-
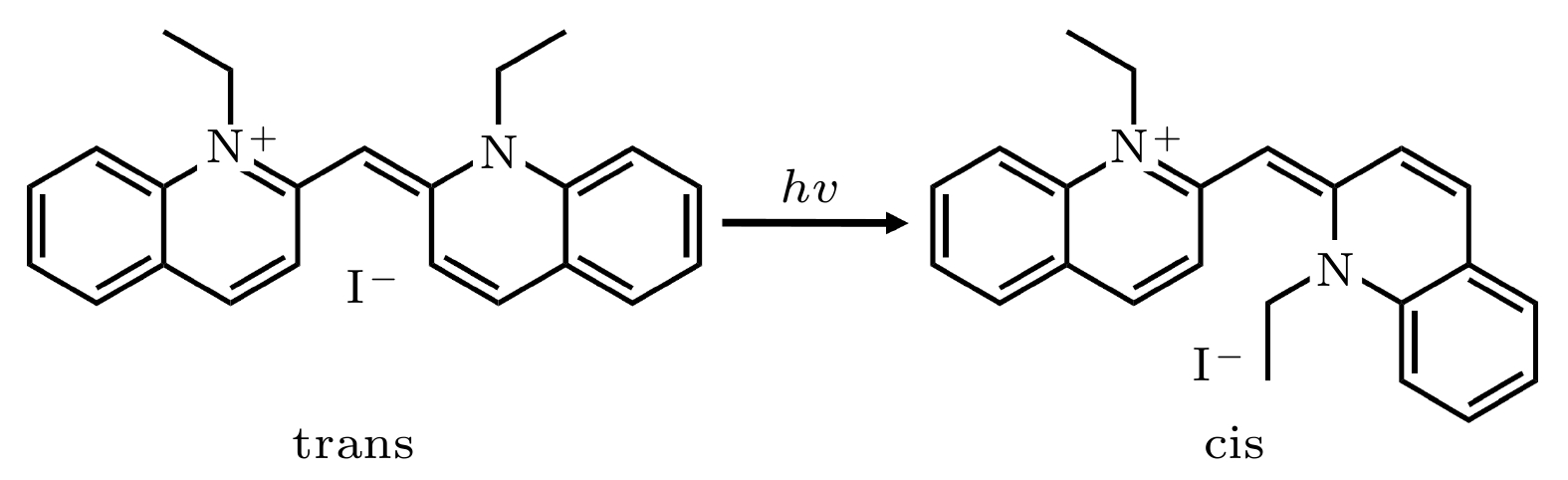
Photoisomerization is a prototypical photophysical and photochemical reaction, and the reaction quantum yield depends on its excited-state dynamic. Changing the evolution path of molecular excited states to achieve precise control over photochemical reactions has long been a dream pursued by physicists and chemists. To investigate the effect of femtosecond laser pulse on the ultrafast reaction, the ultrafast photoisomerization of 1, 1'-diethyl-2, 2'-cyanine iodide (1122C) in methanol is studied using pump-dump-probe spectroscopy. A third femtosecond pulse (Dump) at 1030 nm, which is delayed by 1 ps relative to the initial pump pulse, is introduced into the traditional pump-probe experiment. The recovery of ground state bleaching (GSB) and decrease of the cis product are observed in the pump-dump-probe experiment. It indicates that the dump pulse successfully promotes the initial transform: skipping the trans-cis isomerization pathway in the excited state and returning to the ground state directly through stimulated emission. It is found that the cis yield is reduced by approximately 12.1% under irradiation of the dump pulse. Our research shows that the quantum yields of a typic ultrafast photoisomerization reaction is successfully regulated by using femtosecond laser pulse, demonstrating the potential of femtosecond multi-pulse spectroscopy in modifying excited-state evolution pathways and optimizing photochemical reaction yields. This study provides theoretical and technical support for precisely controlling complex photochemical reactions in the future.
-
Keywords:
- femtosecond transient absorption spectroscopy /
- photoisomerization /
- excited state dynamics /
- pump-dump-probe
[1] Takeuchi S, Ruhman S, Tsuneda T, Chiba M, Taketsugu T, Tahara T 2008 Science 322 1073
Google Scholar
[2] Kukura P, McCamant D W, Yoon Sangwoon, Wandschneider D B, Mathies R A 2005 Science 310 1006
Google Scholar
[3] Ernst O P, Lodowski D T, Elstner M, Hegemann P, Brown L S, Kandori H 2014 Chem. Rev. 114 126
Google Scholar
[4] Kuramochi H, Takeuchi S, Yonezawa K, Kamikubo H, Kataoka M, Tahara T 2017 Nat. Chem. 9 660
Google Scholar
[5] Quick M, Dobryakov A L, Gerecke M, et al. 2014 J. Phys. Chem. B 118 8756
Google Scholar
[6] Nguyen D T, Freitag M, Gutheil C, et al. 2020 Angew. Chem. Int. Ed. 59 13651
Google Scholar
[7] Roy P, Sardjan A S, Danowski W, Browne W R, Feringa B L, Meech S R 2024 J. Chem. Phys. 161 074504
Google Scholar
[8] Shi Y N, Zhao X Y, Wang C, et al. 2020 Chem. Asian J. 15 1478
Google Scholar
[9] Dietzek B, Brüggemann B, Pascher T, Yartsev A 2006 Phys. Rev. Lett. 97 258301
Google Scholar
[10] Dietzek B, Tarnovsky A N, Yartsev A 2009 Chem. Phys. 357 54
Google Scholar
[11] Rentsch S K 1982 Chem. Phys. 69 81
Google Scholar
[12] Dietz F, Rentsch S K 1985 Chem. Phys. 96 145
Google Scholar
[13] Dietzek B, Yartsev A, Tarnovsky A N 2007 J. Phys. Chem. B 111 4520
Google Scholar
[14] Dietzek B, Brüggemann B, Pascher T, Yartsev A 2007 J. Am. Chem. Soc. 129 13014
Google Scholar
[15] Dietzek B, Pascher T, Yartsev A 2007 J. Phys. Chem. B 111 6034
[16] Wei Z, Nakamura T, Takeuchi S, Tahara T 2011 J. Am. Chem. Soc. 133 8205
Google Scholar
[17] Ma F, Yartsev A 2016 RSC Adv. 6 45210
Google Scholar
[18] Levitus M, Ranjit S 2011 Q. Rev. Biophys. 44 123
Google Scholar
[19] Sun W, Guo S, Hu C, et al. 2016 Chem. Rev. 116 7768
Google Scholar
[20] Shapovalov S A 2022 Colorants 1 165
Google Scholar
[21] Dietzek B, Christensson N, Pascher T, Pullerits T, Yartsev A 2007 J. Phys. Chem. B 111 5396
Google Scholar
[22] Muramatsu S, Tokizane T, Inokuchi Y 2022 J. Phys. Chem. A 126 8127
Google Scholar
[23] Hart S M, Banal J L, Bathe M, Schlau-Cohen G S 2020 J. Phys. Chem. Lett. 11 5000
Google Scholar
[24] Guo C, Aydin M, Zhu H, Akins D L 2002 J. Phys. Chem. B 106 5447
Google Scholar
-
图 4 1122C分子甲醇溶液的Pump-Probe实验结果 (a)二维瞬态吸收光谱图(激发波长为450 nm); (b)不同延迟时刻下的瞬态吸收光谱; (c)几个具有代表性的不同探测波长的动力学轨迹; (d)探测波长为550 nm的动力学轨迹以及拟合结果
Figure 4. (a) Two-dimensional Pump-Probe transient absorption spectrum of 1122C in methanol (pump = 450 nm); (b) time-resolved transient absorption in the different delay times; (c) representative transient absorption kinetic trace for various probe wavelengths; (d) the kinetic curve and fitted results at 550 nm.
图 6 1122C分子甲醇溶液的泵浦-受激亏蚀-探测实验结果 (a) 二维瞬态吸收光谱图(激发波长为450 nm, 受激亏蚀延迟为1 ps, 受激亏蚀波长为1030 nm); (b), (c) 2 ps和78 ps延迟时刻下受激亏蚀光作用前后的瞬态吸收光谱图(PP为泵浦-探测, PDP为泵浦-受激亏蚀-探测); (d), (e) 探测波长为525 nm和550 nm的DP, PP和PDP动力学曲线(DP为受激亏蚀-探测); (f) 1122C分子在受激亏蚀光作用下波包运动示意图
Figure 6. Pump-dump-probe transient absorption of 1122C in methanol: (a) Two-dimensional spectrum (pump: 450 nm, dump: 1030 nm, and dump at 1 ps delay time); (b), (c) transient absorption spectra at the 2 ps and 78 ps delay times in the presence (PDP) and absence (PP) of a dump pulse; (d), (e) selected DP, PP and PDP kinetic traces at 525 nm and 550 nm; (f) schematic wavepacket motion of 1122C in the pump-dump-probe experiment.
-
[1] Takeuchi S, Ruhman S, Tsuneda T, Chiba M, Taketsugu T, Tahara T 2008 Science 322 1073
Google Scholar
[2] Kukura P, McCamant D W, Yoon Sangwoon, Wandschneider D B, Mathies R A 2005 Science 310 1006
Google Scholar
[3] Ernst O P, Lodowski D T, Elstner M, Hegemann P, Brown L S, Kandori H 2014 Chem. Rev. 114 126
Google Scholar
[4] Kuramochi H, Takeuchi S, Yonezawa K, Kamikubo H, Kataoka M, Tahara T 2017 Nat. Chem. 9 660
Google Scholar
[5] Quick M, Dobryakov A L, Gerecke M, et al. 2014 J. Phys. Chem. B 118 8756
Google Scholar
[6] Nguyen D T, Freitag M, Gutheil C, et al. 2020 Angew. Chem. Int. Ed. 59 13651
Google Scholar
[7] Roy P, Sardjan A S, Danowski W, Browne W R, Feringa B L, Meech S R 2024 J. Chem. Phys. 161 074504
Google Scholar
[8] Shi Y N, Zhao X Y, Wang C, et al. 2020 Chem. Asian J. 15 1478
Google Scholar
[9] Dietzek B, Brüggemann B, Pascher T, Yartsev A 2006 Phys. Rev. Lett. 97 258301
Google Scholar
[10] Dietzek B, Tarnovsky A N, Yartsev A 2009 Chem. Phys. 357 54
Google Scholar
[11] Rentsch S K 1982 Chem. Phys. 69 81
Google Scholar
[12] Dietz F, Rentsch S K 1985 Chem. Phys. 96 145
Google Scholar
[13] Dietzek B, Yartsev A, Tarnovsky A N 2007 J. Phys. Chem. B 111 4520
Google Scholar
[14] Dietzek B, Brüggemann B, Pascher T, Yartsev A 2007 J. Am. Chem. Soc. 129 13014
Google Scholar
[15] Dietzek B, Pascher T, Yartsev A 2007 J. Phys. Chem. B 111 6034
[16] Wei Z, Nakamura T, Takeuchi S, Tahara T 2011 J. Am. Chem. Soc. 133 8205
Google Scholar
[17] Ma F, Yartsev A 2016 RSC Adv. 6 45210
Google Scholar
[18] Levitus M, Ranjit S 2011 Q. Rev. Biophys. 44 123
Google Scholar
[19] Sun W, Guo S, Hu C, et al. 2016 Chem. Rev. 116 7768
Google Scholar
[20] Shapovalov S A 2022 Colorants 1 165
Google Scholar
[21] Dietzek B, Christensson N, Pascher T, Pullerits T, Yartsev A 2007 J. Phys. Chem. B 111 5396
Google Scholar
[22] Muramatsu S, Tokizane T, Inokuchi Y 2022 J. Phys. Chem. A 126 8127
Google Scholar
[23] Hart S M, Banal J L, Bathe M, Schlau-Cohen G S 2020 J. Phys. Chem. Lett. 11 5000
Google Scholar
[24] Guo C, Aydin M, Zhu H, Akins D L 2002 J. Phys. Chem. B 106 5447
Google Scholar
Catalog
Metrics
- Abstract views: 1605
- PDF Downloads: 60
- Cited By: 0









DownLoad: