- 
				石墨烯等离激元在红外-太赫兹波段具有高度局域化和动态可调性, 但其精准调控机制仍需深入探索. 本文基于国产第一性原理计算软件ABACUS, 采用线性响应含时密度泛函理论方法, 结合截断库仑势消除层间耦合效应, 系统研究了石墨烯狄拉克等离激元的三类调控机制. 研究结果表明, 无论采用何种调控手段, 石墨烯狄拉克等离激元的色散关系均呈现出典型的双区域特征: 在长波区域, 其色散关系遵循$\sqrt{q}$的形式; 在短波区域, 则逐渐过渡为准线性行为. 此外, 随着载流子浓度的增加, 等离激元的激发能量呈现系统性增强, 并遵循$\omega \propto n^{1/4}$的标度律; 施加双轴应变时, 等离激元激发能量随晶格常数的增大而线性降低; 引入六方氮化硼(hBN)作为基底时, 对原始结果影响较小, 仅导致整体能量发生轻微红移. 进一步地, 深入揭示了上述三种调控机制的物理起源. 这些结果为基于石墨烯/hBN异质结构的高性能动态光电器件设计提供了坚实的理论支撑.
- 
												关键词:
												
 - 第一性原理计算 /
 - 石墨烯 /
 - 线性响应含时密度泛函理论 /
 - 狄拉克等离激元
 
Graphene Dirac plasmons, which are collective oscillations of charge carriers behaving as massless Dirac fermions, have emerged as a transformative platform for nanophotonics due to their exceptional capability for deep subwavelength light confinement in the infrared-to-terahertz spectral region and their unique dynamic tunability. Although external controls such as electrostatic doping, mechanical strain, and substrate engineering are empirically known to be able to modulate plasmonic responses, a comprehensive and quantitative theoretical framework from first principles is essential to reveal the distinct efficiency and fundamental mechanisms of each tuning strategy. To address this issue, we conduct a systematic first-principles study of three primary modulation pathways—carrier density, biaxial strain, and substrate integration—by using linear-response time-dependent density functional theory in the random-phase approximation (LR-TDDFT-RPA) as implemented in the computational code ABACUS. A truncated Coulomb potential is adopted in order to accurately model the isolated two-dimensional system, while structural and electronic properties are computed using the PBE functional with SG15 norm-conserving pseudopotentials and van der Waals corrections for heterostructures. Our research results indicate that modulating carrier concentration can cause the plasmon dispersion to follow the characteristic $\omega \propto n^{1/4}$ scaling law, thereby tuning within a wide range from 0.45 eV to 1.38 eV at the Landau damping threshold—a 207% change for the carrier density varying from 0.005 to 0.1 electrons/unit cell, although efficiency decreases at higher concentrations due to the sublinear nature of the scaling law. Biaxial strain linearly changes the plasmon energy by modifying the Fermi velocity ($v_{\mathrm{F}}$) near the Dirac point, yielding a 30.4% tuning range (0.78–1.12 eV) under $\pm 10{\text{%}}$ strain. Introducing an hBN substrate induces a small band gap (~43 meV) and causes a general redshift in plasmon energy due to band renormalization, while remarkably preserving the linear strain-tuning capability in a $30.1{\text{%}}$ energy range (0.72–1.03 eV) in the heterostructure, demonstrating robust compatibility between strain engineering and substrate integration. These results quantitatively elucidate the different physical mechanisms—Fermi level shifting, Fermi velocity modification, and substrate-induced symmetry breaking and hybridization—underpinning each strategy, thereby providing a solid theoretical foundation for designing dynamically tunable optoelectronic devices based on graphene and its van der Waals heterostructures.- 
													Keywords:
													
 - first-principles calculations /
 - graphene /
 - linear-response time-dependent density functional theory /
 - Dirac plasmons
 
[1] Novoselov K S, Geim A K, Morozov S V, et al. 2004 Science 306 666
Google Scholar
						[2] Geim A K, Novoselov K S 2007 Nat. Mater. 6 183
Google Scholar
						[3] Allen M J, Tung V C, Kaner R B 2010 Chem. Rev. 110 132
Google Scholar
						[4] 杨晓霞, 孔祥天, 戴庆 2015 64 106801
Google Scholar
						Yang X X, Kong X T, Dai Q 2015 Acta Phys. Sin. 64 106801
Google Scholar
						[5] 杨肖杰, 许辉, 徐海烨, 李铭, 于鸿飞, 成昱轩, 侯海良, 陈智全 2024 67 157802
Google Scholar
						Yang X J, Xu H, Xu H Y, Li M, Yu H F, Cheng Y X, Hou H L, Chen Z Q 2024 Acta Phys. Sin. 67 157802
Google Scholar
						[6] Jablan M, Buljan H, Soljačić M 2009 Phys. Rev. B 80 245435
Google Scholar
						[7] Alonso-González P, Nikitin A Y, Golmar F, et al. 2014 Science 344 1369
Google Scholar
						[8] Fei Z, Rodin A, Andreev G O, Bao W Z, et al. 2012 Nature 487 82
Google Scholar
						[9] Chen J, Badioli M, Alonso-González P, et al. 2012 Nature 487 77
Google Scholar
						[10] Woessner A, Lundeberg M B, Gao Y, et al. 2015 Nat. Mater. 14 421
Google Scholar
						[11] Basov D N, Fogler M M, García de Abajo F J 2016 Science 354 aag1992
Google Scholar
						[12] Rodrigo D, Limaj O, Janner D, Etezadi D, García de Abajo F J, Pruneri V, Altug H 2015 Science 349 165
Google Scholar
						[13] Liu M, Yin X B, Ulin-Avila E, Geng B S, Zentgraf T, Ju L, Wang F, Zhang X 2011 Nature 474 64
Google Scholar
						[14] Grigorenko A N, Polini M, Novoselov K S 2012 Nat. Photonics 6 749
Google Scholar
						[15] Lundeberg M B, Gao Y, Asgari R, et al. 2017 Science 357 187
Google Scholar
						[16] Zhang H Y, Fan X D, Wang D L, Zhang D B, Li X G, Zeng C G 2022 Phys. Rev. Lett. 129 237402
Google Scholar
						[17] Zhao W Y, Wang S X, Chen S D, Zhang Z C, Kenji W, Takashi T, Alex Z, Wang F 2023 Nature 614 688
Google Scholar
						[18] Li P F, Ren X G, He L X 2017 Phys. Rev. B 96 165417
Google Scholar
						[19] Ju L, Geng B S, Jason H, et al. 2011 Nat. Nanotechnol. 6 630
Google Scholar
						[20] Yan H G, Low T, Zhu W J, Wu Y Q, Freitag M, Li X, Guinea F, Avouris P, Xia F N 2013 Nat. Photonics 7 394
Google Scholar
						[21] Ni G X, Wang L, Goldflam M, et al. 2016 Nat. Photonics 10 244
Google Scholar
						[22] Chen M H, Guo G C, He L X 2010 J. Phys. Condens. Matter 22 445501
Google Scholar
						[23] Li P F, Liu X H, Chen M H, Lin P Z, Ren X G, Lin L, Yang C, He L X 2016 Comp. Mater. Sci. 112 503
Google Scholar
						[24] Schlipf M, Gygi F 2015 Comput. Phys. Commun. 196 36
Google Scholar
						[25] Perdew J P, Burke K, Ernzerhof M 1996 Phys. Rev. Lett. 77 3865
Google Scholar
						[26] Wu Y Y, Li G L, Camden J P 2018 Chem. Rev. 118 2994
Google Scholar
						[27] Onida G, Reining L, Rubio A 2002 Rev. Mod. Phys. 74 601
Google Scholar
						[28] Silkin V M, Chulkov E V, Echenique P M 2004 Phys. Rev. Lett. 93 176801
Google Scholar
						[29] Yuan Z, Gao S W 2009 Comput. Phys. Commun. 180 466
Google Scholar
						[30] Mowbray D J 2014 Phys. Status Solidi B 251 2509
Google Scholar
						[31] Li P F, Shi R, Lin P Z, Ren X G 2023 Phys. Rev. B 107 035433
Google Scholar
						[32] Li P F, Hui N J 2025 Vacuum 240 114424
Google Scholar
						[33] Adler S L 1962 Phys. Rev. 126 413
Google Scholar
						[34] Wiser N 1963 Phys. Rev. 129 62
Google Scholar
						[35] Petersilka M, Gossmann U J, Gross E K U 1996 Phys. Rev. Lett. 76 1212
Google Scholar
						[36] Rozzi C A, Varsano D, Marini A, Gross E K U, Rubio A 2006 Phys. Rev. B 73 205119
Google Scholar
						[37] Antonio P, Gennaro C 2014 Nanoscale 6 10927
Google Scholar
						[38] Pisarra M, Sindona A, Riccardi P, Silkin V M, Pitarke J M 2014 New J. Phys. 16 083003
Google Scholar
						[39] Pines D 1956 Can. J. Phys. 34 1379
Google Scholar
						[40] Hwang E H, Sarma S D 2007 Phys. Rev. B 75 205418
Google Scholar
						[41] Liu Y, Willis R F, Emtsev K V, Seyller T 2008 Phys. Rev. B 78 201403
Google Scholar
						[42] Wunsch B, Stauber T, Sols F, Guinea F 2006 New J. Phys. 8 318
Google Scholar
						[43] Marchiani D, Tonelli A, Mariani C, et al. 2023 Nano Lett. 23 170
Google Scholar
						[44] Lee C G, Wei X D, Kysar J W, Hone J 2008 Science 321 385
Google Scholar
						[45] Guinea F, Katsnelson M I, Geim A K 2010 Nat. Phys. 6 30
Google Scholar
						[46] Bao W Z, Miao F, Chen Z, Zhang H, Jang W Y, Dames C, Lau C N 2009 Nat. Nanotechnol. 4 562
Google Scholar
						[47] Pereira V M, Castro Neto A H 2009 Phys. Rev. Lett. 103 046801
Google Scholar
						[48] Yasumasa H, Keita K 2012 Phys. Rev. B 86 165430
Google Scholar
						[49] Wang L J, Baumgartner A, Makk P, Zihlmann S, Varghese B S, Indolese D I, Watanabe K, Taniguchi T, Schönenberger C 2021 Commun. Phys. 4 147
Google Scholar
						[50] Drogowska-Horna K A, Mirza I, Rodriguez A, et al. 2020 Nano Res. 13 2332
Google Scholar
						[51] Lyu B S, Chen J J, Wang S, et al. 2024 Nature 628 758
Google Scholar
						[52] Dean C R, Young A F, Meric I, et al. 2010 Nat. Nanotechnol. 5 722
Google Scholar
						[53] Cassabois G, Valvin P, Gil B 2016 Nat. Photonics 10 262
Google Scholar
						[54] Watanabe K, Taniguchi T, Kanda H 2004 Nat. Mater. 3 404
Google Scholar
						[55] 罗曼, 周杨, 成田恬, 孟雨欣, 王奕锦, 鲜佳赤, 秦嘉怡, 余晨辉 2024 光子学报 53 0753307
Google Scholar
						Luo M, Zhou Y, Cheng T T, Meng Y X, Wang Y J, Xian J C, Qin J Y, Yu C H 2024 Acta Photon. Sin. 53 0753307
Google Scholar
						[56] Geim A K, Grigorieva I V 2013 Nature 499 419
Google Scholar
						[57] Grimme S 2006 J. Comput. Chem. 27 1787
Google Scholar
						 - 
				
    
    
图 1 石墨烯的电子结构及等离激元分布 (a)石墨烯的倒空间结构及高对称点位置与高对称路径方向, 红线和蓝线分别表示从K点出发的$ \varGamma—K $方向和$ \varGamma—M $方向; (b)石墨烯能带图, 其中黑色曲线表示占据态, 红色曲线表示非占据态; (c)石墨烯态密度图, 黑色线表示总态密度, 红色线为π能带态密度分布, 蓝色线为σ能带态密度分布; (d)石墨烯在0.03 electrons/unit cell掺杂浓度时沿$ \varGamma—M $方向不同q值对应的电子能量损失谱, 其中q的取值范围为0.029—0.294 Å–1
Fig. 1. Graphene’s electronic structure and plasmon distributions: (a) The reciprocal space structure of graphene along with the positions of high-symmetry points and the directions of high-symmetry paths, where the red and blue lines represent the $ \varGamma - K $ and $ \varGamma - M $ directions from the K point, respectively; (b) graphene’s band structure, where the black curve denotes the occupied states and the red curve represents the unoccupied states; (c) graphene’s density of states (DOS), with the black line indicating the total DOS, the red line showing the projected DOS of the π-band, and the blue line displaying the projected DOS of the σ-band; (d) electron energy loss spectroscopy (EELS) of graphene along the $ \varGamma - M $ direction for different q values at 0.03 electrons/unit cell concentration, where q ranges from 0.029 to 0.294 Å–1.
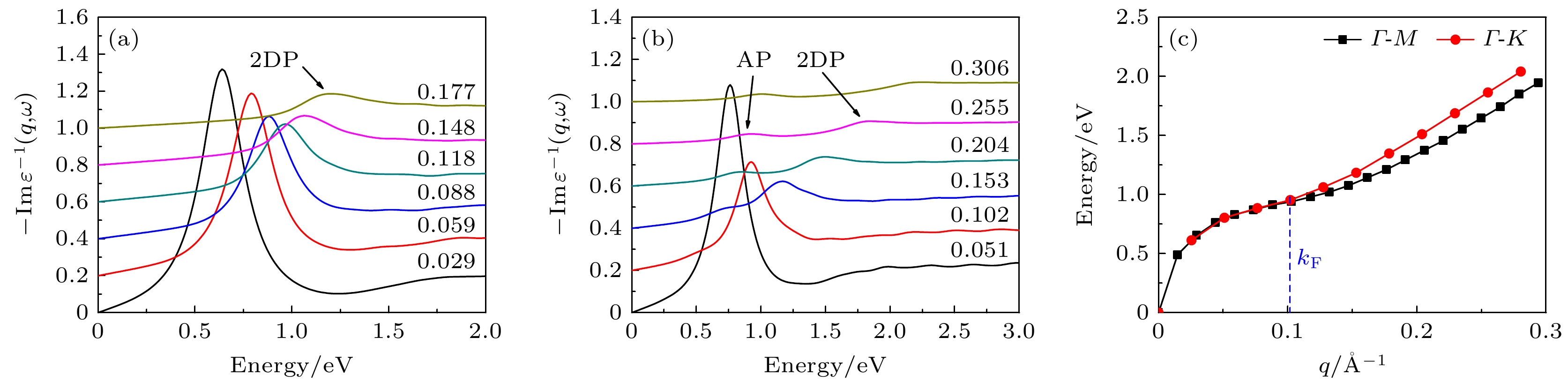
图 2 石墨烯狄拉克等离激元分布及色散图 (a) 沿$ \varGamma—M $方向的分布; (b) 沿$ \varGamma—K $方向的分布; (c) 两种不同方向二维狄拉克等离激元色散关系的对比图, 其中蓝色竖虚线代表费米波矢$ {\boldsymbol k}_{\mathrm{F}} $的位置
Fig. 2. Distribution and dispersion behaviors of graphene Dirac plasmons: (a) Distributions along the $ \varGamma - M $ direction; (b) distributions along the $ \varGamma - K $ direction; (c) a comparative of the dispersion relationships for two-dimensional Dirac plasmons along $ \varGamma - M $ and $ \varGamma - K $ directions, where the blue vertical dashed line represents the position of the Fermi wave vector $ {\boldsymbol k}_{\mathrm{F}} $.
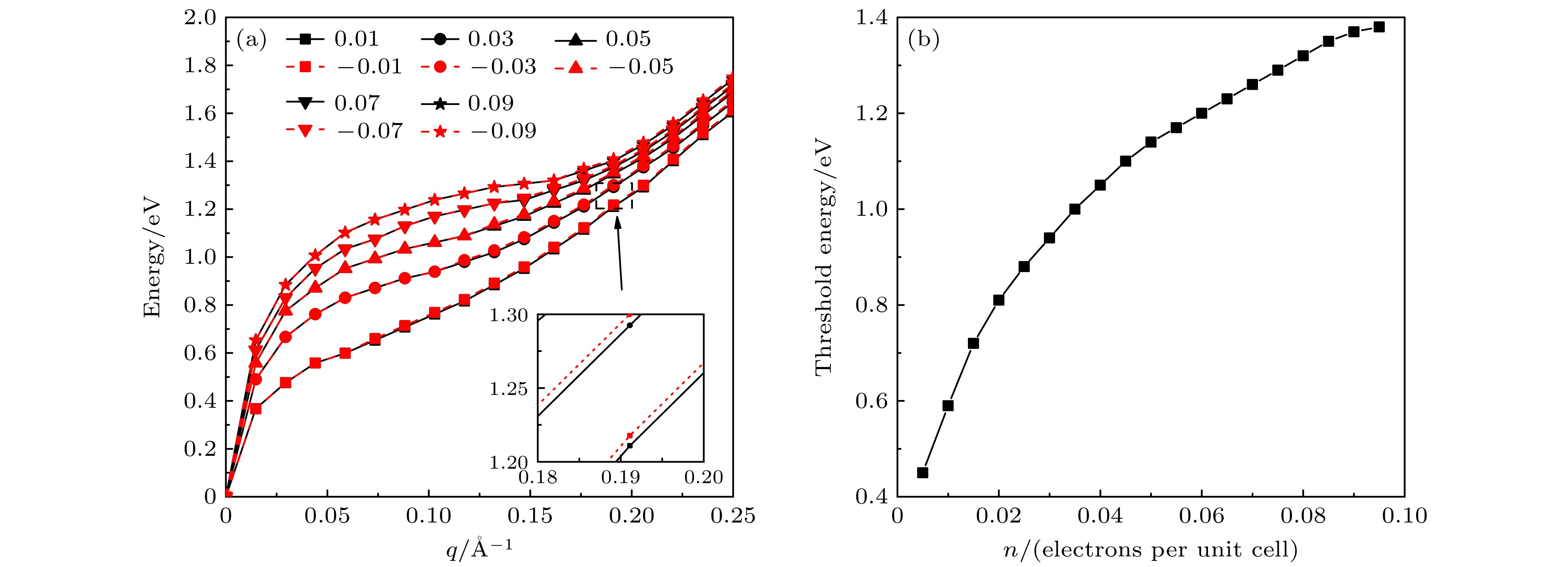
图 3 载流子浓度对石墨烯狄拉克等离激元的调控 (a) 不同载流子浓度下沿$ \varGamma—M $方向的等离激元色散关系, 正值表示电子掺杂, 负值表示空穴掺杂, 插图为同浓度下电子/空穴掺杂的色散行为对比; (b) 狄拉克等离激元阈值能量随载流子浓度的演化规律
Fig. 3. Modulation of graphene Dirac plasmons by carrier concentrations: (a) Plasmon dispersion along the $ \varGamma - M $ direction under varied carrier concentrations. Positive/negative values indicate electron/hole doping. Inset: comparative dispersion behavior of electron- and hole-doped systems at identical carrier concentration. (b) Evolution of Dirac plasmon threshold energy as a function of carrier concentration.
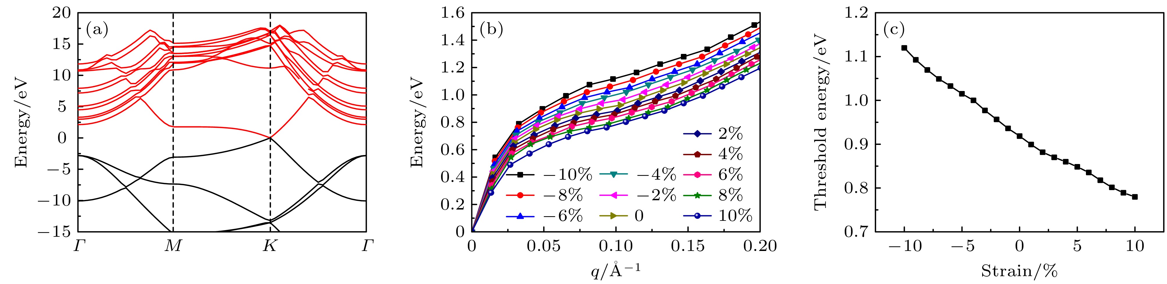
图 4 双轴应变对石墨烯狄拉克等离激元的调控 (a) 10%压缩应变下石墨烯的能带结构, 其中红线表示非占据态, 黑线表示占据态; (b) 掺杂浓度为0.03 electrons/unit cell时, 不同程度双轴应变下石墨烯狄拉克等离激元沿$ \varGamma—M $方向的色散关系; (c) 狄拉克等离激元阈值能量随双轴应变大小的演化规律
Fig. 4. Tuning graphene Dirac plasmons via biaxial strain: (a) Band structure of graphene under 10% compressive strain, the red lines represent the unoccupied states and the black lines represent the occupied states; (b) dispersion relation of Dirac plasmons under varying biaxial strains along the $ \varGamma - M $ direction at 0.03 electrons/unit cell; (c) evolution of Dirac plasmon threshold energy with biaxial strain.
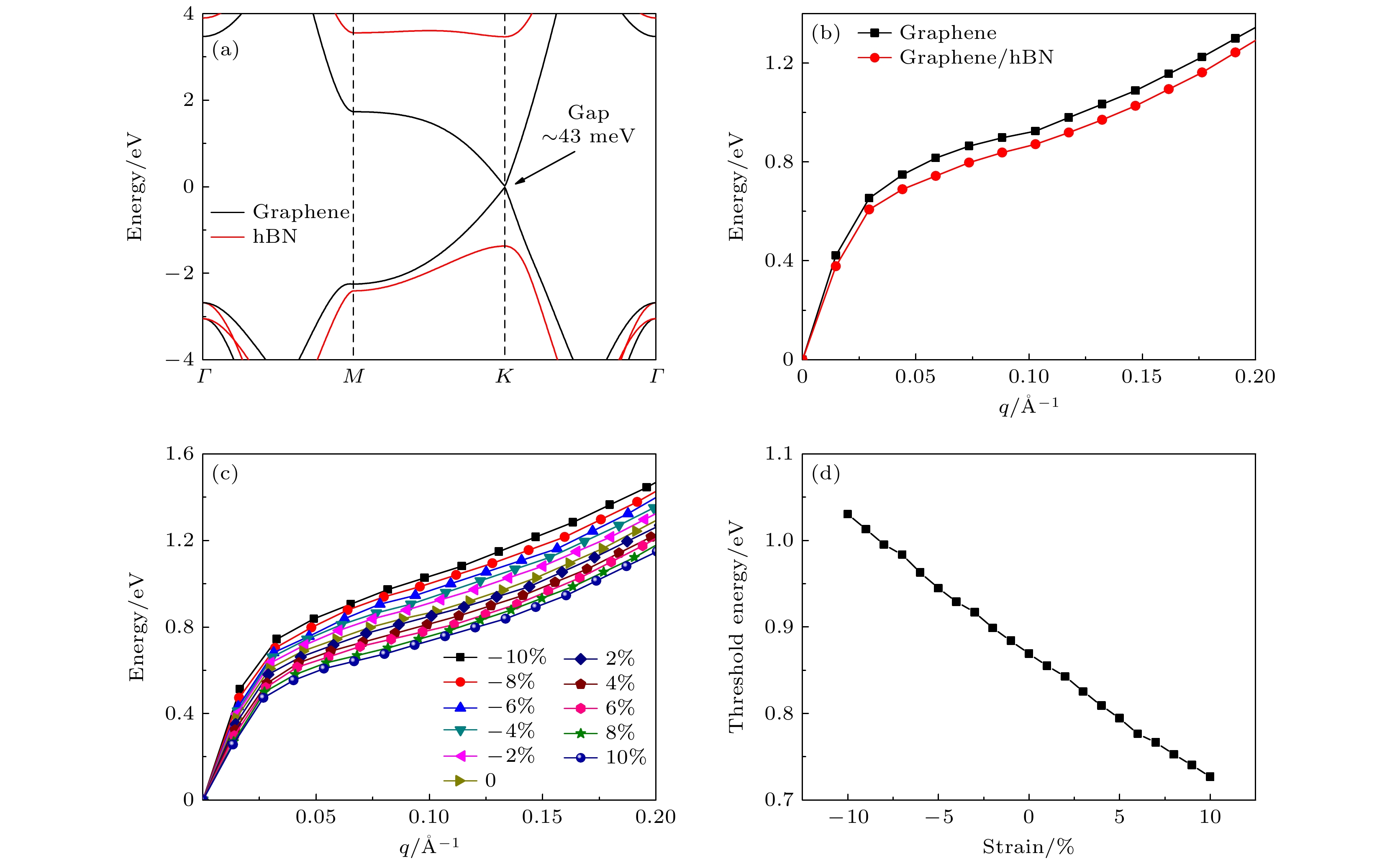
图 5 基底引入对石墨烯狄拉克等离激元的调控 (a) 石墨烯/六角氮化硼异质结在费米能级附近的能带结构, 其中黑线表示石墨烯的贡献, 红线表示六方氮化硼的贡献; (b) 掺杂浓度为0.03 electrons/unit cell时, 纯石墨烯与石墨烯/六角氮化硼沿$ \varGamma—M $方向狄拉克等离激元色散关系对比图; (c) 掺杂浓度为0.03 electrons/unit cell时, 不同程度双轴应变下石墨烯/六角氮化硼狄拉克等离激元沿$ \varGamma—M $方向的色散关系; (d) 石墨烯/六角氮化硼狄拉克等离激元阈值能量随双轴应变大小的演化规律
Fig. 5. Tuning graphene Dirac plasmons via substrate integration: (a) Band structure of graphene/hexagonal boron nitride (hBN) heterostructure near the Fermi level, where the black line indicates the contribution from graphene and the red line represents the contribution from hBN; (b) Dirac plasmon dispersions along $ \varGamma—M $ direction at 0.03 electrons/unit cell; (c) strain-dependent Dirac plasmon dispersions (graphene/hBN) under biaxial strains (–10% to 10%); (d) evolution of plasmon threshold energy with biaxial strain in graphene/hBN heterostructure.
图 7 双轴应变与基底引入调控石墨烯等离激元机制 (a) 狄拉克锥斜率对等离激元激发的影响示意图; (b) 施加不同应变(–10%压缩应变到10%拉伸应变)对石墨烯K点附近能带结构的影响; (c) 基底效应诱变能带形变对等离激元激发的影响示意图; (d) 纯净石墨烯与石墨烯/六角氮化硼异质结K点附近能带结构对比
Fig. 7. Mechanisms for tuning graphene plasmons via biaxial strain and substrate effects: (a) The influence of Dirac cone slope on plasmon excitations; (b) strain-dependent band structure near K-point under varying biaxial strains (–10% compressive to 10% tensile); (c) substrate-induced band deformation modulating plasmon excitation; (d) band structure comparison near K-point between pristine graphene and graphene/hBN heterostructure.
 - 
				
[1] Novoselov K S, Geim A K, Morozov S V, et al. 2004 Science 306 666
Google Scholar
						[2] Geim A K, Novoselov K S 2007 Nat. Mater. 6 183
Google Scholar
						[3] Allen M J, Tung V C, Kaner R B 2010 Chem. Rev. 110 132
Google Scholar
						[4] 杨晓霞, 孔祥天, 戴庆 2015 64 106801
Google Scholar
						Yang X X, Kong X T, Dai Q 2015 Acta Phys. Sin. 64 106801
Google Scholar
						[5] 杨肖杰, 许辉, 徐海烨, 李铭, 于鸿飞, 成昱轩, 侯海良, 陈智全 2024 67 157802
Google Scholar
						Yang X J, Xu H, Xu H Y, Li M, Yu H F, Cheng Y X, Hou H L, Chen Z Q 2024 Acta Phys. Sin. 67 157802
Google Scholar
						[6] Jablan M, Buljan H, Soljačić M 2009 Phys. Rev. B 80 245435
Google Scholar
						[7] Alonso-González P, Nikitin A Y, Golmar F, et al. 2014 Science 344 1369
Google Scholar
						[8] Fei Z, Rodin A, Andreev G O, Bao W Z, et al. 2012 Nature 487 82
Google Scholar
						[9] Chen J, Badioli M, Alonso-González P, et al. 2012 Nature 487 77
Google Scholar
						[10] Woessner A, Lundeberg M B, Gao Y, et al. 2015 Nat. Mater. 14 421
Google Scholar
						[11] Basov D N, Fogler M M, García de Abajo F J 2016 Science 354 aag1992
Google Scholar
						[12] Rodrigo D, Limaj O, Janner D, Etezadi D, García de Abajo F J, Pruneri V, Altug H 2015 Science 349 165
Google Scholar
						[13] Liu M, Yin X B, Ulin-Avila E, Geng B S, Zentgraf T, Ju L, Wang F, Zhang X 2011 Nature 474 64
Google Scholar
						[14] Grigorenko A N, Polini M, Novoselov K S 2012 Nat. Photonics 6 749
Google Scholar
						[15] Lundeberg M B, Gao Y, Asgari R, et al. 2017 Science 357 187
Google Scholar
						[16] Zhang H Y, Fan X D, Wang D L, Zhang D B, Li X G, Zeng C G 2022 Phys. Rev. Lett. 129 237402
Google Scholar
						[17] Zhao W Y, Wang S X, Chen S D, Zhang Z C, Kenji W, Takashi T, Alex Z, Wang F 2023 Nature 614 688
Google Scholar
						[18] Li P F, Ren X G, He L X 2017 Phys. Rev. B 96 165417
Google Scholar
						[19] Ju L, Geng B S, Jason H, et al. 2011 Nat. Nanotechnol. 6 630
Google Scholar
						[20] Yan H G, Low T, Zhu W J, Wu Y Q, Freitag M, Li X, Guinea F, Avouris P, Xia F N 2013 Nat. Photonics 7 394
Google Scholar
						[21] Ni G X, Wang L, Goldflam M, et al. 2016 Nat. Photonics 10 244
Google Scholar
						[22] Chen M H, Guo G C, He L X 2010 J. Phys. Condens. Matter 22 445501
Google Scholar
						[23] Li P F, Liu X H, Chen M H, Lin P Z, Ren X G, Lin L, Yang C, He L X 2016 Comp. Mater. Sci. 112 503
Google Scholar
						[24] Schlipf M, Gygi F 2015 Comput. Phys. Commun. 196 36
Google Scholar
						[25] Perdew J P, Burke K, Ernzerhof M 1996 Phys. Rev. Lett. 77 3865
Google Scholar
						[26] Wu Y Y, Li G L, Camden J P 2018 Chem. Rev. 118 2994
Google Scholar
						[27] Onida G, Reining L, Rubio A 2002 Rev. Mod. Phys. 74 601
Google Scholar
						[28] Silkin V M, Chulkov E V, Echenique P M 2004 Phys. Rev. Lett. 93 176801
Google Scholar
						[29] Yuan Z, Gao S W 2009 Comput. Phys. Commun. 180 466
Google Scholar
						[30] Mowbray D J 2014 Phys. Status Solidi B 251 2509
Google Scholar
						[31] Li P F, Shi R, Lin P Z, Ren X G 2023 Phys. Rev. B 107 035433
Google Scholar
						[32] Li P F, Hui N J 2025 Vacuum 240 114424
Google Scholar
						[33] Adler S L 1962 Phys. Rev. 126 413
Google Scholar
						[34] Wiser N 1963 Phys. Rev. 129 62
Google Scholar
						[35] Petersilka M, Gossmann U J, Gross E K U 1996 Phys. Rev. Lett. 76 1212
Google Scholar
						[36] Rozzi C A, Varsano D, Marini A, Gross E K U, Rubio A 2006 Phys. Rev. B 73 205119
Google Scholar
						[37] Antonio P, Gennaro C 2014 Nanoscale 6 10927
Google Scholar
						[38] Pisarra M, Sindona A, Riccardi P, Silkin V M, Pitarke J M 2014 New J. Phys. 16 083003
Google Scholar
						[39] Pines D 1956 Can. J. Phys. 34 1379
Google Scholar
						[40] Hwang E H, Sarma S D 2007 Phys. Rev. B 75 205418
Google Scholar
						[41] Liu Y, Willis R F, Emtsev K V, Seyller T 2008 Phys. Rev. B 78 201403
Google Scholar
						[42] Wunsch B, Stauber T, Sols F, Guinea F 2006 New J. Phys. 8 318
Google Scholar
						[43] Marchiani D, Tonelli A, Mariani C, et al. 2023 Nano Lett. 23 170
Google Scholar
						[44] Lee C G, Wei X D, Kysar J W, Hone J 2008 Science 321 385
Google Scholar
						[45] Guinea F, Katsnelson M I, Geim A K 2010 Nat. Phys. 6 30
Google Scholar
						[46] Bao W Z, Miao F, Chen Z, Zhang H, Jang W Y, Dames C, Lau C N 2009 Nat. Nanotechnol. 4 562
Google Scholar
						[47] Pereira V M, Castro Neto A H 2009 Phys. Rev. Lett. 103 046801
Google Scholar
						[48] Yasumasa H, Keita K 2012 Phys. Rev. B 86 165430
Google Scholar
						[49] Wang L J, Baumgartner A, Makk P, Zihlmann S, Varghese B S, Indolese D I, Watanabe K, Taniguchi T, Schönenberger C 2021 Commun. Phys. 4 147
Google Scholar
						[50] Drogowska-Horna K A, Mirza I, Rodriguez A, et al. 2020 Nano Res. 13 2332
Google Scholar
						[51] Lyu B S, Chen J J, Wang S, et al. 2024 Nature 628 758
Google Scholar
						[52] Dean C R, Young A F, Meric I, et al. 2010 Nat. Nanotechnol. 5 722
Google Scholar
						[53] Cassabois G, Valvin P, Gil B 2016 Nat. Photonics 10 262
Google Scholar
						[54] Watanabe K, Taniguchi T, Kanda H 2004 Nat. Mater. 3 404
Google Scholar
						[55] 罗曼, 周杨, 成田恬, 孟雨欣, 王奕锦, 鲜佳赤, 秦嘉怡, 余晨辉 2024 光子学报 53 0753307
Google Scholar
						Luo M, Zhou Y, Cheng T T, Meng Y X, Wang Y J, Xian J C, Qin J Y, Yu C H 2024 Acta Photon. Sin. 53 0753307
Google Scholar
						[56] Geim A K, Grigorieva I V 2013 Nature 499 419
Google Scholar
						[57] Grimme S 2006 J. Comput. Chem. 27 1787
Google Scholar
						 
计量
- 文章访问数: 431
 - PDF下载量: 11
 - 被引次数: 0
 


					
		        
	        
 
										





							
下载: