-
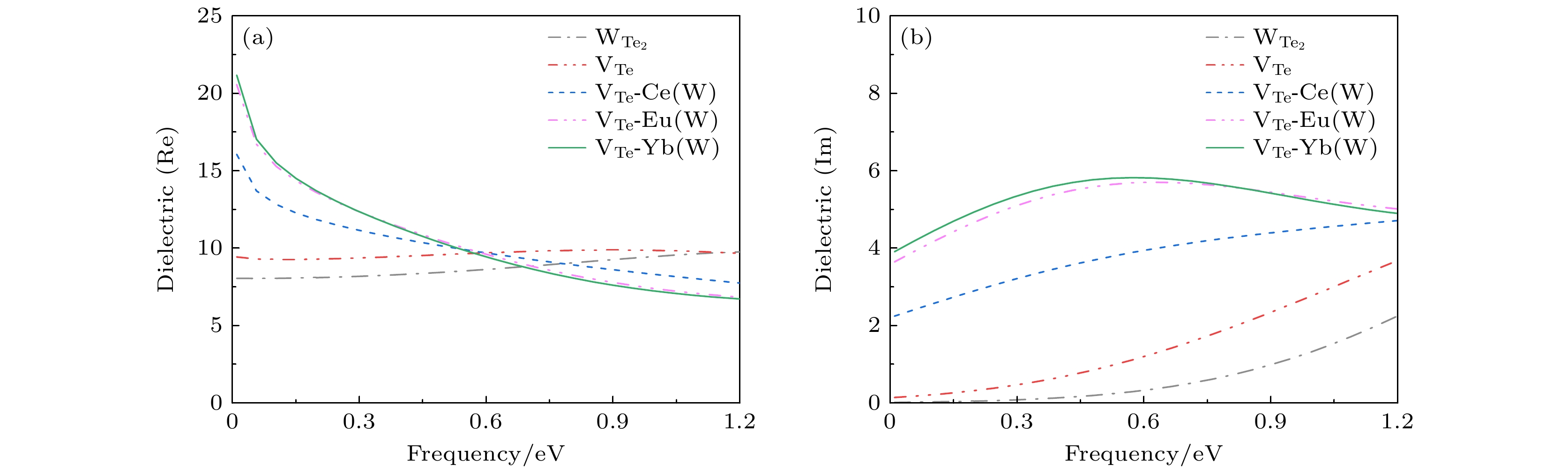
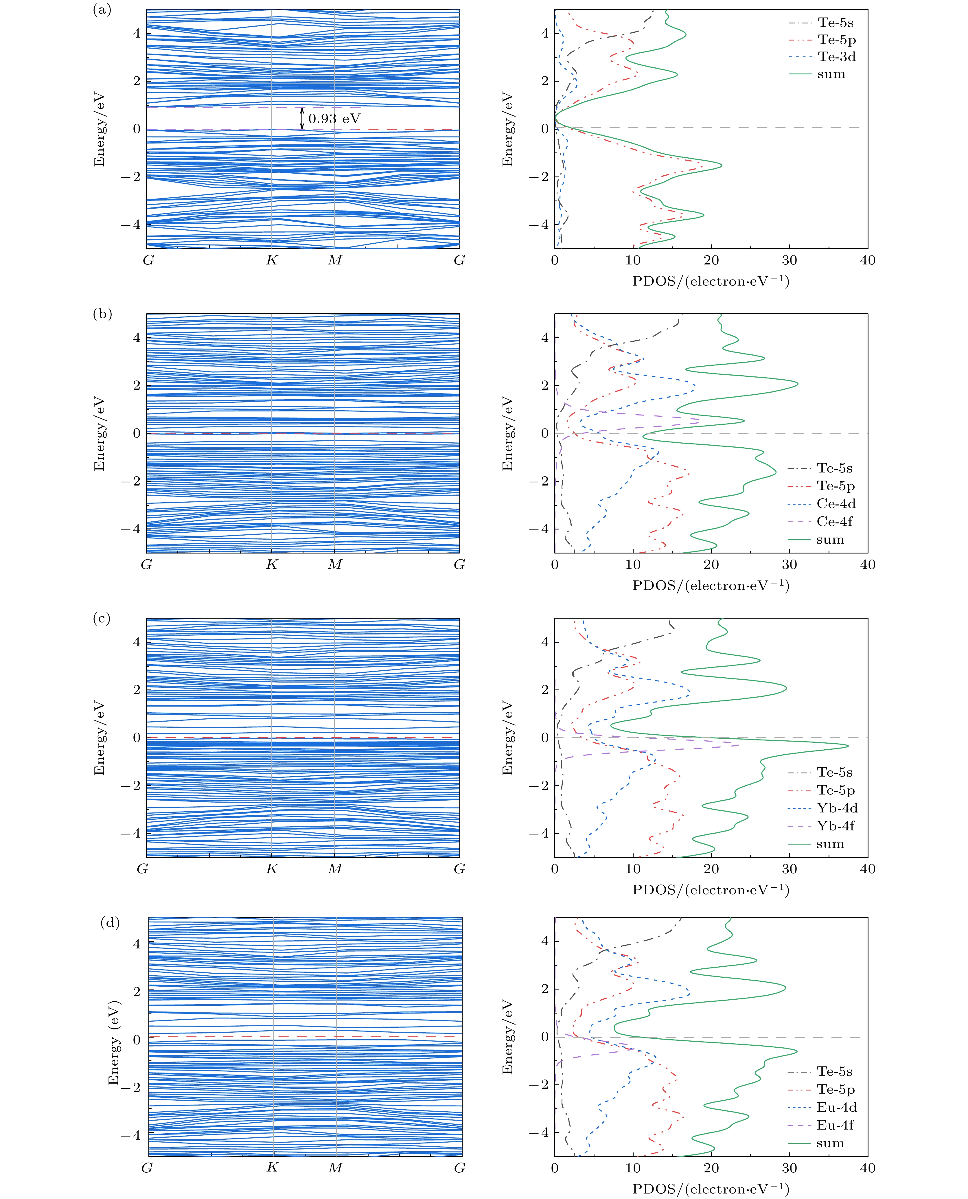
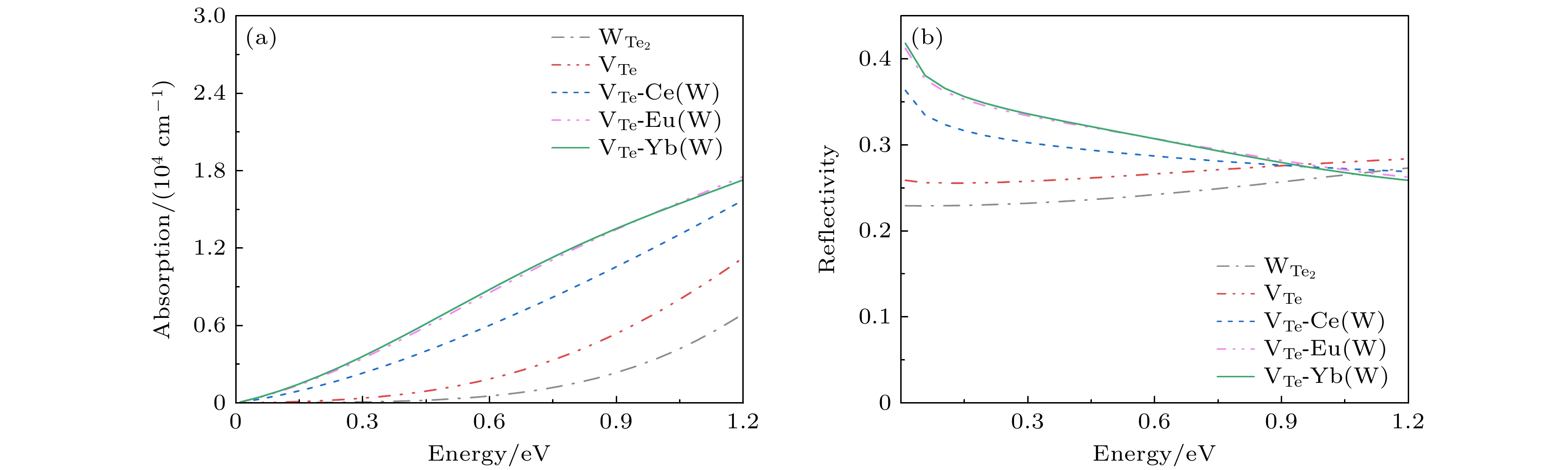
本文采用基于密度泛函理论的第一性原理平面波超软赝势方法, 计算了本征单层二碲化钨 (WTe2)、单碲空位缺陷(VTe)单层WTe2及稀土元素X (X = Ce, Yb, Eu)掺杂含VTe的单层WTe2 (VTe-X)的能带结构、电子态密度及光学性质, 以探究稀土掺杂与单碲空位缺陷的共同作用对单层WTe2光学性质的提升效果. 相较于VTe缺陷类型, VTe-X缺陷类型对单层WTe2材料在红外波段(0—1.2 eV)的光学性能提升更佳. 所有VTe-X缺陷类型均表现出金属性, 费米能级附近的电子态密度峰值显著增强. 其中VTe-Yb缺陷类型在红外范围内的吸收系数、反射率、静介电常数和介电函数虚部峰值较单层WTe2分别提升了3.76倍、1.83倍、2.63倍和24.20倍. 该研究为基于单层WTe2衬底的红外光传感器设计提供了理论依据.Using first-principles calculations based on density functional theory with a plane-wave ultrasoft pseudopotential approach, we conduct computations using the CASTEP (Cambridge Sequential Total Energy Package) module within the Materials Studio software. The electronic band structures, densities of states, and optical properties of intrinsic monolayer WTe2, monolayer WTe2 with a single tellurium vacancy (VTe), and rare-earth-doped VTe-containing monolayer WTe2 (VTe-X, where X = Ce, Yb, Eu) are systematically investigated to explore the synergistic effects of rare-earth doping and tellurium vacancy defects on the optical properties of monolayer WTe2. The results indicate that compared with the VTe model, the VTe-X models lead to a more pronounced enhancement of the optical performance in the infrared region (0–1.2 eV). All of VTe-X structures exhibit metallic characteristics, with a notable increase in the density of states near the Fermi level. In particular, the VTe-Yb model demonstrates significant improvement in the infrared range: the absorption coefficient, reflectivity, static dielectric constant, and peak value of the imaginary part of the dielectric function are enhanced by factors of 3.76, 1.83, 2.63, and 24.20, respectively, compared with those of pristine monolayer WTe2. This study provides a theoretical foundation for designing infrared photodetectors based on monolayer WTe2 substrates.
-
Keywords:
- monolayer WTe2 /
- first principles /
- optical property
[1] Wu D, Mo Z H, Li X, Ren X Y, Shi Z F, Li X J, Zhang L, Yu X C, Peng H X, Zeng L H, Shan C X 2024 Appl. Phys. Rev. 11 041401
Google Scholar
[2] Zhu S H, Liu H, Wu J X, Mei J L, Zhang R, Liu Y, Chen Y, Cai X H 2025 ACS Appl. Mater. Int. 17 22060
Google Scholar
[3] Song T C, Jia Y, Yu G, Tang Y, Uzan A J, Zheng Z Y J, Guan H S, Onyszczak M, Singha R 2025 Phys. Rev. Res. 7 013224
Google Scholar
[4] Kim H, Yoo Y D 2025 Adv. Sci. 12 2500516
Google Scholar
[5] Yang H, Synnatschke K, Yoon J, Mirhosseini H, Hermes I M, Li X D, Neumann C, Morag A, Turchanin A, Kühne T D, Parkin S S P, Yang S, Nia A S, Feng X L 2025 ACS. Nano. 19 14309
Google Scholar
[6] Song T C, Jia Y Y, Yu G, Tang Y, Wang P J, Singha R, Gui X, Uzan-Narovlansky A J, Onyszczak M, Watanabe K, Taniguchi T, Cava R J, Schoop L M, Ong N P, Wang S F 2024 Nat. Phys. 20 269
Google Scholar
[7] Xu S Y, Ma Q, Shen H T, Fatemi V, Wu S F, Chang T R, Chang G Q, Mier Valdivia A M, Chan C K, Gibson Q D, Zhou J D, Liu Z, Watanabe K, Taniguchi T, Lin H, Cava R J, Fu L, Gedik N, Jarillo-Herrero P 2018 Nat. Phys. 14 900
Google Scholar
[8] Liu X, Zhao H Q, Chen Y, Liang X X, Liu S X, Huang Z Q, Wu Z P, Mao Y L, Shi X 2024 Mater. Today Chem. 38 102077
Google Scholar
[9] Liu Y W, Xiao C, Li Z, Xie Y 2016 Adv. Energy Mater. 6 1600436
Google Scholar
[10] Li J, Liang Y C, Li X X, Wei G M, Zhang Z H, Chen Q 2025 Mole. Cata. 579 115048
[11] Schuler B, Qiu D Y, Refaely-Abramson S, Kastl C, Chen C, Barja S, Koch R, Ogletree F, Aloni S 2019 Phys. Rev. Lett. 123 076801
Google Scholar
[12] Yelgel C, Yelgel Ö C 2024 Model. Sim. Mater. Sci. Eng. 32 085016
Google Scholar
[13] Wu D, Guo J W, Wang C Q, Ren X Y, Chen Y S, Lin P, Zeng L H, Shi Z F, Li X J, Shan C X, Jie J S 2021 ACS Nano 15 10119
Google Scholar
[14] Torun E, Sahin H, Cahangirov S, Rubio A, Peeters F M 2016 J. App. Phys. 119 074307
Google Scholar
[15] 刘源, 黄友强, 赵英杰, 白功勋, 徐时清 2021 激光与光电子学进展 58 1516014
Google Scholar
Liu Y, Huang Y Q, Zhao Y J, Bai G X, Xu S Q 2021 Las. Opt. Prog. 58 1516014
Google Scholar
[16] Xu D, Chen W Y, Zeng M Q, Xue H F, Chen Y X, Sang X H, Xiao Y, Zhang T, Unocic R R, Xiao K, Fu L 2018 Angew. Chem. Int. Edit. 57 755
Google Scholar
[17] Li L S, Carter E A 2019 J. Am. Chem. Soc. 141 10451
Google Scholar
[18] Chiritescu C, Cahill D, Nguyen N, Johnson D, Bodapati A, Keblinski P, Zschack P 2007 Science 315 351
Google Scholar
[19] Clark S J, Segall M D, Pickard C J, Hasnip P J, Probert M I J, Refson K, Payne M C 2005 Z. Krist. Cryst. Mater. 220 567
Google Scholar
[20] Pfrommer B G, Côté M, Louie S G, Cohen M L 1997 J. Comput. Phys. 131 233
Google Scholar
[21] Yang Z H, Wang X Y, Su X P 2012 J. Central South Univ. 19 1796
Google Scholar
[22] Luo L, Zhu H Q, Yin K H, Wu Z B, Xu F X, Gao T J, Yue Y X, Chen J J, Feng Q, Yang Y, Jia W Y 2024 ACS Ome. 10 1486
[23] Chauhan I, Kaur M, Singh K, Kumar A 2025 Adv. Semi. 1 169
[24] Du D X, Flannigan D J 2020 Struc. Dynam. 7 024103
Google Scholar
[25] Saraswat R, Kolos M, Verma R, Karlický F, Bhattacharya S 2024 J. Phys. Chem. C 128 8341
Google Scholar
[26] Basiuk V A, Henao-Holguín L V 2014 J. Comp. Theo. Nano. 11 1609
Google Scholar
[27] Tong Z, Dumitrică T, Frauenheim T 2021 Phys. Chem. Chem. Phy. 23 19627
Google Scholar
-
-
[1] Wu D, Mo Z H, Li X, Ren X Y, Shi Z F, Li X J, Zhang L, Yu X C, Peng H X, Zeng L H, Shan C X 2024 Appl. Phys. Rev. 11 041401
Google Scholar
[2] Zhu S H, Liu H, Wu J X, Mei J L, Zhang R, Liu Y, Chen Y, Cai X H 2025 ACS Appl. Mater. Int. 17 22060
Google Scholar
[3] Song T C, Jia Y, Yu G, Tang Y, Uzan A J, Zheng Z Y J, Guan H S, Onyszczak M, Singha R 2025 Phys. Rev. Res. 7 013224
Google Scholar
[4] Kim H, Yoo Y D 2025 Adv. Sci. 12 2500516
Google Scholar
[5] Yang H, Synnatschke K, Yoon J, Mirhosseini H, Hermes I M, Li X D, Neumann C, Morag A, Turchanin A, Kühne T D, Parkin S S P, Yang S, Nia A S, Feng X L 2025 ACS. Nano. 19 14309
Google Scholar
[6] Song T C, Jia Y Y, Yu G, Tang Y, Wang P J, Singha R, Gui X, Uzan-Narovlansky A J, Onyszczak M, Watanabe K, Taniguchi T, Cava R J, Schoop L M, Ong N P, Wang S F 2024 Nat. Phys. 20 269
Google Scholar
[7] Xu S Y, Ma Q, Shen H T, Fatemi V, Wu S F, Chang T R, Chang G Q, Mier Valdivia A M, Chan C K, Gibson Q D, Zhou J D, Liu Z, Watanabe K, Taniguchi T, Lin H, Cava R J, Fu L, Gedik N, Jarillo-Herrero P 2018 Nat. Phys. 14 900
Google Scholar
[8] Liu X, Zhao H Q, Chen Y, Liang X X, Liu S X, Huang Z Q, Wu Z P, Mao Y L, Shi X 2024 Mater. Today Chem. 38 102077
Google Scholar
[9] Liu Y W, Xiao C, Li Z, Xie Y 2016 Adv. Energy Mater. 6 1600436
Google Scholar
[10] Li J, Liang Y C, Li X X, Wei G M, Zhang Z H, Chen Q 2025 Mole. Cata. 579 115048
[11] Schuler B, Qiu D Y, Refaely-Abramson S, Kastl C, Chen C, Barja S, Koch R, Ogletree F, Aloni S 2019 Phys. Rev. Lett. 123 076801
Google Scholar
[12] Yelgel C, Yelgel Ö C 2024 Model. Sim. Mater. Sci. Eng. 32 085016
Google Scholar
[13] Wu D, Guo J W, Wang C Q, Ren X Y, Chen Y S, Lin P, Zeng L H, Shi Z F, Li X J, Shan C X, Jie J S 2021 ACS Nano 15 10119
Google Scholar
[14] Torun E, Sahin H, Cahangirov S, Rubio A, Peeters F M 2016 J. App. Phys. 119 074307
Google Scholar
[15] 刘源, 黄友强, 赵英杰, 白功勋, 徐时清 2021 激光与光电子学进展 58 1516014
Google Scholar
Liu Y, Huang Y Q, Zhao Y J, Bai G X, Xu S Q 2021 Las. Opt. Prog. 58 1516014
Google Scholar
[16] Xu D, Chen W Y, Zeng M Q, Xue H F, Chen Y X, Sang X H, Xiao Y, Zhang T, Unocic R R, Xiao K, Fu L 2018 Angew. Chem. Int. Edit. 57 755
Google Scholar
[17] Li L S, Carter E A 2019 J. Am. Chem. Soc. 141 10451
Google Scholar
[18] Chiritescu C, Cahill D, Nguyen N, Johnson D, Bodapati A, Keblinski P, Zschack P 2007 Science 315 351
Google Scholar
[19] Clark S J, Segall M D, Pickard C J, Hasnip P J, Probert M I J, Refson K, Payne M C 2005 Z. Krist. Cryst. Mater. 220 567
Google Scholar
[20] Pfrommer B G, Côté M, Louie S G, Cohen M L 1997 J. Comput. Phys. 131 233
Google Scholar
[21] Yang Z H, Wang X Y, Su X P 2012 J. Central South Univ. 19 1796
Google Scholar
[22] Luo L, Zhu H Q, Yin K H, Wu Z B, Xu F X, Gao T J, Yue Y X, Chen J J, Feng Q, Yang Y, Jia W Y 2024 ACS Ome. 10 1486
[23] Chauhan I, Kaur M, Singh K, Kumar A 2025 Adv. Semi. 1 169
[24] Du D X, Flannigan D J 2020 Struc. Dynam. 7 024103
Google Scholar
[25] Saraswat R, Kolos M, Verma R, Karlický F, Bhattacharya S 2024 J. Phys. Chem. C 128 8341
Google Scholar
[26] Basiuk V A, Henao-Holguín L V 2014 J. Comp. Theo. Nano. 11 1609
Google Scholar
[27] Tong Z, Dumitrică T, Frauenheim T 2021 Phys. Chem. Chem. Phy. 23 19627
Google Scholar
计量
- 文章访问数: 324
- PDF下载量: 6
- 被引次数: 0








下载: