-
The study of the evolution of grain boundary (GB) structures and the mechanisms of dislocation motion in graphene is of significance in uncovering the physical essence of plastic deformation behavior of graphene. Currently, the dynamic behavior of graphene GBs under non-mechanical loads has been extensively investigated. However, due to the inherent limitations of existing experimental conditions and simulation methods in terms of temporal and spatial scales, the dynamic evolution process of dislocations in graphene under mechanical tensile loads and their intrinsic correlation with plastic deformation are still poorly understood. In this work, a phase-field crystal (PFC) model based on classical density functional theory (DFT) is adopted. Combining periodic density field variables, the model achieves cross-scale coupling between microscopic crystal structures and macroscopic diffusion time scales, enabling efficient simulation of long-term evolution processes. It is particularly suitable for characterizing microscopic mechanisms involving complex defect evolution in graphene, such as dislocation glide and climb, and GB migration. In this work, the complete deformation process of a graphene bicrystal system containing a GB loop under uniaxial tensile loading is simulated on an atomic scale, including elastic response, elastic-plastic transition, plastic deformation, and fracture. The transformation characteristics of 5|7 dislocation core structures and the topological evolution of the GB loop within the system are systematically investigated. The simulation results reveal that when the applied strain is below a critical value, the system exhibits the elastic response, characterized by a linear relationship between the average response strain and the applied strain. As the strain reaches the critical value, the 5|7 dislocations at the GB loop undergo transformation into 5|7|7|5 dislocations through C—C bond rotation. This transition is accompanied by a significant increase in the strain amplitude at the dislocation cores, marking the onset of plastic deformation. Beyond the critical strain, the system thus enters the plastic deformation stage, during which the GB loop exhibits three different types of evolution behaviors: 1) alternating transformations between 5|7 and 5|7|7|5 dislocation structures driven by repeated C—C bond rotation; 2) a cyclic evolution of dislocations involving “pinning $\rightleftharpoons $ mixed climb/glide motion”, accompanied by energy fluctuations described as “energy storage-dissipation-restorage”; 3) dislocations remaining in a “pinned” state until stress concentration in their core regions initiates transgranular cracking, ultimately leading to ductile fracture of the system. This study provides important theoretical insights into the physical mechanisms underlying the plastic deformation behavior of graphene. -
Keywords:
- phase-field crystal model /
- graphene /
- grain-boundary /
- 5|7 dislocation
[1] Tiwari S K, Sahoo S, Wang N, Huczko A 2020 J. Sci. : Adv. Mater. Devices 5 10
Google Scholar
[2] Slepchenkov M M, Glukhova O E 2019 Coatings 9 74
Google Scholar
[3] Lherbier A, Dubois S M M, Declerck X, Niquet Y M, Roche S, Charlier J C 2012 Phys. Rev. B 86 75402
Google Scholar
[4] Mortazavi B, Ahzi S 2013 Carbon 63 460
Google Scholar
[5] Geim A K 2009 Science 324 1530
Google Scholar
[6] Hansora D P, Shimpi N G, Mishra S 2015 JOM 67 2855
Google Scholar
[7] Dervishi E, Ji Z, Htoon H, Sykora M, Doorn S K 2019 Nanoscale 11 16571
Google Scholar
[8] Wong C H, Vijayaraghavan V 2012 Materials Science and Engineering: A 556 420
Google Scholar
[9] He L C, Guo S S, Lei J C, Sha Z D, Liu Z S 2014 Carbon 75 124
Google Scholar
[10] Fu Y, Ragab T, Basaran C 2016 Comput. Mater. Sci. 124 142
Google Scholar
[11] Zhang X L, Zhang J L, Yang M 2020 RSC Adv. 10 19254
Google Scholar
[12] Gamboa-Suárez A, Seuret-Hernández H Y, Leyssale J M 2022 Carbon Trends 9 100197
Google Scholar
[13] Zandiatashbar A, Lee G H, An S J, et al. 2014 Nat. Commun. 5 3186
Google Scholar
[14] Cottrell A H, Bilby B A 1949 Proc. Phys. Soc. London, Sect. A 62 49
Google Scholar
[15] Nabarro F R N 1952 Adv. Phys. 1 269
Google Scholar
[16] Lehtinen O, Kurasch S, Krasheninnikov A V, Kaiser U 2013 Nat. Commun. 4 2098
Google Scholar
[17] Warner J H, Margine E R, Mukai M, Robertson A W, Giustino F, Kirkland A I 2012 Science 337 209
Google Scholar
[18] Gong C, Robertson A W, He K, Lee G D, Yoon E, Allen C S, Kirkland A I, Warner J H 2015 ACS Nano 9 10066
Google Scholar
[19] Gong C, He K, Chen Q, Robertson A W, Warner J H 2016 ACS Nano 10 9165
Google Scholar
[20] Yang Z, Huang Y H, Ma F, Sun Y J, Xu K W, Chu P K 2015 Eur. Phys. J. B 88 135
Google Scholar
[21] Grantab R, Shenoy V B, Ruoff R S 2010 Science 330 946
Google Scholar
[22] Zhou W Q, Wang J C, Lin B, Wang Z J, Li J J, Huang Z F 2019 Carbon 153 242
Google Scholar
[23] 高丰, 李欢庆, 宋卓, 赵宇宏 2024 73 248101
Google Scholar
Gao F, Li H Q, Song Z, Zhao Y H 2024 Acta. Phys. Sin. 73 248101
Google Scholar
[24] Yang L, Liu J J, Lin Y W, Xu K, Cao X Z, Zhang Z S, Wu J Y 2021 Chem. Mater. 33 8758
Google Scholar
[25] Wu J Y, Gong H, Zhang Z S, He J Y, Ariza P, Ortiz M, Zhang Z L 2019 Appl. Mater. Today 15 34
Google Scholar
[26] Liu J, Šesták P, Zhang Z, Wu J 2022 Mater. Today Nano 20 100245
Google Scholar
[27] Yamanaka A, McReynolds K, Voorhees P W 2017 Acta Mater. 133 160
Google Scholar
[28] Li J Y, Ni B, Zhang T, Gao H J 2018 J. Mech. Phys. Solids 120 36
Google Scholar
[29] Qi Y, Krajewski P 2007 Acta Mater. 55 1555
Google Scholar
[30] Elder K R, Grant M 2004 Phys. Rev. E 70 51605
Google Scholar
[31] Elder K R, Katakowski M, Haataja M, Grant M 2002 Phys. Rev. Lett. 88 245701
Google Scholar
[32] Swift J, Hohenberg P C 1977 Phys. Rev. A 15 319
Google Scholar
[33] Huang Z F, Elder K R, Provatas N 2010 Phys. Rev. E 82 21605
Google Scholar
[34] Elder K R, Provatas N, Berry J, Stefanovic P, Grant M 2007 Phys. Rev. B 75 64107
Google Scholar
[35] Los J H, Zakharchenko K V, Katsnelson M I, Fasolino A 2015 Phys. Rev. B 91 45415
Google Scholar
[36] Singh S K, Neek-Amal M, Peeters F M 2013 Phys. Rev. B 87 134103
Google Scholar
[37] Stefanovic P, Haataja M, Provatas N 2006 Phys. Rev. Lett. 96 225504
Google Scholar
[38] Tegze G, Bansel G, Tóth G I, Pusztai T, Fan Z, Gránásy L 2009 J. Comput. Phys. 228 1612
Google Scholar
[39] Stefanovic P, Haataja M, Provatas N 2009 Phys. Rev. E 80 46107
Google Scholar
[40] Heinonen V, Achim C V, Ala-Nissila T 2016 Phys. Rev. E 93 53003
Google Scholar
[41] 周文权 2019 博士学位论文(西安: 西北工业大学)
Zhou W Q 2019 Ph. D. Dissertation (Xi’an: Northwestern Polytechnical University
[42] Zhou W Q, Wang J C, Wang Z J, Huang Z F 2019 Phys. Rev. E 99 013302
Google Scholar
[43] Taha D, Mkhonta S K, Elder K R, Huang Z F 2017 Phys. Rev. Lett. 118 255501
Google Scholar
[44] Wei Y J, Wu J T, Yin H Q, Shi X H, Yang R G, Dresselhaus M 2012 Nat. Mater. 11 759
Google Scholar
[45] Wu J T, Wei Y J 2013 J. Mech. Phys. Solids 61 1421
Google Scholar
[46] Liu T H, Pao C W, Chang C C 2012 Carbon 50 3465
Google Scholar
[47] Li L, Reich S, Robertson J 2005 Phys. Rev. B 72 184109
Google Scholar
[48] Kim Y, Ihm J, Yoon E, Lee G D 2011 Phys. Rev. B 84 75445
Google Scholar
[49] Blaschke D N, Szajewski B A 2018 Philos. Mag. 98 2397
Google Scholar
[50] Bonilla L L, Carpio A, Gong C, Warner J H 2015 Phys. Rev. B 92 155417
Google Scholar
-
图 1 含晶界环的石墨烯双晶体系结构 (a) 石墨烯双晶体系对应的晶格取向分布云图, 插图为晶界环处5|7位错的排列分布图; (b) 图(a)中矩形区域放大图; (c) 图(b)中5|7位错对应的原子结构图及其Burgers矢量(红色箭头所示)
Figure 1. Structure of graphene bicrystal system containing a grain boundary (GB) loop: (a) Illustration of lattice orientation in the graphene bicrystal system, with the inset showing the arrangement of 5|7 dislocations at the GB loop; (b) magnified view of the rectangular region in panel (a); (c) atomic structure diagram of the 5|7 dislocation in panel (b) and its Burgers vector (indicated by the red arrow).
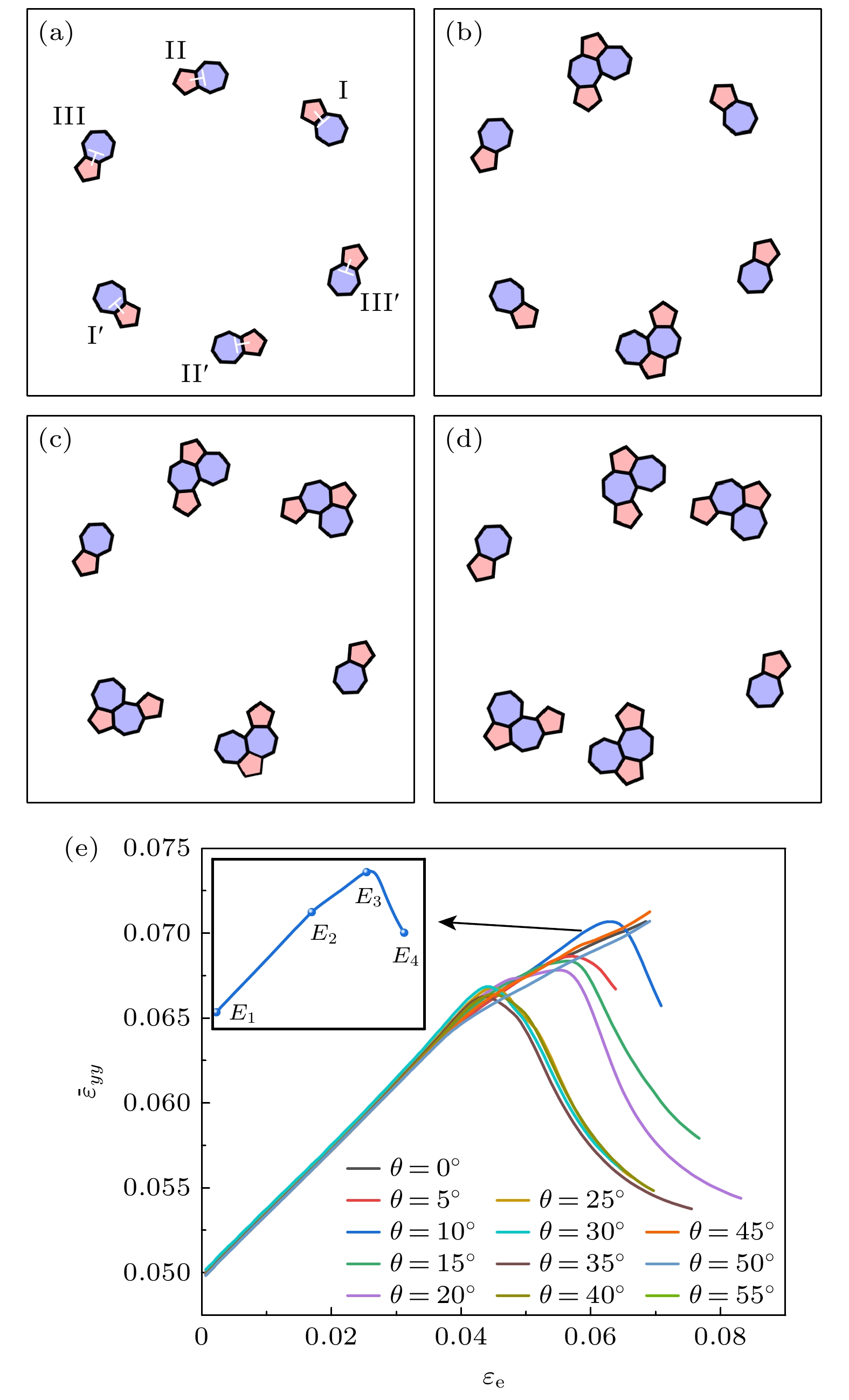
图 3 石墨烯双晶体系晶界环拓扑结构演化过程示意图, 其中(a)—(d) ${\varepsilon _{\text{e}}}$= 0.59%, 3.25%, 3.72%, 4.19%; (e) 12组不同晶体取向石墨烯双晶体系的平均响应应变${\bar \varepsilon _{yy}}$-外加应变${\varepsilon _{\text{e}}}$响应曲线
Figure 3. Schematic diagram of topological structure evolution of the GB loop in the graphene bicrystal systems: (a)–(d) ${\varepsilon _{\text{e}}}$= 0.59%, 3.25%, 3.72%, 4.19%. (e) Response curves of average strain versus applied strain for twelve graphene bicrystal systems with different crystallographic orientations.
图 4 双晶体系7中晶界环I号位错($\alpha $= 29.5°)在应变作用下的弹性响应过程 (a) 5|7位错微观结构图; (b) 图(a)的局部应变分布云图及压缩应变(CS)值和拉伸应变(TS)值; (c) 5|7位错核心处的平均局部应变(${\bar \varepsilon _{yy}} - \bar \varepsilon _{yy}^0$)-外加应变${\varepsilon _{\text{e}}}$响应曲线
Figure 4. Bicrystal system 7, elastic response process of dislocation I ($\alpha $ = 29.5°) in the GB loop under strain: (a) Microstructure of the 5|7 dislocation; (b) strain distribution contour of panel (a) with values of compressive strain (CS) and tensile strain (TS); (c) response curves of average local strain (${\bar \varepsilon _{yy}} - \bar \varepsilon _{yy}^0$) versus applied strain ${\varepsilon _{\text{e}}}$ at the 5|7 dislocation core.
图 6 双晶体系10, 晶界环II号位错($\alpha $= 45.3°)结构转变图, 其中(a) ${\varepsilon _{\text{e}}}$= 3.22%, (b) ${\varepsilon _{\text{e}}}$= 3.28%; (c) 弹-塑性转变过程的平均局部应变(${\bar \varepsilon _{yy}} - \bar \varepsilon _{yy}^0$)-外加应变${\varepsilon _{\text{e}}}$响应曲线
Figure 6. Elastoplastic transition in bicrystal system 10, microstructural evolution of defect structure transformation at dislocation II ($\alpha $ = 45.3°) in the GB loop: (a) ${\varepsilon _{\text{e}}}$ = 3.22%; (b) ${\varepsilon _{\text{e}}}$ = 3.28%. (c) Response curves of average local strain (${\bar \varepsilon _{yy}} - \bar \varepsilon _{yy}^0$) versus applied strain ${\varepsilon _{\text{e}}}$.
图 8 双晶体系12, 晶界环I号位错($\alpha $ = 4.5°)在应变作用下的微观结构演化图与应变响应过程 (a)—(e) 位错缺陷结构微观演化图及其所对应的位错核心区域的应变等值线图(${\varepsilon _{\text{e}}}$ = 3.72%, 3.75%, 3.83%, 3.86%, 4.01%); (f)—(j)为对应的演化过程示意图; (k) I号位错的局部能量密度均值-外加应变曲线; (l) 位错核心处的平均局部应变(${\bar \varepsilon _{yy}} - \bar \varepsilon _{yy}^0$)-外加应变${\varepsilon _{\text{e}}}$响应曲线
Figure 8. Bicrystal system 12, microstructural evolution and strain response of dislocation I ($\alpha $ = 4.5°) in the GB loop under applied strain: (a)–(e) Microscopic evolution of dislocation defect structures and corresponding strain contour plots at the dislocation core region (${\varepsilon _{\text{e}}}$ = 3.72%, 3.75%, 3.83%, 3.86%, 4.01%); (f)–(j) schematic diagrams of the corresponding evolutionary stages; (k) curve of average local energy density versus applied strain for dislocation I; (l) response curves of average local strain (${\bar \varepsilon _{yy}} - \bar \varepsilon _{yy}^0$) at the dislocation core versus applied strain ${\varepsilon _{\text{e}}}$.
图 9 双晶体系4, 晶界环II号位错($\alpha $ = 15.3°)在应变作用下的微观结构演化图与应变响应过程 (a)—(f) ${\varepsilon _{\text{e}}}$ = 3.16%, 3.19%, 3.89%, 3.92%, 3.98%, 4.01%; (g) II号位错的局部能量密度均值-外加应变曲线; (h) 位错核心处的平均局部应变(${\bar \varepsilon _{yy}} - \bar \varepsilon _{yy}^0$)-外加应变${\varepsilon _{\text{e}}}$响应曲线
Figure 9. Bicrystal system 4, microstructural evolution and strain response of dislocation II ($\alpha $ = 15.3°) in the GB loop under applied strain: (a)–(f) ${\varepsilon _{\text{e}}}$ = 3.16%, 3.19%, 3.89%, 3.92%, 3.98%, 4.01%; (g) curve of average local energy density versus applied strain for dislocation II; (h) response curves of average local strain (${\bar \varepsilon _{yy}} - \bar \varepsilon _{yy}^0$) at the dislocation core versus applied strain ${\varepsilon _{\text{e}}}$.
图 10 双晶体系4, 晶界环I号位错($\alpha $ = 44.5°)在应变作用下的微观结构演化图与应变响应过程 (a)—(d) ${\varepsilon _{\text{e}}}$ = 3.51%, 3.54%, 3.60%, 4.19%; (e) 所对应的位错核心处的平均局部应变(${\bar \varepsilon _{yy}} - \bar \varepsilon _{yy}^0$)-外加应变${\varepsilon _{\text{e}}}$响应曲线
Figure 10. Bicrystal system 4, microstructural evolution and strain response of dislocation I ($\alpha $= 44.5°) in the GB loop under applied strain: (a)–(d) ${\varepsilon _{\text{e}}}$= 3.51%, 3.54%, 3.60%, 4.19%; (e) corresponding response curves of average local strain (${\bar \varepsilon _{yy}} - \bar \varepsilon _{yy}^0$) at the dislocation core versus applied strain ${\varepsilon _{\text{e}}}$.
图 11 双晶体系3, 晶界环III号位错($\alpha $ = 70.7°)在应变作用下的微观结构图与应变响应过程 (a)—(c) ${\varepsilon _{\text{e}}}$ = 0.59%, 1.76%, 2.93%; (d) 所对应的位错核心处的平均局部应变(${\bar \varepsilon _{yy}} - \bar \varepsilon _{yy}^0$)-外加应变${\varepsilon _{\text{e}}}$响应曲线
Figure 11. Bicrystal system 3, microstructural evolution and strain response of dislocation III ($\alpha $ = 70.7°) in the GB loop under applied strain: (a)–(c) ${\varepsilon _{\text{e}}}$ = 0.59%, 1.76%, 2.93%; (d) corresponding response curves of average local strain (${\bar \varepsilon _{yy}} - \bar \varepsilon _{yy}^0$) at the dislocation core versus applied strain ${\varepsilon _{\text{e}}}$.
表 1 12组石墨烯双晶体系的参数
Table 1. Parameters of the twelve graphene bicrystal systems.
体系
编号晶粒取向角 体系
旋转
角度
$\theta $/(°)b与Y 轴夹角$\alpha $/(°) ${\varphi _1}$/(°) ${\varphi _2}$/(°) I号
位错II号
位错III号
位错1 1.1 –1.1 0 59.5 0.3 60.7 2 6.1 3.9 5 54.5 5.3 65.7 3 11.1 8.9 10 49.5 10.3 70.7 4 16.1 13.9 15 44.5 15.3 75.7 5 21.1 18.9 20 39.5 20.3 80.7 6 26.1 23.9 25 34.5 25.3 85.7 7 31.1 28.9 30 29.5 30.3 90.7 8 36.1 33.9 35 24.5 35.3 95.7 9 41.1 38.9 40 19.5 40.3 100.7 10 46.1 43.9 45 14.5 45.3 105.7 11 51.1 48.9 50 9.5 50.3 110.7 12 56.1 53.9 55 4.5 55.3 115.7 -
[1] Tiwari S K, Sahoo S, Wang N, Huczko A 2020 J. Sci. : Adv. Mater. Devices 5 10
Google Scholar
[2] Slepchenkov M M, Glukhova O E 2019 Coatings 9 74
Google Scholar
[3] Lherbier A, Dubois S M M, Declerck X, Niquet Y M, Roche S, Charlier J C 2012 Phys. Rev. B 86 75402
Google Scholar
[4] Mortazavi B, Ahzi S 2013 Carbon 63 460
Google Scholar
[5] Geim A K 2009 Science 324 1530
Google Scholar
[6] Hansora D P, Shimpi N G, Mishra S 2015 JOM 67 2855
Google Scholar
[7] Dervishi E, Ji Z, Htoon H, Sykora M, Doorn S K 2019 Nanoscale 11 16571
Google Scholar
[8] Wong C H, Vijayaraghavan V 2012 Materials Science and Engineering: A 556 420
Google Scholar
[9] He L C, Guo S S, Lei J C, Sha Z D, Liu Z S 2014 Carbon 75 124
Google Scholar
[10] Fu Y, Ragab T, Basaran C 2016 Comput. Mater. Sci. 124 142
Google Scholar
[11] Zhang X L, Zhang J L, Yang M 2020 RSC Adv. 10 19254
Google Scholar
[12] Gamboa-Suárez A, Seuret-Hernández H Y, Leyssale J M 2022 Carbon Trends 9 100197
Google Scholar
[13] Zandiatashbar A, Lee G H, An S J, et al. 2014 Nat. Commun. 5 3186
Google Scholar
[14] Cottrell A H, Bilby B A 1949 Proc. Phys. Soc. London, Sect. A 62 49
Google Scholar
[15] Nabarro F R N 1952 Adv. Phys. 1 269
Google Scholar
[16] Lehtinen O, Kurasch S, Krasheninnikov A V, Kaiser U 2013 Nat. Commun. 4 2098
Google Scholar
[17] Warner J H, Margine E R, Mukai M, Robertson A W, Giustino F, Kirkland A I 2012 Science 337 209
Google Scholar
[18] Gong C, Robertson A W, He K, Lee G D, Yoon E, Allen C S, Kirkland A I, Warner J H 2015 ACS Nano 9 10066
Google Scholar
[19] Gong C, He K, Chen Q, Robertson A W, Warner J H 2016 ACS Nano 10 9165
Google Scholar
[20] Yang Z, Huang Y H, Ma F, Sun Y J, Xu K W, Chu P K 2015 Eur. Phys. J. B 88 135
Google Scholar
[21] Grantab R, Shenoy V B, Ruoff R S 2010 Science 330 946
Google Scholar
[22] Zhou W Q, Wang J C, Lin B, Wang Z J, Li J J, Huang Z F 2019 Carbon 153 242
Google Scholar
[23] 高丰, 李欢庆, 宋卓, 赵宇宏 2024 73 248101
Google Scholar
Gao F, Li H Q, Song Z, Zhao Y H 2024 Acta. Phys. Sin. 73 248101
Google Scholar
[24] Yang L, Liu J J, Lin Y W, Xu K, Cao X Z, Zhang Z S, Wu J Y 2021 Chem. Mater. 33 8758
Google Scholar
[25] Wu J Y, Gong H, Zhang Z S, He J Y, Ariza P, Ortiz M, Zhang Z L 2019 Appl. Mater. Today 15 34
Google Scholar
[26] Liu J, Šesták P, Zhang Z, Wu J 2022 Mater. Today Nano 20 100245
Google Scholar
[27] Yamanaka A, McReynolds K, Voorhees P W 2017 Acta Mater. 133 160
Google Scholar
[28] Li J Y, Ni B, Zhang T, Gao H J 2018 J. Mech. Phys. Solids 120 36
Google Scholar
[29] Qi Y, Krajewski P 2007 Acta Mater. 55 1555
Google Scholar
[30] Elder K R, Grant M 2004 Phys. Rev. E 70 51605
Google Scholar
[31] Elder K R, Katakowski M, Haataja M, Grant M 2002 Phys. Rev. Lett. 88 245701
Google Scholar
[32] Swift J, Hohenberg P C 1977 Phys. Rev. A 15 319
Google Scholar
[33] Huang Z F, Elder K R, Provatas N 2010 Phys. Rev. E 82 21605
Google Scholar
[34] Elder K R, Provatas N, Berry J, Stefanovic P, Grant M 2007 Phys. Rev. B 75 64107
Google Scholar
[35] Los J H, Zakharchenko K V, Katsnelson M I, Fasolino A 2015 Phys. Rev. B 91 45415
Google Scholar
[36] Singh S K, Neek-Amal M, Peeters F M 2013 Phys. Rev. B 87 134103
Google Scholar
[37] Stefanovic P, Haataja M, Provatas N 2006 Phys. Rev. Lett. 96 225504
Google Scholar
[38] Tegze G, Bansel G, Tóth G I, Pusztai T, Fan Z, Gránásy L 2009 J. Comput. Phys. 228 1612
Google Scholar
[39] Stefanovic P, Haataja M, Provatas N 2009 Phys. Rev. E 80 46107
Google Scholar
[40] Heinonen V, Achim C V, Ala-Nissila T 2016 Phys. Rev. E 93 53003
Google Scholar
[41] 周文权 2019 博士学位论文(西安: 西北工业大学)
Zhou W Q 2019 Ph. D. Dissertation (Xi’an: Northwestern Polytechnical University
[42] Zhou W Q, Wang J C, Wang Z J, Huang Z F 2019 Phys. Rev. E 99 013302
Google Scholar
[43] Taha D, Mkhonta S K, Elder K R, Huang Z F 2017 Phys. Rev. Lett. 118 255501
Google Scholar
[44] Wei Y J, Wu J T, Yin H Q, Shi X H, Yang R G, Dresselhaus M 2012 Nat. Mater. 11 759
Google Scholar
[45] Wu J T, Wei Y J 2013 J. Mech. Phys. Solids 61 1421
Google Scholar
[46] Liu T H, Pao C W, Chang C C 2012 Carbon 50 3465
Google Scholar
[47] Li L, Reich S, Robertson J 2005 Phys. Rev. B 72 184109
Google Scholar
[48] Kim Y, Ihm J, Yoon E, Lee G D 2011 Phys. Rev. B 84 75445
Google Scholar
[49] Blaschke D N, Szajewski B A 2018 Philos. Mag. 98 2397
Google Scholar
[50] Bonilla L L, Carpio A, Gong C, Warner J H 2015 Phys. Rev. B 92 155417
Google Scholar
Catalog
Metrics
- Abstract views: 1416
- PDF Downloads: 58
- Cited By: 0









DownLoad: