-
在量子信息领域, 不同纠缠态的判定与分类一直以来就是人们关注的重点课题. 本文借助实验上成熟可控的单轴旋转模型, 对常规局域操作下无法利用量子Fisher信息实现区分的3种特殊纠缠态(4比特GHZ态, 4比特${\mathrm{W}}\overline{{\mathrm{W}}}$态, 4比特SGT态)开展纠缠判定研究. 通过对3种量子态在单轴旋转模型下进行方向优化和相互作用强度调节, 实现了三者的量子Fisher信息区分. 另外, 还研究了4种环境噪声(即比特翻转信道、振幅阻尼信道、相位阻尼信道、去极化信道)对纠缠判定的影响. 结果显示, 在局域操作下, 4比特GHZ态的量子Fisher信息在4种噪声通道中随退相干参数p的变化明显区别于${\mathrm{W}}\overline{{\mathrm{W}}}$态和SGT态, 可以区分; 而${\mathrm{W}}\overline{{\mathrm{W}}}$态和SGT态的量子Fisher信息变化相同, 无法区分. 在单轴旋转模型下, 3种量子态的量子Fisher信息在4种噪声通道下的变化曲线互不相同, 可以明显区分. 需要注意的是, 在比特翻转通道中, 随着退相干参数p的变化, ${\mathrm{W}}\overline{{\mathrm{W}}}$态与SGT态的量子Fisher信息在中间区域($p \approx0.5$)有重叠, 无法区分. 本文的工作为多体系统的量子纠缠判定提供了一种新的思路.
-
关键词:
- 纠缠判定与分类 /
- 量子Fisher信息 /
- 单轴旋转模型 /
- GHZ态 /
- ${\mathrm{W}}\overline{{\mathrm{W}}} $态 /
- SGT态
Entanglement detection and classification of different kinds of entangled states in quantum many-body systems have always been a key topic in quantum information and quantum computation. In this work, we investigate the entanglement detection and classification of three special entangled states: 4-qubit GHZ state, 4-qubit $ {\mathrm{W}}\overline{{\mathrm{W}}} $ state, and 4-qubit SGT state, which cannot be distinguished by the general quantum Fisher information (QFI) under the usual local operations. By utilizing the experimentally mature and controllable one-axis twisting model, along with optimized rotations and adjustable interaction strength, we successfully classify the three states by QFI. Additionally, we also study the effects of four types of environmental noise on entanglement detection, namely, bit-flip channel, amplitude-damping channel, phase-damping channel, and depolarizing channel. The results show that under local operations, the changes of the QFI from the 4-qubit GHZ state with decoherence parameter p in four noise channels are significantly different from those of the $ {\mathrm{W}}\overline{{\mathrm{W}}} $ state and SGT state, and thus making them distinguished. However, the QFI about the $ {\mathrm{W}}\overline{{\mathrm{W}}} $ state and the QFI about the SGT state exhibit the same variations and cannot be classified. In the one-axis twisting model, the variation curves of the QFI of the three states under the four noise channels are different from each other, which can be clearly observed. It should be noted that in the bit-flip channel, the QFI curves of the $ {\mathrm{W}}\overline{{\mathrm{W}}} $ state and the SGT state overlaps in the middle region ($ p\approx0.5 $), which prevents their classification. Our work provides a new method for entanglement detection and classification in quantum many-body systems, which will contribute to future research in quantum science and technology.-
Keywords:
- entanglement detection and classification /
- quantum Fisher information /
- one-axis twisting model /
- GHZ state /
- ${\mathrm{W}}\overline{{\mathrm{W}}} $ state /
- SGT state
[1] Gühne O, Tóth G 2009 Phys. Rep. 474 1
Google Scholar
[2] Chefles A 2010 Contemp. Phys. 41 401
[3] Bae J, Kwek L C 2015 J. Phys. A 48 083001
Google Scholar
[4] Friis N, Vitagliano G, Malik M, Huber M 2019 Nat. Rev. Phys. 1 72
[5] Chen D X, Zhang Y, Zhao J L, Wu Q C, Fang Y L, Yang C P, Nori F 2022 Phys. Rev. A 106 022438
Google Scholar
[6] Zhu C H, Shi T T, Ding L Y, Zheng Z Y, Zhang X, Zhang W 2025 arXiv: 2502.20717v1 [quant-ph]
[7] Cramer M, Plenio M B, Flammia S T, Somma R, Gross D, Bartlett S D, Landon-Cardinal O, Poulin D, Liu Y K 2010 Nat. Commun. 1 149
Google Scholar
[8] Wang T T, Song M H, Lyu L K, Witczak-Krempa W, Meng Z Y 2025 Nat. Commun. 16 96
Google Scholar
[9] He L, Zhao Q, Li Z D, Yin X F, Yuan X, Hung J C, Chen L K, Li L, Liu N L, Peng C Z, Liang Y C, Ma X F, Chen Y A, Pan J W 2018 Phys. Rev. X 8 021072
[10] Zwerger M, Dür W, Bancal J D, Sekatski P 2019 Phys. Rev. Lett. 122 060502
Google Scholar
[11] Pezzè L, Smerzi A 2009 Phys. Rev. Lett. 102 100401
Google Scholar
[12] Hyllus P, Laskowski W, Krischek R, Schwemmer C, Wieczorek W, Weinfurter H, Pezzè L, Smerzi A 2012 Phys. Rev. A 85 022321
Google Scholar
[13] Huang Y L, Che L Y, Wei C, Xu F, Nie X F, Li J, Lu D W, Xin T 2025 npj Quantum Inf. 11 29
Google Scholar
[14] Ayachi F E, Mansour H A, Baz M E 2025 Commun. Theor. Phys. 77 065104
Google Scholar
[15] Feng T F, Vedral V 2022 Phys. Rev. D 106 066013
Google Scholar
[16] Li L J, Fan X G, Song X K, Ye L, Wang D 2024 Phys. Rev. A 110 012418
Google Scholar
[17] 丘尚锋, 徐桥, 周晓祺 2025 74 110301
Google Scholar
Qiu S F, Xu Q, Zhou X Q 2025 Acta Phys. Sin. 74 110301
Google Scholar
[18] Li H, Gao T, Yan F L 2024 Phys. Rev. A 109 012213
Google Scholar
[19] Dong D D, Li L J, Song X K, Ye L, Wang D 2024 Phys. Rev. A 110 032420
Google Scholar
[20] Strobel H, Muessel W, Linnemann D, Zibold T, Hume D B, Pezzè L, Smerzi A, Oberthaler M K 2014 Science 345 424
[21] Pezzè L, Li Y, Li W D, Smerzi A 2016 Proc. Natl. Acad. Sci. 113 11459
Google Scholar
[22] Pezzè L, Smerzi A, Oberthaler M K, Schmied R, Treutlein P 2018 Rev. Mod. Phys. 90 035005
Google Scholar
[23] 任志红, 李岩, 李艳娜, 李卫东 2019 68 040601
Google Scholar
Ren Z H, Li Y, Li Y N, Li W D 2019 Acta. Phys. Sin. 68 040601
Google Scholar
[24] Qin Z Z, Gessner M, Ren Z H, Deng X W, Han D M, Li W D, Su X L, Smerzi A, Peng K C 2019 npj Quantum Inf. 5 3
Google Scholar
[25] Ren Z H, Li W D, Smerzi A, Gessner M 2021 Phys. Rev. Lett. 126 080502
Google Scholar
[26] Xu K, Zhang Y R, Sun Z H, Li H, Song P T, Xiang Z C, Huang K X, Li H, Shi Y H, Chen C T, Song X H, Zheng D N, Nori F, Wang H, Fan H 2022 Phys. Rev. Lett. 128 150501
Google Scholar
[27] Li Y, Ren Z H 2023 Phys. Rev. A 107 012403
Google Scholar
[28] Li Y, Ren Z H 2024 Chaos, Solitons and Fractals 186 115299
Google Scholar
[29] 郑盟锟, 尤力 2018 67 160303
Google Scholar
Tey M K, You L 2018 Acta Phys. Sin. 67 160303
Google Scholar
[30] Fisher R A 1922 Philos. Trans. R. Soc. Lond. Ser. A 222 309
Google Scholar
[31] Cramér H 1946 Mathematical Methods of Statistics (Princeton: Princeton University
[32] Li Y, Pezzè L, Gessner M, Ren Z H, Li W D, Smerzi A 2018 Entropy 20 628
Google Scholar
[33] Nolan S, Smerzi A, Pezze L 2021 npj Quantum Inf. 7 169
Google Scholar
[34] Han C Y, Ma Z, Qiu Y X, Fang R H, Wu J T, Zhan C, Li M J, Huang J H, Lu B, Lee C H 2024 Phys. Rev. Applied 22 044058
Google Scholar
[35] Li Y, Ren Z H 2022 Physica A 596 127137
Google Scholar
[36] Imai S, Smerzi A, Pezze L 2025 Phys. Rev. A 111 L020402
Google Scholar
[37] Braunstein S L, Caves C M 1994 Phys. Rev. Lett. 72 3439
Google Scholar
[38] Shen Y, Zhou J G, Huang J H, Lee C H 2024 Phys. Rev. A 110 042619
Google Scholar
[39] Fortes R, Rigolin G 2015 Phys. Rev. A 92 012338
Google Scholar
[40] Kraus K 1983 States, Effects and Operations: Fundamental Notions of Quantum Theory (Berlin: Springer-Verlag) pp1–12
[41] Nielsen M A, Chuang I L 2000 Quantum Computation and Quantum Information (Cambridge: Cambridge University Press) pp473–497
-
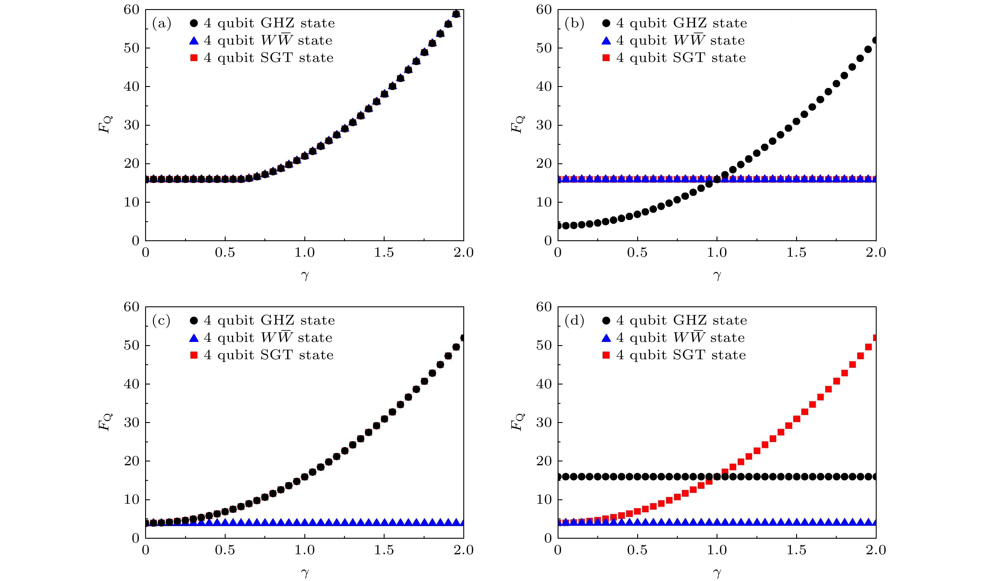
图 1 4量子比特GHZ态、$ {\mathrm{W}}\overline{{\mathrm{W}}} $态和SGT态在单轴旋转模型下的量子Fisher信息. 黑色圆点、蓝色三角形、红色方块依次表示GHZ态、$ {\mathrm{W}}\overline{{\mathrm{W}}} $态和SGT态的量子Fisher信息随相互作用参数γ的变化结果 (a)彼此独立优化旋转方向n下的结果((25)式); (b)单轴旋转为x轴的结果((26)式); (c)单轴旋转为y轴的结果((27)式); (d)单轴旋转为z轴的结果((29)式)
Fig. 1. The QFI of the 4-qubit GHZ state, $ {\mathrm{W}}\overline{{\mathrm{W}}} $ state and SGT state under the one-axis twisting model. Black dots, blue triangles and red squares represent the QFI of the GHZ state, $ {\mathrm{W}}\overline{{\mathrm{W}}} $, and SGT state with respect to the interaction parameter γ: (a) The results under the condition that the rotation directions n are optimized independently (Eq. (25)); (b) the results when the rotation is along the x-axis (Eq. (26)); (c) the results when the rotation is along the y-axis (Eq. (27)); (d) the results when the rotation is along the z-axis (Eq. (29)).
图 2 在局域操作下, 4量子比特GHZ态、$ {\mathrm{W}}\overline{{\mathrm{W}}} $态和SGT态在比特翻转、相位阻尼、振幅阻尼和去极化通道下的量子Fisher信息. 黑色圆点、蓝色三角形、红色方块依次表示GHZ态、$ {\mathrm{W}}\overline{{\mathrm{W}}} $态和SGT态的量子Fisher信息随退相干参数p的变化结果 (a)量子态在比特翻转通道下的结果; (b)量子态在相位阻尼通道中的结果; (c)在振幅阻尼通道中的结果; (d)在去极化通道下的结果
Fig. 2. The QFI of the 4-qubit GHZ state, $ {\mathrm{W}}\overline{{\mathrm{W}}} $ state and SGT state under the bit-flip, phase damping, amplitude damping, and depolarizing channels with local operations. Black dots, blue triangles and red squares represent the QFI of the GHZ state, $ {\mathrm{W}}\overline{{\mathrm{W}}} $, and SGT state with respect to the decoherence parameter p: (a) The results under the bit-flip channel; (b) the results under the phase damping channel; (c) the results under the amplitude damping channel; (d) the results under the depolarizing channel.
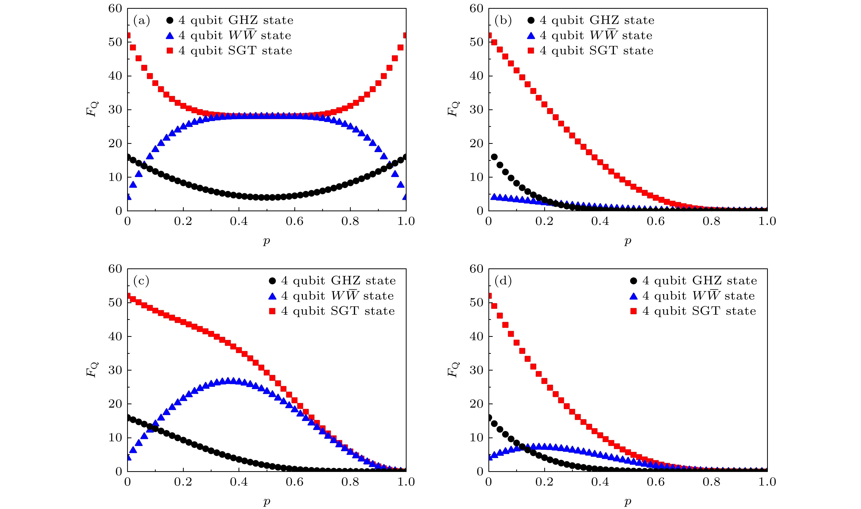
图 3 在单轴旋转模型下($ \gamma=2 $), 4量子比特GHZ态、$ {\mathrm{W}}\overline{{\mathrm{W}}} $态和SGT态在比特翻转、相位阻尼、振幅阻尼和去极化通道下的量子Fisher信息. 黑色圆点、蓝色三角形、红色方块依次表示GHZ态、$ {\mathrm{W}}\overline{{\mathrm{W}}} $态和SGT态的量子Fisher信息随退相干参数p的变化结果 (a)量子态在比特翻转通道下的结果; (b)量子态在相位阻尼通道中的结果; (c)振幅阻尼通道中的结果; (d)去极化通道下的结果
Fig. 3. The QFI of the 4-qubit GHZ state, $ {\mathrm{W}}\overline{{\mathrm{W}}} $ state and SGT state under the bit-flip, phase damping, amplitude damping, and depolarizing channels in the one-axis twisting model ($ \gamma=2 $). Black dots, blue triangles and red squares represent the QFI of the GHZ state, $ {\mathrm{W}}\overline{{\mathrm{W}}} $, and SGT state with respect to the decoherence parameter p: (a) The results under the bit-flip channel; (b) the results under the phase damping channel; (c) the results under the amplitude damping channel; (d) the results under the depolarizing channel.
图 4 在单轴旋转模型下($ \gamma=5 $), 4量子比特GHZ态、$ {\mathrm{W}}\overline{{\mathrm{W}}} $态和SGT态在比特翻转、相位阻尼、振幅阻尼和去极化通道下的量子Fisher信息. 黑色圆点、蓝色三角形、红色方块依次表示GHZ态、$ {\mathrm{W}}\overline{{\mathrm{W}}} $态和SGT态的量子Fisher信息随退相干参数p的变化结果 (a)量子态在比特翻转通道下的结果; (b)量子态在相位阻尼通道中的结果; (c)在振幅阻尼通道中的结果; (d)在去极化通道下的结果
Fig. 4. The QFI of the 4-qubit GHZ state, $ {\mathrm{W}}\overline{{\mathrm{W}}} $ state and SGT state under the bit-flip, phase damping, amplitude damping, and depolarizing channels in the one-axis twisting model ($ \gamma=5 $). Black dots, blue triangles and red squares represent the QFI of the GHZ state, $ {\mathrm{W}}\overline{{\mathrm{W}}} $ and SGT state with respect to the decoherence parameter p: (a) The results under the bit-flip channel; (b) the results under the phase damping channel; (c) the results under the amplitude damping channel; (d) the results under the depolarizing channel.
-
[1] Gühne O, Tóth G 2009 Phys. Rep. 474 1
Google Scholar
[2] Chefles A 2010 Contemp. Phys. 41 401
[3] Bae J, Kwek L C 2015 J. Phys. A 48 083001
Google Scholar
[4] Friis N, Vitagliano G, Malik M, Huber M 2019 Nat. Rev. Phys. 1 72
[5] Chen D X, Zhang Y, Zhao J L, Wu Q C, Fang Y L, Yang C P, Nori F 2022 Phys. Rev. A 106 022438
Google Scholar
[6] Zhu C H, Shi T T, Ding L Y, Zheng Z Y, Zhang X, Zhang W 2025 arXiv: 2502.20717v1 [quant-ph]
[7] Cramer M, Plenio M B, Flammia S T, Somma R, Gross D, Bartlett S D, Landon-Cardinal O, Poulin D, Liu Y K 2010 Nat. Commun. 1 149
Google Scholar
[8] Wang T T, Song M H, Lyu L K, Witczak-Krempa W, Meng Z Y 2025 Nat. Commun. 16 96
Google Scholar
[9] He L, Zhao Q, Li Z D, Yin X F, Yuan X, Hung J C, Chen L K, Li L, Liu N L, Peng C Z, Liang Y C, Ma X F, Chen Y A, Pan J W 2018 Phys. Rev. X 8 021072
[10] Zwerger M, Dür W, Bancal J D, Sekatski P 2019 Phys. Rev. Lett. 122 060502
Google Scholar
[11] Pezzè L, Smerzi A 2009 Phys. Rev. Lett. 102 100401
Google Scholar
[12] Hyllus P, Laskowski W, Krischek R, Schwemmer C, Wieczorek W, Weinfurter H, Pezzè L, Smerzi A 2012 Phys. Rev. A 85 022321
Google Scholar
[13] Huang Y L, Che L Y, Wei C, Xu F, Nie X F, Li J, Lu D W, Xin T 2025 npj Quantum Inf. 11 29
Google Scholar
[14] Ayachi F E, Mansour H A, Baz M E 2025 Commun. Theor. Phys. 77 065104
Google Scholar
[15] Feng T F, Vedral V 2022 Phys. Rev. D 106 066013
Google Scholar
[16] Li L J, Fan X G, Song X K, Ye L, Wang D 2024 Phys. Rev. A 110 012418
Google Scholar
[17] 丘尚锋, 徐桥, 周晓祺 2025 74 110301
Google Scholar
Qiu S F, Xu Q, Zhou X Q 2025 Acta Phys. Sin. 74 110301
Google Scholar
[18] Li H, Gao T, Yan F L 2024 Phys. Rev. A 109 012213
Google Scholar
[19] Dong D D, Li L J, Song X K, Ye L, Wang D 2024 Phys. Rev. A 110 032420
Google Scholar
[20] Strobel H, Muessel W, Linnemann D, Zibold T, Hume D B, Pezzè L, Smerzi A, Oberthaler M K 2014 Science 345 424
[21] Pezzè L, Li Y, Li W D, Smerzi A 2016 Proc. Natl. Acad. Sci. 113 11459
Google Scholar
[22] Pezzè L, Smerzi A, Oberthaler M K, Schmied R, Treutlein P 2018 Rev. Mod. Phys. 90 035005
Google Scholar
[23] 任志红, 李岩, 李艳娜, 李卫东 2019 68 040601
Google Scholar
Ren Z H, Li Y, Li Y N, Li W D 2019 Acta. Phys. Sin. 68 040601
Google Scholar
[24] Qin Z Z, Gessner M, Ren Z H, Deng X W, Han D M, Li W D, Su X L, Smerzi A, Peng K C 2019 npj Quantum Inf. 5 3
Google Scholar
[25] Ren Z H, Li W D, Smerzi A, Gessner M 2021 Phys. Rev. Lett. 126 080502
Google Scholar
[26] Xu K, Zhang Y R, Sun Z H, Li H, Song P T, Xiang Z C, Huang K X, Li H, Shi Y H, Chen C T, Song X H, Zheng D N, Nori F, Wang H, Fan H 2022 Phys. Rev. Lett. 128 150501
Google Scholar
[27] Li Y, Ren Z H 2023 Phys. Rev. A 107 012403
Google Scholar
[28] Li Y, Ren Z H 2024 Chaos, Solitons and Fractals 186 115299
Google Scholar
[29] 郑盟锟, 尤力 2018 67 160303
Google Scholar
Tey M K, You L 2018 Acta Phys. Sin. 67 160303
Google Scholar
[30] Fisher R A 1922 Philos. Trans. R. Soc. Lond. Ser. A 222 309
Google Scholar
[31] Cramér H 1946 Mathematical Methods of Statistics (Princeton: Princeton University
[32] Li Y, Pezzè L, Gessner M, Ren Z H, Li W D, Smerzi A 2018 Entropy 20 628
Google Scholar
[33] Nolan S, Smerzi A, Pezze L 2021 npj Quantum Inf. 7 169
Google Scholar
[34] Han C Y, Ma Z, Qiu Y X, Fang R H, Wu J T, Zhan C, Li M J, Huang J H, Lu B, Lee C H 2024 Phys. Rev. Applied 22 044058
Google Scholar
[35] Li Y, Ren Z H 2022 Physica A 596 127137
Google Scholar
[36] Imai S, Smerzi A, Pezze L 2025 Phys. Rev. A 111 L020402
Google Scholar
[37] Braunstein S L, Caves C M 1994 Phys. Rev. Lett. 72 3439
Google Scholar
[38] Shen Y, Zhou J G, Huang J H, Lee C H 2024 Phys. Rev. A 110 042619
Google Scholar
[39] Fortes R, Rigolin G 2015 Phys. Rev. A 92 012338
Google Scholar
[40] Kraus K 1983 States, Effects and Operations: Fundamental Notions of Quantum Theory (Berlin: Springer-Verlag) pp1–12
[41] Nielsen M A, Chuang I L 2000 Quantum Computation and Quantum Information (Cambridge: Cambridge University Press) pp473–497
计量
- 文章访问数: 1513
- PDF下载量: 28
- 被引次数: 0








下载: