-
Shear banding behavior of metallic glasses (MGs) strongly correlates with the microstructural heterogeneity. Understanding how the nucleation and propagation of shear bands are governed by the nanoscale structural heterogeneity is crucial for designing high-performance MGs. Herein, the traditional molecular dynamics (MD) and swap Monte Carlo (SMC) simulations are used to construct two phases of CuZr metallic glasses: the soft phase with a high cooling rate about 1013 K/s, and the hard phase with a extremely low cooling rate in simulations about 104 K/s. The soft phase contains fewer icosahedral clusters, allowing for easier plastic deformation; the hard phase has more of icosahedral clusters, which promotes shear localization once shear bands form inside. A ductile-to-brittle transition is found to occur in the soft-and-hard phase ordered MGs with the increase of the hard-region fraction c. Additionally, the strategy for ordering these two phases to strongly influence the mechanical behavior of MGs is proposed. Dispersed and isolated hard-regions can improve the mechanical stability of MGs and delay the occurrence of shear banding. Instead, the soft regions surrounded by hard regions can induce a secondary shear band that is formed through the reorientation of plastic zones under constrained deformation, leading to more delocalized plastic deformation zones. This work reveals that the structural heterogeneity achieved by adjusting the topology of soft and hard phases can significantly change the mechanical performance of MGs, which can guide the design of metallic glasses with controllable structures through architectural ordering strategies.
-
Keywords:
- metallic glasses /
- order modulation /
- molecular-dynamics simulations /
- shear banding
[1] Wang W H, Dong C, Shek C H 2004 Mater. Sci. Eng., R 44 45
Google Scholar
[2] Schuh C A, Hufnagel T C, Ramamurty U 2007 Acta Mater. 55 4067
Google Scholar
[3] Kruzic J J 2016 Adv. Eng. Mater. 18 1308
Google Scholar
[4] Cheng Y Q, Ma E 2011 Prog. Mater. Sci. 56 379
Google Scholar
[5] Zhu F, Hirata A, Liu P, Song S X, Tian Y, Han J H, Fujita T, Chen M W 2017 Phys. Rev. Lett. 119 215501
Google Scholar
[6] Argon A S 1979 Acta Metall. 27 47
Google Scholar
[7] Falk M L, Langer J S 1998 Phys. Rev. E 57 7192
Google Scholar
[8] Priezjev N V 2017 Phys. Rev. E 95 023002
Google Scholar
[9] Cubuk E D, Ivancic R J S, Schoenholz S S, et al. 2017 Science 358 1033
Google Scholar
[10] Qiao J C, Wang Q, Pelletier J M, Kato H, Casalini R, Crespo D, Pineda E, Yao Y, Yang Y 2019 Prog. Mater. Sci. 104 250
Google Scholar
[11] 王峥, 汪卫华 2017 66 176103
Google Scholar
Wang Z, Wang W H 2017 Acta Phys. Sin. 66 176103
Google Scholar
[12] Chang C, Zhang H P, Zhao R, Li F C, Luo P, Li M Z, Bai H Y 2022 Nat. Mater. 21 1240
Google Scholar
[13] Wang Q, Shang Y H, Yang Y 2023 Mater. Futures 2 017501
Google Scholar
[14] Lu X Q, Feng S D, Li L, Wang L M, Liu R P 2023 J. Phys. Chem. Lett. 14 6998
Google Scholar
[15] Vollmayr K, Kob W, Binder K 1996 J. Chem. Phys. 105 4714
Google Scholar
[16] Liu Y, Bei H, Liu C T, George E P 2007 Appl. Phys. Lett. 90 071909
Google Scholar
[17] Zhang Y, Zhang F, Wang C Z, Mendelev M I, Kramer M J, Ho K M 2015 Phys. Rev. B 91 064105
Google Scholar
[18] Ryltsev R E, Klumov B A, Chtchelkatchev N M, Shunyaev K Y 2016 J. Chem. Phys. 145 034506
Google Scholar
[19] Joy A, Bouchbinder E, Procaccia I 2013 Phys. Rev. E 87 042310
Google Scholar
[20] Fan M, Wang M L, Zhang K, Liu Y H, Schroers J, Shattuck M D, O’Hern C S 2017 Phys. Rev. E 95 022611
Google Scholar
[21] Sadigh B, Erhart P, Stukowski A, Caro A, Martinez E, Zepeda-Ruiz L 2012 Phys. Rev. B 85 184203
Google Scholar
[22] Grigera T S, Parisi G 2001 Phys. Rev. E 63 045102
Google Scholar
[23] Berthier L, Coslovich D, Ninarello A, Ozawa M 2016 Phys. Rev. Lett. 116 238002
Google Scholar
[24] Ninarello A, Berthier L, Coslovich D 2017 Phys. Rev. X 7 021039
Google Scholar
[25] Parmar A D S, Ozawa M, Berthier L 2020 Phys. Rev. Lett. 125 085505
Google Scholar
[26] Zhang Z, Ding J, Ma E 2022 Proc. Natl. Acad. Sci. U.S.A. 119 e2213941119
Google Scholar
[27] Yu J H, Zhang Z, Sha Z D, Ding J, Greer A L, Ma E 2025 Proc. Natl. Acad. Sci. U.S.A. 122 e2427082122
Google Scholar
[28] Luo Q, Cui W R, Zhang H P, et al. 2023 Mater. Futures 2 025001
Google Scholar
[29] Mendelev M I, Kramer M J, Ott R T, Sordelet D J, Yagodin D, Popel P 2009 Philos. Mag. 89 967
Google Scholar
[30] Sadigh B, Erhart P 2012 Phys. Rev. B 86 134204
Google Scholar
[31] Maloney C E, Lemaître A 2006 Phys. Rev. E 74 016118
Google Scholar
[32] Plimpton S 1995 J. Comput. Phys. 117 1
Google Scholar
[33] Barlow H J, Cochran J O, Fielding S M 2020 Phys. Rev. Lett. 125 168003
Google Scholar
[34] Cui S H, Liu H S, Peng H L 2022 Phys. Rev. E 106 014607
Google Scholar
[35] Dasgupta R, Mishra P, Procaccia I, Samwer K 2013 Appl. Phys. Lett. 102 191904
Google Scholar
[36] Liu Y, Liu H S, Peng H L 2023 J. Non-Cryst. Solids 601 122052
Google Scholar
[37] Liu Y, Yan Z H, Liu H S, Shang B S, Peng H L 2024 Phys. Rev. B 109 054115
Google Scholar
[38] 李茂枝 2017 66 176107
Google Scholar
Li M Z 2017 Acta Phys. Sin. 66 176107
Google Scholar
[39] Peng H L, Li M Z, Wang W H 2011 Phys. Rev. Lett. 106 135503
Google Scholar
[40] Eshelby J D 1957 Proc. R. Soc. London, Ser. A 241 376
Google Scholar
[41] Tang X C, Deng J R, Meng L Y, Yao X H 2025 Int. J. Plast. 189 104323
Google Scholar
-
图 1 不同软硬区序构$ \mathrm {\mathrm{Cu}}_{50}{\mathrm{Zr}}_{50} $MGs的应力-应变曲线, 插图是屈服应力随c的变化 (a)硬区位于样品中间的一个球形区域; (b)硬区位于样品中心8个分开的球形区域; (c)软区位于样品中间的一个球形区域; (d)软区位于样品中心8个分开的球形区域
Figure 1. Stress-strain curves of the soft-hard regions ordered $ \mathrm {\mathrm{Cu}}_{50}{\mathrm{Zr}}_{50} $ MGs, with the inset showing the c-dependent yield stress: (a) The hard region locating at the center as a spherical shape; (b) the hard region locating at the center as eight spherical zones; (c) the soft region locating at the center as a spherical shape; (d) the soft region locating at the center as eight spherical zones.
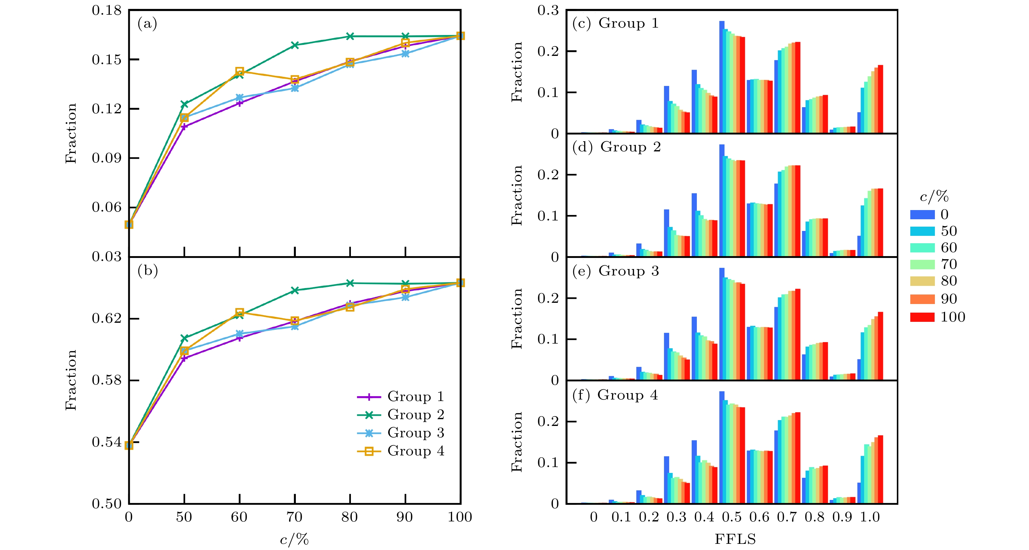
图 2 4组序构$ \mathrm {\mathrm{Cu}}_{50}{\mathrm{Zr}}_{50} $金属玻璃中$\langle 0,\ 0,\ 12,\ 0\rangle $和局域五次对称性参数(FFLS)随硬相含量c的变化 (a) $\langle 0,\ 0,\ 12,\ 0\rangle $含量; (b) FFLS含量; (c)—(f) FFLS分布
Figure 2. Evolution of $\langle 0,\ 0,\ 12,\ 0\rangle $ and the FFLS parameters with c in the ordered $ \mathrm {\mathrm{Cu}}_{50}{\mathrm{Zr}}_{50} $ MGs: (a) $\langle 0,\ 0,\ 12,\ 0\rangle $ clusters; (b) the FFLS parameters; (c)–(f) the FFLS distribution.
图 3 沿z方向平均的原子非仿射位移量及x-y平面上二十面体团簇空间分布 (a)—(c) $ c = 0{\text{%}} $样品, 其中(a)为临界应变$ \gamma_{\mathrm{c}} $前非仿射形变量图, (b)为临界应变$ \gamma_{\mathrm{c }}$后非仿射形变量图, (c)为二十面体团簇的分布; (d)—(f) $ c = 100{\text{%}} $样品, 其中(d)为临界应变$ \gamma_{\mathrm{c}} $前非仿射形变量图, (e)为临界应变$ \gamma_{\mathrm{c}} $后非仿射形变量图, (f)为二十面体团簇的分布
Figure 3. Spatial distribution of the non-affine displacement field and icosahedral clusters: (a), (b) $ D^2 $ distribution before and after the critical strain at $ c = 0{\text{{\text{%}}}} $, respectively; (d), (e) $ D^2 $ distribution before and after the critical strain at $ c = 100{\text{{\text{%}}}} $, respectively; (c), (f) the icosahedral cluster distribution at $ c = 0{\text{{\text{%}}}} $ and $ c = 100{\text{{\text{%}}}} $, respectively.
图 4 4组序构样品(c均为$ 90{\text{%}} $)在临界应变前后非仿射位移量的分布情况 (a), (b) Group 1临界应变前后; (c), (d) Group 2临界应变前后; (e), (f) Group 3临界应变前后; (g), (h) Group 4临界应变前后分布情况
Figure 4. The two-dimensional $ D^2 $ distribution of the ordered MGs with c = 90%: (a), (b) Distribution before and after $ \gamma_{\mathrm{c}} $ in Group 1; (c), (d) distribution before and after $ \gamma_{\mathrm{c}} $ in Group 2; (e), (f) distribution before and after $ \gamma_{\mathrm{c}} $ in Group 3; (g), (h) distribution before and after $ \gamma_{\mathrm{c}} $ in Group 4.
图 5 硬区浓度为$ 90{\text{%}} $样品二次剪切带产生过程中非仿射位移的空间分布情况 (a)—(d) Group 3样品中应变分别为0.336, 0.352, 0.360和0.368时的非仿射形变场; (e)—(h) Group 4样品中应变分别为0.336, 0.352, 0.360和0.368时的非仿射形变场
Figure 5. The two-dimensional $ D^2 $ distribution of MGs samples with $ c = 90{\text{%}} $ in the strain range of the secondary shear band: (a)–(d) Strain at 0.336, 0.352, 0.360, and 0.368 for Group 3 samples; (e)–(h) strain at 0.336, 0.352, 0.360, and 0.368 for Group 4 samples.
图 6 硬相含量较多的样品中产生一次剪切带和二次剪切带示意图 (a1), (a2)应变较小时软区诱导第一次剪切带产生示意图; (b1)—(b3)应变较大时软区诱导第二次剪切带产生示意图; (c1), (c2)和 (d1)—(d3)分别为硬区较为离散情况下第一次和第二次剪切带产生示意图
Figure 6. Schematic diagrams for the generation of the primary shear band and the secondary shear band: (a1), (a2) Emergency of the primary shear band at relative small strains; (b1)–(b3) emergency of the secondary shear band at relative large strains; (c1), (c2) and (d1)–(d3) are the emergency of the primary and the sendary shear bands when the hard-phase regions are dispersively distributed, respectively.
-
[1] Wang W H, Dong C, Shek C H 2004 Mater. Sci. Eng., R 44 45
Google Scholar
[2] Schuh C A, Hufnagel T C, Ramamurty U 2007 Acta Mater. 55 4067
Google Scholar
[3] Kruzic J J 2016 Adv. Eng. Mater. 18 1308
Google Scholar
[4] Cheng Y Q, Ma E 2011 Prog. Mater. Sci. 56 379
Google Scholar
[5] Zhu F, Hirata A, Liu P, Song S X, Tian Y, Han J H, Fujita T, Chen M W 2017 Phys. Rev. Lett. 119 215501
Google Scholar
[6] Argon A S 1979 Acta Metall. 27 47
Google Scholar
[7] Falk M L, Langer J S 1998 Phys. Rev. E 57 7192
Google Scholar
[8] Priezjev N V 2017 Phys. Rev. E 95 023002
Google Scholar
[9] Cubuk E D, Ivancic R J S, Schoenholz S S, et al. 2017 Science 358 1033
Google Scholar
[10] Qiao J C, Wang Q, Pelletier J M, Kato H, Casalini R, Crespo D, Pineda E, Yao Y, Yang Y 2019 Prog. Mater. Sci. 104 250
Google Scholar
[11] 王峥, 汪卫华 2017 66 176103
Google Scholar
Wang Z, Wang W H 2017 Acta Phys. Sin. 66 176103
Google Scholar
[12] Chang C, Zhang H P, Zhao R, Li F C, Luo P, Li M Z, Bai H Y 2022 Nat. Mater. 21 1240
Google Scholar
[13] Wang Q, Shang Y H, Yang Y 2023 Mater. Futures 2 017501
Google Scholar
[14] Lu X Q, Feng S D, Li L, Wang L M, Liu R P 2023 J. Phys. Chem. Lett. 14 6998
Google Scholar
[15] Vollmayr K, Kob W, Binder K 1996 J. Chem. Phys. 105 4714
Google Scholar
[16] Liu Y, Bei H, Liu C T, George E P 2007 Appl. Phys. Lett. 90 071909
Google Scholar
[17] Zhang Y, Zhang F, Wang C Z, Mendelev M I, Kramer M J, Ho K M 2015 Phys. Rev. B 91 064105
Google Scholar
[18] Ryltsev R E, Klumov B A, Chtchelkatchev N M, Shunyaev K Y 2016 J. Chem. Phys. 145 034506
Google Scholar
[19] Joy A, Bouchbinder E, Procaccia I 2013 Phys. Rev. E 87 042310
Google Scholar
[20] Fan M, Wang M L, Zhang K, Liu Y H, Schroers J, Shattuck M D, O’Hern C S 2017 Phys. Rev. E 95 022611
Google Scholar
[21] Sadigh B, Erhart P, Stukowski A, Caro A, Martinez E, Zepeda-Ruiz L 2012 Phys. Rev. B 85 184203
Google Scholar
[22] Grigera T S, Parisi G 2001 Phys. Rev. E 63 045102
Google Scholar
[23] Berthier L, Coslovich D, Ninarello A, Ozawa M 2016 Phys. Rev. Lett. 116 238002
Google Scholar
[24] Ninarello A, Berthier L, Coslovich D 2017 Phys. Rev. X 7 021039
Google Scholar
[25] Parmar A D S, Ozawa M, Berthier L 2020 Phys. Rev. Lett. 125 085505
Google Scholar
[26] Zhang Z, Ding J, Ma E 2022 Proc. Natl. Acad. Sci. U.S.A. 119 e2213941119
Google Scholar
[27] Yu J H, Zhang Z, Sha Z D, Ding J, Greer A L, Ma E 2025 Proc. Natl. Acad. Sci. U.S.A. 122 e2427082122
Google Scholar
[28] Luo Q, Cui W R, Zhang H P, et al. 2023 Mater. Futures 2 025001
Google Scholar
[29] Mendelev M I, Kramer M J, Ott R T, Sordelet D J, Yagodin D, Popel P 2009 Philos. Mag. 89 967
Google Scholar
[30] Sadigh B, Erhart P 2012 Phys. Rev. B 86 134204
Google Scholar
[31] Maloney C E, Lemaître A 2006 Phys. Rev. E 74 016118
Google Scholar
[32] Plimpton S 1995 J. Comput. Phys. 117 1
Google Scholar
[33] Barlow H J, Cochran J O, Fielding S M 2020 Phys. Rev. Lett. 125 168003
Google Scholar
[34] Cui S H, Liu H S, Peng H L 2022 Phys. Rev. E 106 014607
Google Scholar
[35] Dasgupta R, Mishra P, Procaccia I, Samwer K 2013 Appl. Phys. Lett. 102 191904
Google Scholar
[36] Liu Y, Liu H S, Peng H L 2023 J. Non-Cryst. Solids 601 122052
Google Scholar
[37] Liu Y, Yan Z H, Liu H S, Shang B S, Peng H L 2024 Phys. Rev. B 109 054115
Google Scholar
[38] 李茂枝 2017 66 176107
Google Scholar
Li M Z 2017 Acta Phys. Sin. 66 176107
Google Scholar
[39] Peng H L, Li M Z, Wang W H 2011 Phys. Rev. Lett. 106 135503
Google Scholar
[40] Eshelby J D 1957 Proc. R. Soc. London, Ser. A 241 376
Google Scholar
[41] Tang X C, Deng J R, Meng L Y, Yao X H 2025 Int. J. Plast. 189 104323
Google Scholar
Catalog
Metrics
- Abstract views: 612
- PDF Downloads: 28
- Cited By: 0