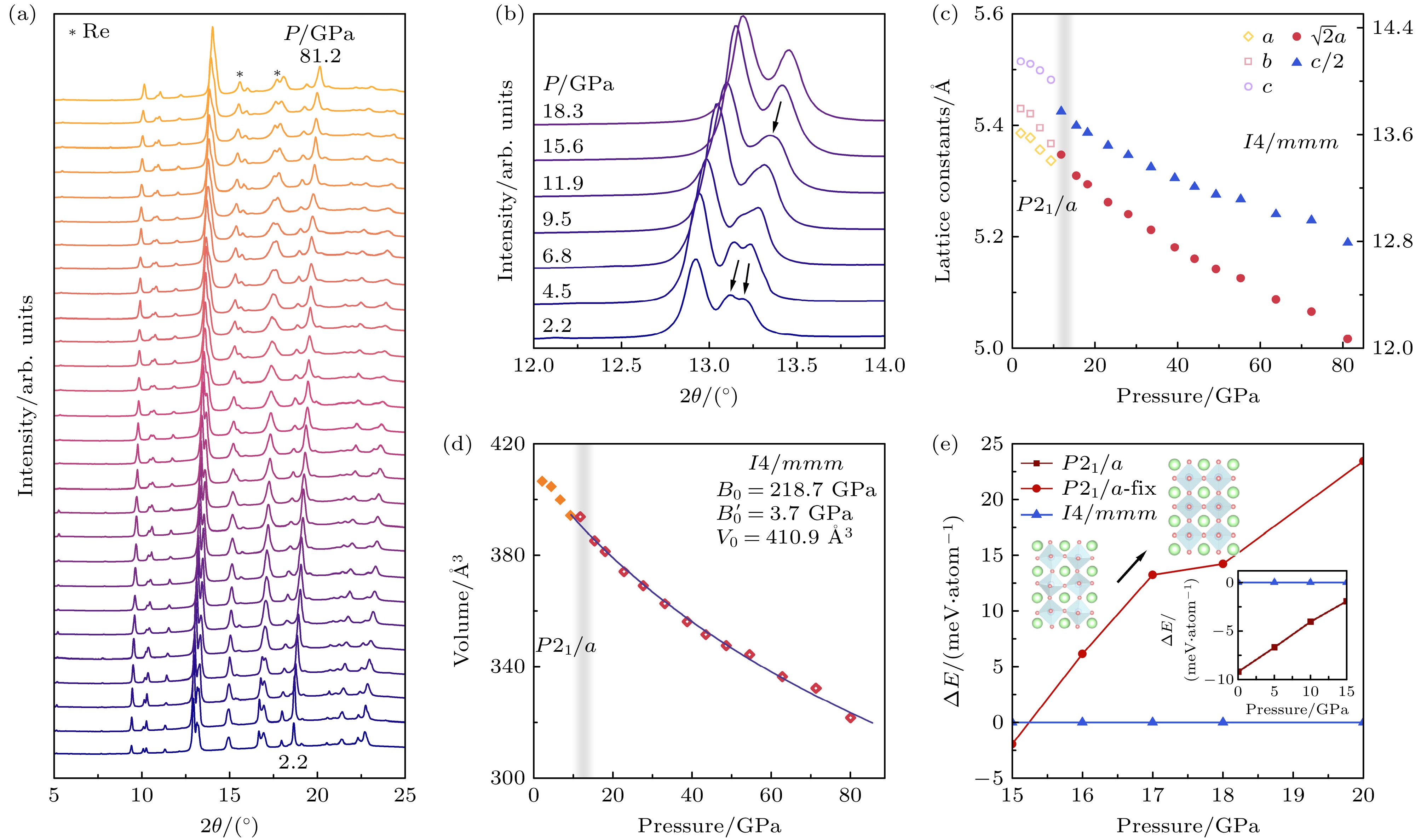
图 6 压力下La4Ni3O10单晶的结构相变[3] (a), (b) 压力下La4Ni3O10的同步辐射X射线衍射; 压力下La4Ni3O10的晶胞参数(c)和体积(d)变化; (e) P21/a和I4/mmm空间群的焓差随压力的变化
Fig. 6. Phase transition of La4Ni3O10 single crystal under pressure[3]: (a), (b) Synchrotron X-ray diffraction patterns of La4Ni3O10; the lattice parameters (c) and cell volume (d) as a function of pressure in La4Ni3O10; (e) the enthalpy between the space groups P21/a and I4/mmm as a function of pressure.
图 8 压力下Pr4Ni3O10多晶的超导电性[52] (a), (b) 压力下Pr4Ni3O10多晶的电阻曲线; (c) 压力下Pr4Ni3O10多晶的超导相图
Fig. 8. Superconductivity of Pr4Ni3O10 polycrystalline under pressure[52]: (a), (b) Resistance curves of Pr4Ni3O10 polycrystalline under pressure; (c) superconductivity phase diagram of Pr4Ni3O10 polycrystalline under pressure.
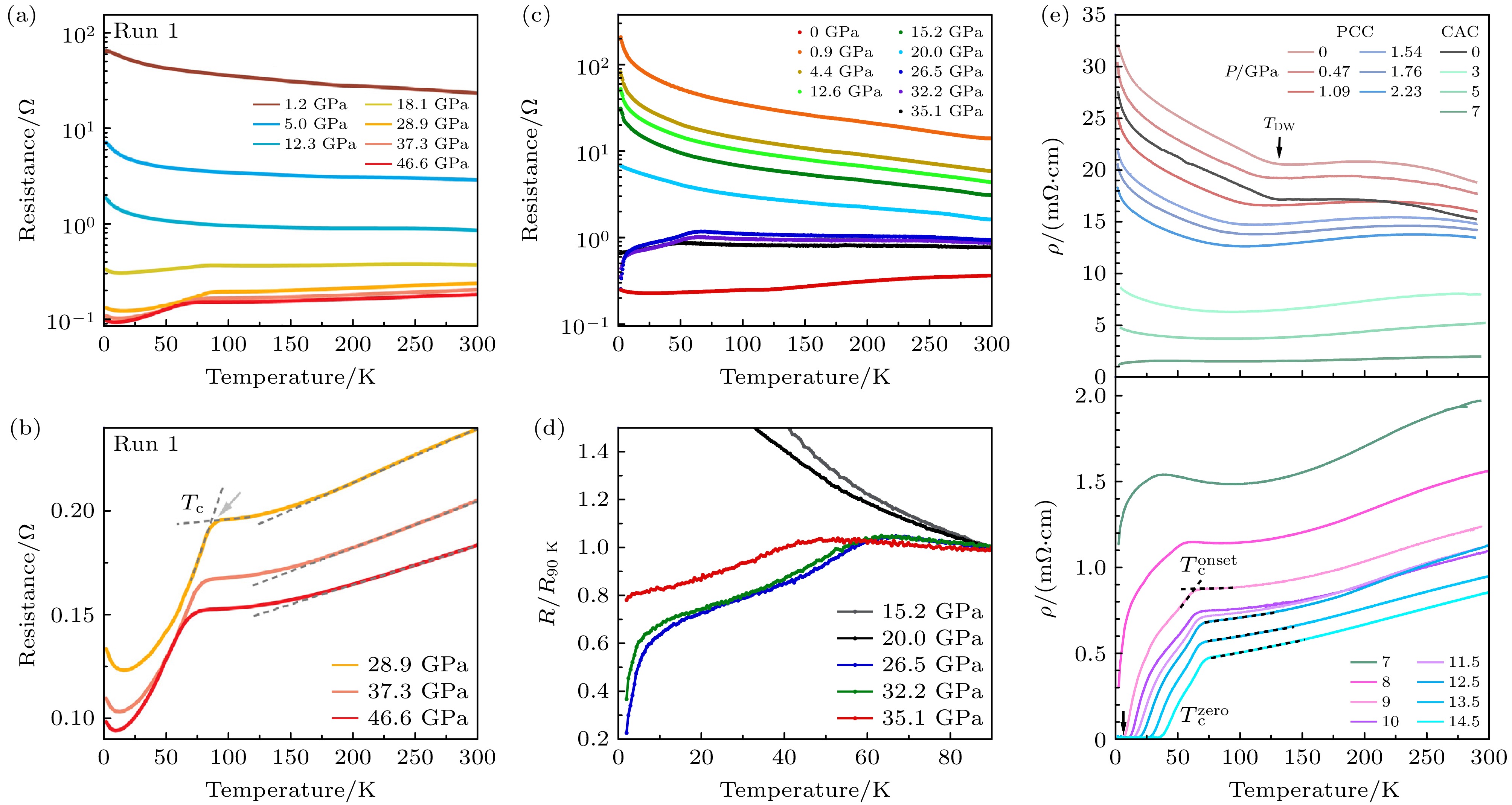
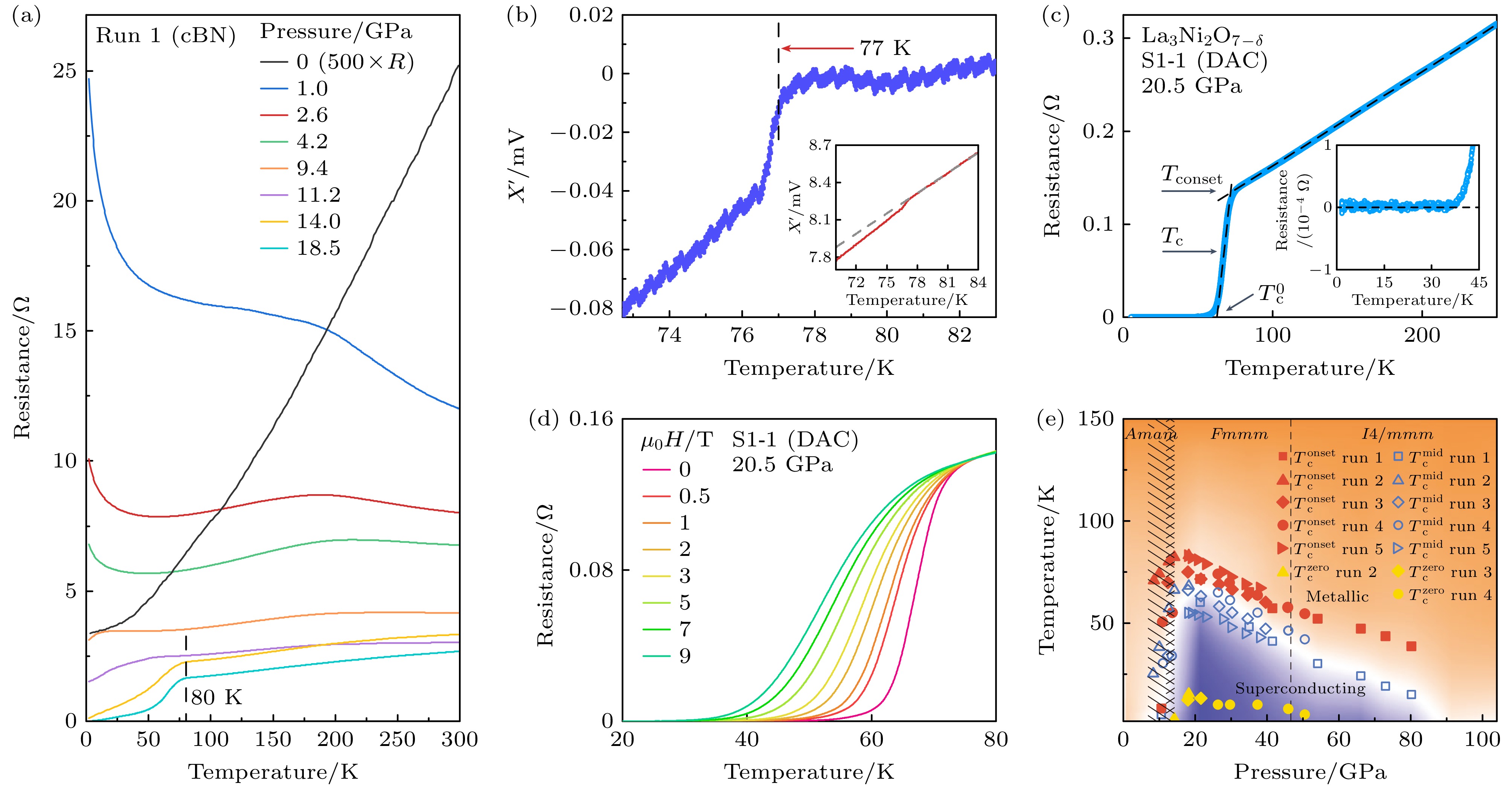
图 9 压力下Pr4Ni3O10单晶的超导电性[6,53] (a), (b) 液体传压介质(矿物油)下单晶的电阻曲线和直流磁化率[53]; (c), (d) 气体传压介质下单晶的电阻曲线(氦气)[6]和直流磁化率(氖气)[6]; (e), (f) 气体传压介质(氦气)下的零电阻及其在不同磁场下的电阻曲线[5]; (g), (h) 气体传压介质(氖气)下的直流磁化率[5]
Fig. 9. Superconductivity of Pr4Ni3O10 single crystal under pressure[6,53]: (a), (b) Resistance curves and d.c. susceptibility of Pr4Ni3O10 single crystal measured with liquid as pressure-transmitting medium (nujol)[53]; (c), (d) resistance curves (helium) and d.c. susceptibility (neon) measured with gas as pressure-transmitting medium[6]; (e), (f) zero resistance and the resistance curves under various magnetic fields measured with gas as pressure-transmitting medium (helium)[5]; (g), (h) the d.c. susceptibility measured with gas as pressure-transmitting medium (neon)[5].
图 10 压力下Pr4Ni3O10单晶的结构相变 (a), (b) 降温与加压过程中Pr4Ni3O10的同步辐射X射线衍射图谱; (c) 压力下Pr4Ni3O10的晶胞体积变化; (d) 压力下Pr4Ni3O10的超导相图
Fig. 10. Phase transition of Pr4Ni3O10 single crystal under pressure: (a), (b) Synchrotron X-ray diffraction patterns of Pr4Ni3O10 measured during cooling process and compression process; (c) the cell volume as a function of pressure in Pr4Ni3O10; (d) the superconductivity phase diagram of Pr4Ni3O10 under pressure.
-
[1] Li D F, Lee K, Wang B Y, Osada M, Crossley S, Lee H R, Cui Y, Hikita Y, Hwang H Y 2019 Nature 572 624
Google Scholar
[2] Sun H L, Huo M W, Hu X W, Li J Y, Liu Z J, Han Y F, Tang L Y, Mao Z Q, Yang P T, Wang B S, Cheng J G, Yao D X, Zhang G M, Wang M 2023 Nature 621 493
Google Scholar
[3] Zhang M X, Pei C Y, Peng D, Du X, Hu W X, Cao Y T, Wang Q, Wu J F, Li Y D, Liu H Y, Wen C H P, Song J, Zhao Y, Li C H, Cao W Z, Zhu S H, Zhang Q, Yu N, Cheng P H, Zhang L L, Li Z W, Zhao J K, Chen Y L, Jin C Q, Guo H J, Wu C J, Yang F, Zeng Q S, Yan S C, Yang L X, Qi Y P 2025 Phys. Rev. X 15 021005
Google Scholar
[4] Zhu Y H, Peng D, Zhang E K, Pan B Y, Chen X, Chen L X, Ren H F, Liu F Y, Hao Y Q, Li N N, Xing Z F, Lan F J, Han J Y, Wang J J, Jia D H, Wo H L, Gu Y Q, Gu Y M, Ji L, Wang W B, Gou H Y, Shen Y, Ying T P, Chen X L, Yang W G, Cao H B, Zheng C L, Zeng Q S, Guo J G, Zhao J 2024 Nature 631 531
Google Scholar
[5] Pei C, Zhang M, Peng D, Shen Y, Huangfu S, Zhu S, Wang Q, Wu J, Wang J, Xing Z, Zhang L, Kadobayashi H, Kawaguchi S, Chen Y, Zhao J, Yang W, SUO H, Guo H, Zeng Q, Zhang G, Qi Y 2026 http://engine.scichina.com/doi/10.1007/s11433-025-2852-4 (in press
[6] Zhang E K, Peng D, Zhu Y H, Chen L X, Cui B K, Wang X Y, Wang W B, Zeng Q S, Zhao J 2025 Phys. Rev. X 15 021008
Google Scholar
[7] Ko E K, Yu Y, Liu Y, Bhatt L, Li J, Thampy V, Kuo C T, Wang B Y, Lee Y, Lee K, Lee J S, Goodge B H, Muller D A, Hwang H Y 2025 Nature 638 935
Google Scholar
[8] Shi M, Peng D, Fan K, Xing Z, Yang S, Wang Y, Li H, Wu R, Du M, Ge B, Zeng Z, Zeng Q, Ying J, Wu T, Chen X 2025 Nat. Phys. 21 1780
Google Scholar
[9] Li Q, Zhang Y J, Xiang Z N, Zhang Y H, Zhu X Y, Wen H H 2024 Chin. Phys. Lett. 41 017401
Google Scholar
[10] Poirot N, Phuoc V T, Gruener G, Gervais F 2005 Solid State Sci. 7 1157
Google Scholar
[11] Kumar Y, Kumar P, Dixit G, Asokan K 2013 AIP Conf. Proc. 1536 1021
Google Scholar
[12] Wu G, Neumeier J, Hundley M 2001 Phys. Rev. B 63 245120
Google Scholar
[13] Zhang J J, Zheng H, Chen Y S, Ren Y, Yonemura M, Huq A, Mitchell J F 2020 Phys. Rev. Mater. 4 083402
Google Scholar
[14] Liu Z, Sun H, Huo M, Ma X, Ji Y, Yi E, Li L, Liu H, Yu J, Zhang Z 2023 Sci. China Phys. Mech. Astron. 66 217411
Google Scholar
[15] Taniguchi S, Nishikawa T, Yasui Y, Kobayashi Y, Takeda J, Shamoto S I, Sato M 1995 J. Phys. Soc. Jpn. 64 1644
Google Scholar
[16] Zhang J J, Zheng H, Ren Y, Mitchell J F 2017 Cryst. Growth Des. 17 2730
Google Scholar
[17] Sánchez R, Causa M, Caneiro A, Butera A, Vallet-Regi M, Sayagués M, González-Calbet J, Garcia-Sanz F, Rivas J 1996 Phys. Rev. B 54 16574
Google Scholar
[18] Zheng H, Wang B X, Phelan D, Zhang J J, Ren Y, Krogstad M, Rosenkranz S, Osborn R, Mitchell J 2020 Crystals 10 557
Google Scholar
[19] Zhang Y N, Su D J, Huang Y E, Shan Z Y, Sun H L, Huo M W, Ye K X, Zhang J W, Yang Z H, Xu Y K, Su Y, Li R, Smidman M, Wang M, Jiao L, Yuan H Q 2024 Nat. Phys. 20 1269
Google Scholar
[20] Hou J, Yang P T, Liu Z Y, Li J Y, Shan P F, Ma L, Wang G, Wang N N, Guo H Z, Sun J P, Uwatoko Y, Wang M, Zhang G M, Wang B S, Cheng J G 2023 Chin. Phys. Lett. 40 117302
Google Scholar
[21] Li J Y, Peng D, Ma P Y, Zhang H Y, Xing Z F, Huang X, Huang C X, Huo M W, Hu D Y, Dong Z X, Chen X, Xie T, Dong H L, Sun H L, Zeng Q S, Mao H K, Wang M 2025 Natl. Sci. Rev. 12 nwaf220
Google Scholar
[22] Zhang M X, Pei C Y, Wang Q Y, Zhao Y, Li C H, Cao W Z, Zhu S H, Wu J F, Qi Y P 2024 J. Mater. Sci. Technol. 185 147
Google Scholar
[23] Sakakibara H, Ochi M, Nagata H, Ueki Y, Sakurai H, Matsumoto R, Terashima K, Hirose K, Ohta H, Kato M, Takano Y, Kuroki K 2024 Phys. Rev. B 109 144511
Google Scholar
[24] Wang G, Wang N N, Shen X L, Hou J, Ma L, Shi L F, Ren Z A, Gu Y D, Ma H M, Yang P T, Liu Z Y, Guo H Z, Sun J P, Zhang G M, Calder S, Yan J Q, Wang B S, Uwatoko Y, Cheng J G 2024 Phys. Rev. X 14 011040
Google Scholar
[25] Gao R, Jin L, Huyan S Y, Ni D R, Wang H Z, Xu X H, Bud’ko S L, Canfield P, Xie W W, Cava R J 2024 ACS Appl. Mater. Interfaces 16 66857
Google Scholar
[26] Zhou Y, Guo J, Cai S, Sun H, Li C, Zhao J, Wang P, Han J, Chen X, Chen Y, Wu Q, Ding Y, Xiang T, Mao H K, Sun L 2025 Matter Radiat. Extrem. 10 027801
Google Scholar
[27] Dong Z, Huo M, Li J, Li J, Li P, Sun H, Gu L, Lu Y, Wang M, Wang Y, Chen Z 2024 Nature 630 847
Google Scholar
[28] Luo Z, Hu X, Wang M, Wu W, Yao D X 2023 Phys. Rev. Lett. 131 126001
Google Scholar
[29] Shen Y, Qin M, Zhang G M 2023 Chin. Phys. Lett. 40 127401
Google Scholar
[30] Yang Y F, Zhang G M, Zhang F C 2023 Phys. Rev. B 108 L201108
Google Scholar
[31] Zhang Y, Lin L F, Moreo A, Dagotto E 2023 Phys. Rev. B 108 L180510
Google Scholar
[32] Luo Z, Lü B, Wang M, Wu W, Yao D X 2024 npj Quantum Mater. 9 61
Google Scholar
[33] Zhang Y, Lin L F, Moreo A, Maier T A, Dagotto E 2023 Phys. Rev. B 108 165141
Google Scholar
[34] Yang Q G, Wang D, Wang Q H 2023 Phys. Rev. B 108 L140505
Google Scholar
[35] Sakakibara H, Kitamine N, Ochi M, Kuroki K 2024 Phys. Rev. Lett. 132 106002
Google Scholar
[36] Lu C, Pan Z M, Yang F, Wu C J 2024 Phys. Rev. B 110 094509
Google Scholar
[37] Pan Z M, Lu C, Yang F, Wu C J 2024 Chin. Phys. Lett. 41 087401
Google Scholar
[38] Lu C, Pan Z M, Yang F, Wu C J 2024 Phys. Rev. Lett. 132 146002
Google Scholar
[39] Lechermann F, Gondolf J, Bötzel S, Eremin I M 2023 Phys. Rev. B 108 L201121
Google Scholar
[40] Liu Y B, Mei J W, Ye F, Chen W Q, Yang F 2023 Phys. Rev. Lett. 131 236002
Google Scholar
[41] Shi L, Luo Y, Wu W, Zhang Y W 2025 Chin. Phys. B 34 077403
Google Scholar
[42] Carvalho M, Costa F A, Pereira I S, Bassat J, Grenier J 1997 J. Mater. Chem. 7 2107
Google Scholar
[43] Wang N N, Wang G, Shen X L, Hou J, Luo J, Ma X P, Yang H X, Shi L F, Dou J, Feng J, Yang J, Shi Y Q, Ren Z A, Ma H M, Yang P T, Liu Z Y, Liu Y, Zhang H, Dong X L, Wang Y X, Jiang K, Hu J P, Nagasaki S, Kitagawa K, Calder S, Yan J Q, Sun J P, Wang B S, Zhou R, Uwatoko Y, Cheng J G 2024 Nature 634 579
Google Scholar
[44] Li F Y, Guo N, Zheng Q, Shen Y, Wang S L, Cui Q H, Liu C, Wang S P, Tao X T, Zhang G M, Zhang J J 2024 Phys. Rev. Mater. 8 053401
Google Scholar
[45] Li F Y, Wang S L, Ma C, Wang X L, Liu C, Fan C Y, Han L, Wang S P, Tao X T, Zhang J J 2024 Cryst. Growth Des. 24 347
Google Scholar
[46] Chu C W, Deng L Z, Lü B 2015 Physica C 514 290
Google Scholar
[47] Rout D, Mudi S R, Hoffmann M, Spachmann S, Klingeler R, Singh S 2020 Phys. Rev. B 102 195144
Google Scholar
[48] Obradors X, Martinez B, Batlle X, Rodriguez-Carvajal J, Fernandez-Diaz M T, Martinez J L, Odier P 1991 J. Appl. Phys. 70 6329
Google Scholar
[49] Huangfu S, Jakub G D, Zhang X, Blacque O, Puphal P, Pomjakushina E, von Rohr F O, Schilling A 2020 Phys. Rev. B 101 104104
Google Scholar
[50] Torrance J B, Lacorre P, Nazzal A I, Ansaldo E J, Niedermayer C 1992 Phys. Rev. B 45 8209
Google Scholar
[51] Zheng H, Zhang J, Wang B, Phelan D, Krogstad M J, Ren Y, Phelan W A, Chmaissem O, Poudel B, Mitchell J F 2019 Crystals 9 324
Google Scholar
[52] Huang X, Zhang H, Li J, Huo M, Chen J, Qiu Z, Ma P, Huang C, Sun H, Wang M 2024 Chin. Phys. Lett. 41 127403
Google Scholar
[53] Chen X, Poldi E H T, Huyan S, Chapai R, Zheng H, Bud’ko S L, Welp U, Canfield P C, Hemley R J, Mitchell J F, Phelan D 2025 Phys. Rev. B 111 094525
Google Scholar
[54] Lu C, Pan Z, Yang F, Wu C 2025 Phys. Rev. B 111 134515
Google Scholar
[55] Chen C Q, Luo Z, Wang M, Wu W, Yao D X 2024 Phys. Rev. B 110 014503
Google Scholar
[56] Yang Q G, Jiang K Y, Wang D, Lu H Y, Wang Q H 2024 Phys. Rev. B 109 L220506
Google Scholar
[57] Zhang Y, Lin L F, Moreo A, Maier T A, Dagotto E 2024 Phys. Rev. Lett. 133 136001
Google Scholar
[58] Zhang M, Sun H, Liu Y B, Liu Q, Chen W Q, Yang F 2024 Phys. Rev. B 110 L180501
Google Scholar
[59] Qin Q, Wang J, Yang Y F 2024 The Innovation Materials 2 100102
Google Scholar
[60] Huang J K, Zhou T 2024 Phys. Rev. B 110 L060506
Google Scholar
[61] Zhou G D, Lü W, Wang H, Nie Z H, Chen Y Q, Li Y Y, Huang H L, Chen W Q, Sun Y J, Xue Q K, Chen Z Y 2025 Nature 640 641
Google Scholar
[62] Liu Y, Ko E K, Tarn Y, Bhatt L, Li J, Thampy V, Goodge B H, Muller D A, Raghu S, Yu Y, Hwang H Y 2025 Nat. Mater. 24 1221
Google Scholar
[63] 陈卓昱, 黄浩亮, 薛其坤 2025 74 097401
Google Scholar
Chen Z Y, Huang H L, Xue Q K 2025 Acta Phys. Sin. 74 097401
Google Scholar
计量
- 文章访问数: 418
- PDF下载量: 13
- 被引次数: 0








下载: