-
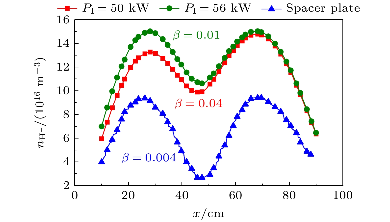
中性束注入是托卡马克装置中加热等离子体的主流辅助手段. 射频负氢离子源作为中性束注入系统的关键前端部件, 其性能直接影响中性束的质量. 目前, 提升负氢离子源性能仍是亟待深入研究的课题. 为此, 本文针对双驱动负氢离子源, 建立了一个三维流体模型, 用于模拟和优化表面产生机制下的负离子密度分布. 首先, 对比分析了体产生与表面产生两种机制下的等离子体参数, 结果表明表面产生机制获得的负离子密度比体产生机制高出1个数量级. 然而, 受过滤磁场影响, 引出区附近的负离子密度分布呈现不对称性. 为改善该不对称性, 在表面产生机制的基础上, 提出了两种优化方案: 1)在低密度侧增加射频源功率; 2)在扩散区引入隔板结构. 模拟结果显示, 两种方案均显著改善了负离子密度分布的对称性. 最后还提出了在扩散区背板添加磁屏蔽的方式来进一步优化负氢离子密度数值, 可以将扩散区下游的负离子密度提高69%.In neutral beam injection (NBI), which is a primary auxiliary heating method for tokamak plasmas, the negative hydrogen ion source (NHIS) functions as a critical front-end component governing neutral beam quality. The performance of NHIS remains a key challenge. This work presents a three-dimensional (3D) fluid model, which is developed for a double-driver NHIS to simulate and optimize surface-generated negative hydrogen ion density. A comparison of plasma parameters between the NHIS with Cs and without Cs shows that surface generation yields negative ion density one order of magnitude higher than volume generation. However, the presence of the magnetic filter field induces asymmetry in negative ion density within the extraction region. To improve this asymmetry, two approaches are proposed: 1) increasing the power of one of the drivers and 2) adding a spacer plate to the expansion region. After increasing the power of Driver I from 50 to 56 kW, the H– density asymmetry at the y = 25 cm intercept on the xy-plane (z = –22 cm) decreases from 0.04 to 0.01, and the value of H– density increases. Following the addition of a spacer plate, the H– density asymmetry further decreases to 0.004, but the value of H– density also shows a significant reduction. Finally, adding a magnetic shield to the back plate of the expansion region further optimizes H– density from 1.48×1017 m–3 to 2.50×1017 m–3, yielding a 69% increase downstream. This is because increased plasma transport into the expansion region enhances the dissociation rate of H2 molecules, thereby yielding more H atoms. The attenuation of the magnetic filter field in the driver region after adding a magnetic shield also enhances the symmetry of the H– density.
-
Keywords:
- neutral beam injection system /
- negative hydrogen ion source /
- 3-dimensional fluid modeling /
- negative ion
[1] 张伟, 张新军, 刘鲁南, 朱光辉, 杨桦, 张华朋, 郑艺峰, 何开洋, 黄娟 2023 72 215201
Google Scholar
Zhang W, Zhang X J, Liu L N, Zhu G H, Yang Y, Zhang H P, Zheng Y F, He K Y, Huang J 2023 Acta Phys. Sin. 72 215201
Google Scholar
[2] 孙延旭, 黄娟, 高伟, 常加峰, 张伟, 史唱, 李云鹤 2023 72 215203
Google Scholar
Sun Y X, Huang J, Gao Wei, Chang J F, Zhang W, Shi C, Li Y H 2023 Acta Phys. Sin. 72 215203
Google Scholar
[3] Kuriyama M, Akino N, Ebisawa N, Grisham L, Liquen H, Honda A, Itoh T, Kawai M, Kazawa M, Mogaki K, Ohara Y, Ohga T, Ohmori K, Okumura Y, Oohara H, Usui K, Watanabe K 1998 J. Nucl. Sci. Technol. 35 739
Google Scholar
[4] Wesson J 2004 Tokamaks (Oxford, UK: Oxford University Press
[5] Takeiri Y, Morita S, Ikeda K, Ida K, Kubo S, Yokoyama M, Tsumori K, Oka Y, Osakabe M, Nagaoka K, Shimozuma T, Yoshinuma M, Narihara K, Funaba H, Goto M, Inagaki S, Tanaka K, Kaneko O, Komori A, Motojima O and the LHD Experimental Group 2007 Nucl. Fusion 47 1078
Google Scholar
[6] Franzen P, Falter H D, Fantz U, Kraus W, Berger M, Christ-Koch S, Fröschle M, Gutser R, Heinemann B, Hilbert S, Leyer S, Martens C, McNeely P, Riedl R, Speth E, Wünderlich D 2007 Nucl. Fusion 47 264
Google Scholar
[7] Song S S, Yang W, Liu W, Yin S, Liu Y X, Gao F, Wang Y N, Zhao Y T 2021 Plasma Phys. 28 073512
Google Scholar
[8] Pamela J 1995 Plasma Phys. Controlled Fusion 37 A325
Google Scholar
[9] Bacal M, Nishiura M, Sasao M, Hamabe M, Wada M, Yamaoka H 2002 Rev. Sci. Instrum. 73 903
Google Scholar
[10] Bacal M 2006 Nucl. Fusion 46 S250
Google Scholar
[11] Berger M, Fantz U, Christ-Koch S and NNBI Team 2009 Plasma Sources Sci. Technol. 18 025004
Google Scholar
[12] Heinemann B, Fantz U, Kraus W, Schiesko L, Wimmer C, Wünderlich D, Bonomo F, Fröschle M, Nocentini R, Riedl R 2017 New J. Phys. 19 015001
Google Scholar
[13] Wimmer C, Schiesko L, Fantz U 2016 Rev. Sci. Instrum. 87 02B310
Google Scholar
[14] Wimmer C 2014 Ph. D. Dissertation (Augsburg: Universitaet Augsburg) (Germany
[15] He Z Q, Yang W, Gao F, Du C R, Wang Y N 2024 Phys. Plasmas 31 043501
Google Scholar
[16] Cristofaro S, Friedl R, Fantz U 2021 Plasma 4 94
Google Scholar
[17] Fubiani G, Boeuf J P 2013 Phys. Plasmas 20 113511
Google Scholar
[18] Taccogna F, Schneider R, Longo S, Capitelli M 2008 Phys. Plasmas 15 103502
Google Scholar
[19] 杨超, 刘大刚, 王辉辉, 杨宇鹏, 廖方燕, 彭凯, 刘腊群 2013 62 025206
Google Scholar
Yang C, Liu D G, Wang H H, Yang Y P, Liao F Y, Peng K, Liu L Q 2013 Acta Phys. Sin. 62 025206
Google Scholar
[20] Yang C, Liu D G, Wang H H, Yang Y P, Liao F Y, Liu L Q, Peng K, Xia M Z 2012 Acta Phys. Sin. 61 235201 [杨超, 刘大刚, 王辉辉, 杨宇鹏, 廖方燕, 刘腊群, 彭凯, 夏蒙重 2012 61 235201]
Google Scholar
Yang C, Liu D G, Wang H H, Yang Y P, Liao F Y, Liu L Q, Peng K, Xia M Z 2012 Acta Phys. Sin. 61 235201
Google Scholar
[21] Fukumasa O, Nishida R 2006 Nucl. Fusion 46 S275
Google Scholar
[22] Gutser R, Wünderlich D, Fantz U and the NNBI-Team 2009 Plasma Phys. Controlled Fusion 51 045005
Google Scholar
[23] Xing S Y, Gao F, Zhang Y R, Wang Y J, Lei G J, Wang Y N 2023 Plasma Sci. Technol. 25 105601
Google Scholar
[24] Boeuf J P, Hagelaar G J M, Sarrailh P, Fubiani G, Kohen N 2011 Plasma Sources Sci. Technol. 20 015002
Google Scholar
[25] Petrov G M, Giuliani J L 2001 J. Appl. Phys. 90 619
Google Scholar
[26] Janev R K, Reiter D, Samm U 2003 Collision Processes in Low-Temperature Hydrogen Plasma (Forschungszentrum, Zentralbibliothek
[27] Yoon J S, Song M Y, Han J M, Hwang S H, Chang W S, Lee B, Itikawa Y 2008 J. Phys. Chem. Ref. Data 37 913
Google Scholar
[28] Janev R K, Langer W D, Evans K, Post D E 1989 Elementary Processes in Hydrogen–Helium Plasmas: Cross Sections and Reaction Rate Coefficients (Berlin: Springer
[29] Hjartarson A T, Thorsteinsson E G, Gudmundsson J T 2010 Plasma Sources Sci. Technol. 19 065008
Google Scholar
[30] Celiberto R, Janev R K, Laricchiuta A, Capitelli M, Wadehra J M, Atems D E 2001 At. Data Nucl. Data Tables 77 161
Google Scholar
[31] Celiberto R, Capitelli M, Laricchiuta A 2002 Phys. Scr. T 96 32
[32] Bowers M T, Elleman D D, King J 1969 J. Chem. Phys. 50 4787
Google Scholar
[33] Matveyev A A, Silakov V P 1995 Plasma Sources Sci. Technol. 4 606
Google Scholar
[34] Lee C, Lieberman M A 1995 J. Vac. Sci. Technol. A 13 368
Google Scholar
[35] Booth J P, Sadeghi N 1991 J. Appl. Phys. 70 611
Google Scholar
[36] Gorse C, Capitelli M, Bacal M, Bretagne J, Lagana A 1987 Chem. Phys. 117 177
Google Scholar
[37] Averkin S N, Gatsonis N A, Olson L 2015 IEEE Trans. Plasma Sci. 43 1926
Google Scholar
[38] Hiskes J R, Karo A M 1989 Appl. Phys. Lett. 54 508
Google Scholar
[39] Eerden M J J, Van de Sanden M C M, Otorbaev D K, Schram D C 1995 Phys. Rev. A 51 3362
Google Scholar
[40] Seidl M, Cui H L, Isenberg J D, Kwon H J, Lee B S, Melnychuk S T 1996 J. Appl. Phys. 79 2896
Google Scholar
[41] Zhang Y R, Wang X, Yang W, Gao F and Wang Y N 2021 Plasma Sources Sci. Technol. 30 075028
Google Scholar
[42] Fubiani G, Boeuf J P 2015 Plasma Sources Sci. Technol. 24 055001
Google Scholar
[43] Franzen P, Wünderlich D, Fantz U and the NNBI Team 2014 Plasma Phys. Controlled Fusion 56 025007
Google Scholar
-
表 1 模型中考虑的反应
Table 1. Reactions included in this model.
反应 描述 文献 1. $ {\text{e}} + {{\text{H}}_2} \to {\text{e}} + {{\text{H}}_2} $ 弹性散射 [25] 2. $ \mathrm{e}+\mathrm{H}\to\mathrm{e+H} $ 弹性散射 [25] 3. $ {\text{e}} + {{\text{H}}_2} \to 2{\text{e}} + {\text{H}} + {{\text{H}}^ + } $ 解离电离 [26] 4. $ {\text{e}} + {{\text{H}}_2} \to 2{\text{e}} + {\text{H}}_2^ + $ 电离 [26] 5. $ {\text{e}} + {{\text{H}}_2} \to {\text{e}} + {\text{H}} + {\text{H}} $ 解离 [27] 6. $ {\text{e}} + {{\text{H}}_2} \to {\text{e}} + {\text{H}} + {\text{H}}(n = 2) $ 解离 [28] 7. $ {\text{e}} + {\text{H}} \to 2{\text{e}} + {{\text{H}}^ + } $ 电离 [26] 8. $ {\text{e}} + {\text{H}} \to {\text{e}} + {\text{H}}(n = 2, 3) $ 激发 [26] 9. $ {\text{e}} + {\text{H}}({\text{n}} = 2, 3) \to 2{\text{e}} + {{\text{H}}^ + } $ 电离 [26] 10.$ {\text{e}} + {\text{H}}_2^ + \to {\text{e}} + {{\text{H}}^ + } + {\text{H}} $ 解离激发 [26] 11.$ {\text{e}} + {\text{H}}_2^ + \to {\text{e}} + {{\text{H}}^ + } + {\text{H}}(n = 2) $ 解离激发 [28] 12.$ {\text{e}} + {\text{H}}_2^ + \to {\text{H}} + {\text{H}} $ 解离复合 [29] 13.$ {\text{e}} + {\text{H}}_3^ + \to {\text{e}} + 2{\text{H}} + {{\text{H}}^ + } $ 解离激发 [28] 14.$ {\text{e}} + {\text{H}}_3^ + \to 3{\text{H}} $ 复合 [29] 15.$ {\text{e}} + {\text{H}}_2^ + \to 2{\text{e}} + 2{{\text{H}}^ + } $ 解离 [26] 16.$ {\text{e}} + {{\text{H}}_2} \to {\text{e}} + {{\text{H}}_2}(v = 1 - 14) $ 激发 [30] 17.$ {\text{e}} + {{\text{H}}_2}(v = 1 - 14) \to {\text{e}} + 2{\text{H}} $ 解离 [31] 18.$ {\text{e}} + {{\text{H}}_2}(v = 1 - 14) \to {\text{H}} + {{\text{H}}^ - } $ 解离复合 [26] 19.$ {\text{H}}_2^ + + {{\text{H}}_2} \to {\text{H}}_3^ + + {\text{H}} $ 离子形成 [32] 20.$ {\text{e}} + {{\text{H}}^ - } \to 2{\text{e}} + {\text{H}} $ 电子溢出 [28] 21.$ {\text{H}}_2^ + + {{\text{H}}^ - } \to {\text{H}} + {{\text{H}}_2} $ 相互中和 [33] 22.$ {\text{H}}_2^ + + {{\text{H}}^ - } \to 3{\text{H}} $ 相互中和 [39] 23.$ {\text{H}}_3^ + + {{\text{H}}^ - } \to 2{{\text{H}}_2} $ 相互中和 [33] 24.$ {\text{H}}_3^ + + {{\text{H}}^ - } \to 4{\text{H}} $ 相互中和 [39] 25.$ {\text{H}}_{}^ + + {{\text{H}}^ - } \to {\text{H + H}} $ 相互中和 [39] 26.$ {\text{H}}_{}^ + + {{\text{H}}^ - } \to {\text{H + H}}(n = 2, {\text{ }}3) $ 相互中和 [33] 27.$ {\text{H}} + {{\text{H}}^ - } \to {\text{e}} + {{\text{H}}_2} $ 联合解离 [33] 28.$ {\text{wall \& PG: H}}_3^ + \to {{\text{H}}_2} + {\text{H}} $ 离子壁重组 [34] 29.$ {\text{wall \& PG: H}}_3^ + \to 3{\text{H}} $ 离子壁重组 [34] 30.$ {\text{wall \& PG: H}}_2^ + \to {{\text{H}}_2} $$ \to {\mathrm{H}}_{2} $ 离子壁重组 [34] 31.$ {\text{wall \& PG: H}}_2^ + \to 2{\text{H}} $ 离子壁重组 [34] 32.$ {\text{wall \& PG: }}{{\text{H}}^ + } \to {\text{H}} $ 离子壁重组 [34] 33.$ \text{wall \& PG: }\mathrm{H}+\mathrm{\mathrm{\mathrm{H}}}\to\mathrm{H}_2 $ H 壁重组 [35,36] 34.$ {\text{wall \& PG: H}}(n = 2, {\text{ }}3) \to {\text{H}} $ H(n) 壁重组 [35,37] 35.$ {\text{wall \& PG: }}{{\text{H}}_2}(v = 1-14) \to {{\text{H}}_2} $ 去激发 [35,38] 36.$ {\text{PG: H}} \to {{\text{H}}^ - } $ 表面产生 [40] 37.$ {\text{PG: }}{{\text{H}}^ + } \to {{\text{H}}^ - } $ 表面产生 [40] 38.$ {\text{PG: H}}_2^ + \to 2{{\text{H}}^ - } $ 表面产生 [40] 39.$ {\text{PG: H}}_3^ + \to {{\text{H}}_2} + {{\text{H}}^ - } $ 表面产生 [40] 40.$ {\text{PG: H}}_3^ + \to 3{{\text{H}}^ - } $ 表面产生 [40] -
[1] 张伟, 张新军, 刘鲁南, 朱光辉, 杨桦, 张华朋, 郑艺峰, 何开洋, 黄娟 2023 72 215201
Google Scholar
Zhang W, Zhang X J, Liu L N, Zhu G H, Yang Y, Zhang H P, Zheng Y F, He K Y, Huang J 2023 Acta Phys. Sin. 72 215201
Google Scholar
[2] 孙延旭, 黄娟, 高伟, 常加峰, 张伟, 史唱, 李云鹤 2023 72 215203
Google Scholar
Sun Y X, Huang J, Gao Wei, Chang J F, Zhang W, Shi C, Li Y H 2023 Acta Phys. Sin. 72 215203
Google Scholar
[3] Kuriyama M, Akino N, Ebisawa N, Grisham L, Liquen H, Honda A, Itoh T, Kawai M, Kazawa M, Mogaki K, Ohara Y, Ohga T, Ohmori K, Okumura Y, Oohara H, Usui K, Watanabe K 1998 J. Nucl. Sci. Technol. 35 739
Google Scholar
[4] Wesson J 2004 Tokamaks (Oxford, UK: Oxford University Press
[5] Takeiri Y, Morita S, Ikeda K, Ida K, Kubo S, Yokoyama M, Tsumori K, Oka Y, Osakabe M, Nagaoka K, Shimozuma T, Yoshinuma M, Narihara K, Funaba H, Goto M, Inagaki S, Tanaka K, Kaneko O, Komori A, Motojima O and the LHD Experimental Group 2007 Nucl. Fusion 47 1078
Google Scholar
[6] Franzen P, Falter H D, Fantz U, Kraus W, Berger M, Christ-Koch S, Fröschle M, Gutser R, Heinemann B, Hilbert S, Leyer S, Martens C, McNeely P, Riedl R, Speth E, Wünderlich D 2007 Nucl. Fusion 47 264
Google Scholar
[7] Song S S, Yang W, Liu W, Yin S, Liu Y X, Gao F, Wang Y N, Zhao Y T 2021 Plasma Phys. 28 073512
Google Scholar
[8] Pamela J 1995 Plasma Phys. Controlled Fusion 37 A325
Google Scholar
[9] Bacal M, Nishiura M, Sasao M, Hamabe M, Wada M, Yamaoka H 2002 Rev. Sci. Instrum. 73 903
Google Scholar
[10] Bacal M 2006 Nucl. Fusion 46 S250
Google Scholar
[11] Berger M, Fantz U, Christ-Koch S and NNBI Team 2009 Plasma Sources Sci. Technol. 18 025004
Google Scholar
[12] Heinemann B, Fantz U, Kraus W, Schiesko L, Wimmer C, Wünderlich D, Bonomo F, Fröschle M, Nocentini R, Riedl R 2017 New J. Phys. 19 015001
Google Scholar
[13] Wimmer C, Schiesko L, Fantz U 2016 Rev. Sci. Instrum. 87 02B310
Google Scholar
[14] Wimmer C 2014 Ph. D. Dissertation (Augsburg: Universitaet Augsburg) (Germany
[15] He Z Q, Yang W, Gao F, Du C R, Wang Y N 2024 Phys. Plasmas 31 043501
Google Scholar
[16] Cristofaro S, Friedl R, Fantz U 2021 Plasma 4 94
Google Scholar
[17] Fubiani G, Boeuf J P 2013 Phys. Plasmas 20 113511
Google Scholar
[18] Taccogna F, Schneider R, Longo S, Capitelli M 2008 Phys. Plasmas 15 103502
Google Scholar
[19] 杨超, 刘大刚, 王辉辉, 杨宇鹏, 廖方燕, 彭凯, 刘腊群 2013 62 025206
Google Scholar
Yang C, Liu D G, Wang H H, Yang Y P, Liao F Y, Peng K, Liu L Q 2013 Acta Phys. Sin. 62 025206
Google Scholar
[20] Yang C, Liu D G, Wang H H, Yang Y P, Liao F Y, Liu L Q, Peng K, Xia M Z 2012 Acta Phys. Sin. 61 235201 [杨超, 刘大刚, 王辉辉, 杨宇鹏, 廖方燕, 刘腊群, 彭凯, 夏蒙重 2012 61 235201]
Google Scholar
Yang C, Liu D G, Wang H H, Yang Y P, Liao F Y, Liu L Q, Peng K, Xia M Z 2012 Acta Phys. Sin. 61 235201
Google Scholar
[21] Fukumasa O, Nishida R 2006 Nucl. Fusion 46 S275
Google Scholar
[22] Gutser R, Wünderlich D, Fantz U and the NNBI-Team 2009 Plasma Phys. Controlled Fusion 51 045005
Google Scholar
[23] Xing S Y, Gao F, Zhang Y R, Wang Y J, Lei G J, Wang Y N 2023 Plasma Sci. Technol. 25 105601
Google Scholar
[24] Boeuf J P, Hagelaar G J M, Sarrailh P, Fubiani G, Kohen N 2011 Plasma Sources Sci. Technol. 20 015002
Google Scholar
[25] Petrov G M, Giuliani J L 2001 J. Appl. Phys. 90 619
Google Scholar
[26] Janev R K, Reiter D, Samm U 2003 Collision Processes in Low-Temperature Hydrogen Plasma (Forschungszentrum, Zentralbibliothek
[27] Yoon J S, Song M Y, Han J M, Hwang S H, Chang W S, Lee B, Itikawa Y 2008 J. Phys. Chem. Ref. Data 37 913
Google Scholar
[28] Janev R K, Langer W D, Evans K, Post D E 1989 Elementary Processes in Hydrogen–Helium Plasmas: Cross Sections and Reaction Rate Coefficients (Berlin: Springer
[29] Hjartarson A T, Thorsteinsson E G, Gudmundsson J T 2010 Plasma Sources Sci. Technol. 19 065008
Google Scholar
[30] Celiberto R, Janev R K, Laricchiuta A, Capitelli M, Wadehra J M, Atems D E 2001 At. Data Nucl. Data Tables 77 161
Google Scholar
[31] Celiberto R, Capitelli M, Laricchiuta A 2002 Phys. Scr. T 96 32
[32] Bowers M T, Elleman D D, King J 1969 J. Chem. Phys. 50 4787
Google Scholar
[33] Matveyev A A, Silakov V P 1995 Plasma Sources Sci. Technol. 4 606
Google Scholar
[34] Lee C, Lieberman M A 1995 J. Vac. Sci. Technol. A 13 368
Google Scholar
[35] Booth J P, Sadeghi N 1991 J. Appl. Phys. 70 611
Google Scholar
[36] Gorse C, Capitelli M, Bacal M, Bretagne J, Lagana A 1987 Chem. Phys. 117 177
Google Scholar
[37] Averkin S N, Gatsonis N A, Olson L 2015 IEEE Trans. Plasma Sci. 43 1926
Google Scholar
[38] Hiskes J R, Karo A M 1989 Appl. Phys. Lett. 54 508
Google Scholar
[39] Eerden M J J, Van de Sanden M C M, Otorbaev D K, Schram D C 1995 Phys. Rev. A 51 3362
Google Scholar
[40] Seidl M, Cui H L, Isenberg J D, Kwon H J, Lee B S, Melnychuk S T 1996 J. Appl. Phys. 79 2896
Google Scholar
[41] Zhang Y R, Wang X, Yang W, Gao F and Wang Y N 2021 Plasma Sources Sci. Technol. 30 075028
Google Scholar
[42] Fubiani G, Boeuf J P 2015 Plasma Sources Sci. Technol. 24 055001
Google Scholar
[43] Franzen P, Wünderlich D, Fantz U and the NNBI Team 2014 Plasma Phys. Controlled Fusion 56 025007
Google Scholar
计量
- 文章访问数: 1964
- PDF下载量: 74
- 被引次数: 0








下载: