-
玻璃形成液体在温度变化过程中会表现出独特的动力学转变行为, 在降温过程中, 系统会经历从脆性液体到强性液体的转变, 称为强脆转变. 本研究以Fe-Zr-B-M四元体系为研究对象, 通过黏度实验揭示该体系存在显著的强脆转变行为, 并以晶化激活能作为评价指标, 建立Fe-Zr-B-M体系中强脆转变程度与玻璃形成能力之间的负相关性. 结果表明, 类晶团簇在Fe-Zr-B-M体系金属玻璃的凝固过程中起关键作用, 据此提出了基于二十面体团簇向类晶团簇结构转变的强脆转变机理, 并确立了混合焓和错配熵在调控Fe基非晶合金液体强脆转变过程中的重要作用.Glass-forming liquids exhibit unique dynamic transition behavior during temperature changes. The system undergoes a transition from the fragile liquid to the strong liquid, which is known as the fragile-to-strong transition as the temperature decreases. In order to address the issue of poor glass-forming ability (GFA) in Fe-based alloys, through studying the kinetic behavior of the Fe-Zr-B-M (M = Nb, Ti, Al) alloy system, the mechanism of ductile-brittle transition is revealed and the relationship between the degree of ductile-brittle transition and the GFA is established. In this study, through viscosity measurements, a pronounced fragile-to-strong transition behavior in this system is revealed. By using crystallization activation energy as an evaluation criterion, a negative correlation between the degree of the fragile-to-strong transition and the GFA in the Fe-Zr-B-M system is established. The results indicate that the crystal-like clusters play a critical role in the solidification process of the Fe-Zr-B-M metallic glasses. Based on this, a fragile-to-strong transition mechanism involving the structural transformation from the icosahedral clusters to the crystal-like clusters is proposed. Through theoretical calculations of mixing enthalpy and mismatch entropy and by combining microstructural characterization, it is found that alloy compositions with more negative mixing enthalpy and higher mismatch entropy can effectively suppress the tendency of icosahedral structures to transform into crystal-like structures, thereby hindering crystallization and promoting the formation of a more disordered amorphous structure. This structural feature not only corresponds to superior glass-forming ability but also exhibits a weak fragile-to-strong transition phenomenon. In this work, the intrinsic correlation between viscosity characteristics and the GFA is revealed, providing a theoretical basis for developing Fe-based metallic glasses with high GFA.
-
Keywords:
- metallic glass /
- fragile-to-strong transition /
- viscosity /
- glass-forming ability
[1] Tschumi A, Laubscher T, Jeker R, Schüpfer E, Künzi H U, Güntherodt H J 1984 J. Non-Cryst. Solids 61–62 1091
Google Scholar
[2] Warlimont H 1988 Mater. Sci. Eng. 99 1
Google Scholar
[3] Li H X, Lu Z C, Wang S L, Wu Y, Lu Z P 2019 Prog. Mater. Sci. 103 235
Google Scholar
[4] Hofmann D C, Polit-Casillas R, Roberts S N, et al. 2016 Sci. Rep. 6 37773
Google Scholar
[5] Telford M 2004 Mater. Today 7 36
Google Scholar
[6] Wang G H, He A N, Dong Y Q, Li J W 2023 J. Mater. Sci. : Mater. Electron. 34 545
Google Scholar
[7] Wang R B, Jia J L, Wu Y, Guo W H, Chen N, Shao Y, Yao K F 2024 Sci. China-Phys. Mech. Astron. 67 116111
Google Scholar
[8] 胡丽娜, 王铮 2024 液态金属及遗传性 (北京: 化学工业出版社) 第16页
Hu L N, Wang Z 2024 Liquid Metal and Heritability (Beijing: Chemical Industry Press) p16
[9] Miller C C 1924 Proc. R. Soc. A 106 724
Google Scholar
[10] Angell C A 1995 Science 267 1924
Google Scholar
[11] Busch R, Schroers J, Wang W H 2007 MRS Bull. 32 620
Google Scholar
[12] Johnson W L 1999 MRS Bull. 24 42
Google Scholar
[13] Shadowspeaker L, Busch R 2004 Appl. Phys. Lett. 85 2508
Google Scholar
[14] Mukherjee S, Schroers J, Johnson W L, Rhim W K 2005 Phys. Rev. Lett. 94 245501
Google Scholar
[15] Ito K, Moynihan C T, Angell C A 1999 Nature 398 492
Google Scholar
[16] Zhang C Z, Hu L N, Yue Y Z, Mauro J C 2010 J. Chem. Phys. 133 014508
Google Scholar
[17] Zhang C Z, Hu L N, Bian X F, Yue Y Z 2010 Chin. Phys. Lett. 27 116401
Google Scholar
[18] Zhou C, Hu L N, Sun Q J, Zheng H J, Zhang C Z, Yue Y Z 2015 J. Chem. Phys. 142 064508
Google Scholar
[19] Zhai X T, Li X, Wang Z, Hu L N, Song K K, Tian Z A, Yue Y Z 2022 Acta Mater. 239 118246
Google Scholar
[20] Zhai X T, Chu W, Bai Y W, Zhao S, Dong B S, Liu Y H, Hu L N 2024 Scripta Mater. 243 115982
Google Scholar
[21] Jagla E A 1999 J. Phys. : Condens. Matter 11 10251
Google Scholar
[22] Hajime T 2003 J. Phys. : Condens. Matter 15 L703
Google Scholar
[23] Wang T, Hu L N, Liu Y H, Hui X D 2019 Mater. Sci. Eng: A 744 316
Google Scholar
[24] Hu L N, Zhou C, Zhang C Z, Yue Y Z 2013 J. Chem. Phys. 138 174508
Google Scholar
[25] Yang X N, Zhou C, Sun Q J, Hu L N, Mauro J C, Wang C Z, Yue Y Z 2014 J. Phys. Chem. B 118 10258
Google Scholar
[26] Wu Y C, Yan L, Liu J F, et al. 2024 Mater. Today Commun. 40 109440
Google Scholar
[27] Chen X P, Zheng Z G, Chen Y B, Qiu Z G, Zeng D C 2025 Physica B 713 417362
Google Scholar
[28] Sun Q Y, Zhang K, Zhang S, Chen C, Wei R, Cai Y F, Wu S J, Li F S, Wang T 2024 Intermetallics 182 108781
Google Scholar
[29] Huang H Y, Shao G S, Tsakiropoulos P 2008 J. Alloys Compd. 459 185
Google Scholar
[30] Bai Y W, Hu L N, Qin J Y, Wang Z, Song K K 2021 J. Non-Cryst. Solids 572 121119
Google Scholar
[31] Fulcher G S 1925 J. Am. Ceram. Soc. 8 339
Google Scholar
[32] Tammann G, Hesse W 1926 Z. Anorg. Allg. Chem. 156 245
Google Scholar
[33] Avramov I, Milchev A 1988 J. Non-Cryst. Solids 104 253
Google Scholar
[34] Vogel H 1921 Physikalische Zeitschrift 22 645
[35] Mauro J C, Yue Y Z, Ellison A J, Gupta P K, Allan D C 2009 Proc. Natl. Acad. Sci. 106 19780
Google Scholar
[36] Zheng Q J, Mauro J C, Ellison A J, Potuzak M, Yue Y Z 2011 Phys. Rev. B 83 212202
Google Scholar
[37] Komatsu T 1995 J. Non-Cryst. Solids 185 199
Google Scholar
[38] Hodge I M 1996 J. Non-Cryst. Solids 202 164
Google Scholar
[39] Kissinger H E 1956 J. Res. Natl. Bur. Stand. 57 217
Google Scholar
[40] Busch R, Gallino I 2017 JOM 69 2178
Google Scholar
[41] 赵茜 2018 硕士学位论文(济南: 山东大学)
Zhao Q 2018 M. S. Thesis (Ji’nan: Shandong University
[42] 周超 2015 硕士学位论文(济南: 山东大学)
Zhou C 2015 M. S. Thesis (Ji’nan: Shandong University
[43] Yang M, Liu X J, Wu Y, Wang H, Wang X Z, Lu Z P 2018 Mater. Res. Lett. 6 495
Google Scholar
[44] Takeuchi A, Inoue A 2000 Mater. Trans. JIM 41 1372
Google Scholar
[45] de Boer F R, Mattens W C M, Boom R, Miedema A, Niessen A 1988 Cohesion in Metals (Amsterdam: Elsevier Press
[46] Smithells C J 2013 Metals Reference Book (Amsterdam: Elsevier Press
[47] Hyun N J, Demetriou M D, Johnson W L 2011 Appl. Phys. Lett. 99 161902
Google Scholar
[48] Blázquez J S, Roth S, Conde A 2005 J. Magn. Magn. Mater. 290–291 1589
[49] Zhao Y B, Bai Y W, Ding Y J, Hu L N 2020 J. Non-Cryst. Solids 537 120020
Google Scholar
-
图 1 (Fe0.84Zr0.09B0.07)100–xMx (x = 0, 3; M = Nb, Ti, Al)金属玻璃条带的(a) XRD曲线和(b) HRTEM图像, 插图为相应的选区电子衍射图像
Fig. 1. (a) X-ray diffraction patterns and (b) HRTEM images of (Fe0.84Zr0.09B0.07)100–xMx (x = 0, 3; M = Nb, Ti, Al) metallic glass ribbons, the inset of panel (b) is the corresponding selected area electron diffraction images.
图 6 (a) Fe-Zr-B-M强脆转变系数f与晶化激活能E的关系; (b) CuZr合金玻璃形成的临界厚度Dmax、强脆转变系数f随Cu含量的变化[19]
Fig. 6. (a) Correlation between the activation energy of crystallization (E) and the fragile-to-strong trasition parameter (f) of Fe-Zr-B-M; (b) the critical sample thickness (Dmax) for glass formation, the fragile-to-strong trasition parameter (f) versus the fraction of Cu in CuZr alloy series.
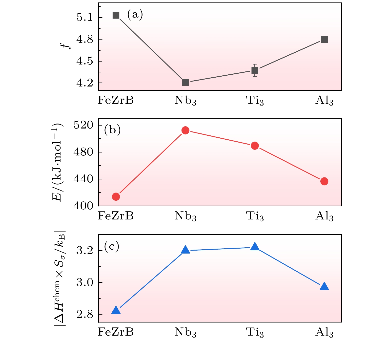
图 7 Fe-Zr-B-M体系的(a)强脆转变系数f, (b)晶化激活能E及(c)$ |\Delta {{H}}^{\text{chem}}\times {{S}}_{\sigma}/{{k}}_{\text{B}}| $
Fig. 7. (a) The fragile-to-strong trasition parameter (f), (b) the activation energy of crystallization (E) , and (c) $ {|\Delta }{{H}}^{\text{chem}}\times{{S}}_{\sigma}/{{k}}_{\text{B}}\text{|} $ of Fe-Zr-B-M system.
图 8 (a) 正方形的划分方法; (b)—(e) Fe84Zr9B7, (Fe0.84Zr0.09B0.07)97Nb3, (Fe0.84Zr0.09B0.07)97Ti3及(Fe0.84Zr0.09B0.07)97Al3自相关分析图像
Fig. 8. (a) Method of dividing the HRTEM images into cells; (b)–(e) autocorrelation images of Fe84Zr9B7, (Fe0.84Zr0.09B0.07)97Nb3, (Fe0.84Zr0.09B0.07)97Ti3 and (Fe0.84Zr0.09B0.07)97Al3.
图 9 Fe-Zr-B-M体系在冷却过程中的团簇演变示意图, 蓝色圆点和红色圆点分别代表类晶团簇和二十面体团簇, 灰色圆点代表自由原子或者其他局域结构
Fig. 9. Schematic diagram of clusters evolution of Fe-Zr-B-M during the cooling process, the blue and red dots represent the crystal-like and the icosahedra clusters in the liquid, respectively, while the gray dots represent the free atoms or other local structural configurations.
表 1 (Fe0.84Zr0.09B0.07)100–xMx (x = 0, 3; M = Nb, Ti, Al)合金的高温脆性系数m′和过冷液体脆性系数m
Table 1. Fragility index for high temperature (m′) liquid and supercooled liquid (m) of (Fe0.84Zr0.09B0.07)100–xMx (x = 0, 3; M = Nb, Ti, Al).
成分 高温脆性m' E/(kJ·mol–1) R2 过冷液体脆性系数m Fe84Zr9B7 129.3 413.8 0.976 25.2 (Fe0.84Zr0.09B0.07)97Nb3 127.6 512.3 0.962 30.3 (Fe0.84Zr0.09B0.07)97Ti3 — 489.5 0.976 29.1 (Fe0.84Zr0.09B0.07)97Al3 126.7 436.6 0.90 26.4 表 2 (Fe0.84Zr0.09B0.07)100-xMx (x = 0, 3; M = Nb, Ti, Al)金属玻璃条带在不同升温速率(10—40 K/min)下的初始晶化温度Tx
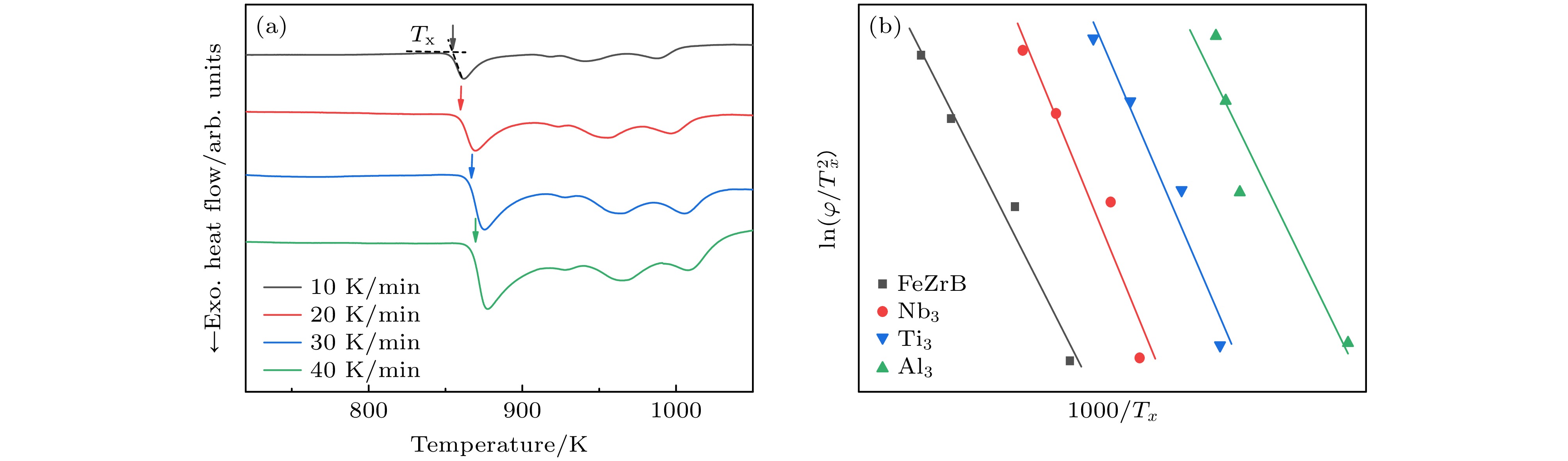
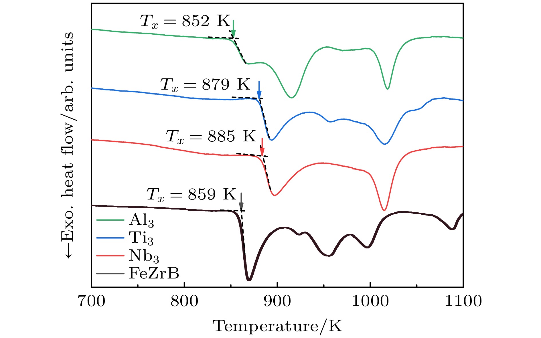
Table 2. Initial crystallization temperatures Tx of (Fe0.84Zr0.09B0.07)100-xMx (x = 0, 3; M = Nb, Ti, Al) metallic glass ribbons at different heating rate (10–40 K/min).
成分 升温速率/ (K·min–1) 初始晶化温度Tx /K 升温速率/ (K·min–1) 初始晶化温度Tx/K Fe84Zr9B7 10 854.5 20 859.3 30 866.1 40 868.4 (Fe0.84Zr0.09B0.07)97Nb3 10 879.8 20 885.2 30 893.1 40 897.1 (Fe0.84Zr0.09B0.07)Ti973 10 875.0 20 881.7 30 886.5 40 889.2 (Fe0.84Zr0.09B0.07)97Al3 10 840.7 20 846.1 30 852.3 40 854.3 表 3 (Fe0.84Zr0.09B0.07)100–xMx (x = 0, 3; M = Nb, Ti, Al)的强脆转变系数f, 晶化激活能E, 混合焓$ {\Delta }{{H}}^{\text{chem}} $, 错配熵$ {{S}}_{\sigma}/{{k}}_{\text{B}} $, 混合焓和错配熵乘积的绝对值$ {|\Delta }{{H}}^{\text{chem}}\times{{S}}_{\sigma}/{{k}}_{\text{B}}\text{|} $
Table 3. The fragile-to-strong trasition parameter (f), the activation energy of crystallization (E), mixing enthalpy (∆Hchem), mismatch entropy (${{S}}_{\sigma}/{{k}}_{\text{B}} $) and their absolute multiplication of (Fe0.84Zr0.09B0.07)100–xMx (x = 0, 3; M = Nb, Ti, Al).
成分 强脆转变系数f 晶化激活能E 混合焓$ {\Delta }{{H}}^{\text{chem}} $/(kJ·mol–1) 错配熵$ {{S}}_{\sigma}/{{k}}_{\text{B}} $ $ {|\Delta }{{H}}^{\text{chem}}\times{{S}}_{\sigma}/{{k}}_{\text{B}}\text{|} $ Fe84Zr9B7 5.13 413.8 –12.9 0.219 2.82 (Fe0.84Zr0.09B0.07)97Nb3 4.21 512.3 –14.1 0.227 3.20 (Fe0.84Zr0.09B0.07)97Ti3 4.29—4.46 489.5 –14.2 0.227 3.22 (Fe0.84Zr0.09B0.07)97Al3 4.80 436.6 –13.6 0.219 2.97 -
[1] Tschumi A, Laubscher T, Jeker R, Schüpfer E, Künzi H U, Güntherodt H J 1984 J. Non-Cryst. Solids 61–62 1091
Google Scholar
[2] Warlimont H 1988 Mater. Sci. Eng. 99 1
Google Scholar
[3] Li H X, Lu Z C, Wang S L, Wu Y, Lu Z P 2019 Prog. Mater. Sci. 103 235
Google Scholar
[4] Hofmann D C, Polit-Casillas R, Roberts S N, et al. 2016 Sci. Rep. 6 37773
Google Scholar
[5] Telford M 2004 Mater. Today 7 36
Google Scholar
[6] Wang G H, He A N, Dong Y Q, Li J W 2023 J. Mater. Sci. : Mater. Electron. 34 545
Google Scholar
[7] Wang R B, Jia J L, Wu Y, Guo W H, Chen N, Shao Y, Yao K F 2024 Sci. China-Phys. Mech. Astron. 67 116111
Google Scholar
[8] 胡丽娜, 王铮 2024 液态金属及遗传性 (北京: 化学工业出版社) 第16页
Hu L N, Wang Z 2024 Liquid Metal and Heritability (Beijing: Chemical Industry Press) p16
[9] Miller C C 1924 Proc. R. Soc. A 106 724
Google Scholar
[10] Angell C A 1995 Science 267 1924
Google Scholar
[11] Busch R, Schroers J, Wang W H 2007 MRS Bull. 32 620
Google Scholar
[12] Johnson W L 1999 MRS Bull. 24 42
Google Scholar
[13] Shadowspeaker L, Busch R 2004 Appl. Phys. Lett. 85 2508
Google Scholar
[14] Mukherjee S, Schroers J, Johnson W L, Rhim W K 2005 Phys. Rev. Lett. 94 245501
Google Scholar
[15] Ito K, Moynihan C T, Angell C A 1999 Nature 398 492
Google Scholar
[16] Zhang C Z, Hu L N, Yue Y Z, Mauro J C 2010 J. Chem. Phys. 133 014508
Google Scholar
[17] Zhang C Z, Hu L N, Bian X F, Yue Y Z 2010 Chin. Phys. Lett. 27 116401
Google Scholar
[18] Zhou C, Hu L N, Sun Q J, Zheng H J, Zhang C Z, Yue Y Z 2015 J. Chem. Phys. 142 064508
Google Scholar
[19] Zhai X T, Li X, Wang Z, Hu L N, Song K K, Tian Z A, Yue Y Z 2022 Acta Mater. 239 118246
Google Scholar
[20] Zhai X T, Chu W, Bai Y W, Zhao S, Dong B S, Liu Y H, Hu L N 2024 Scripta Mater. 243 115982
Google Scholar
[21] Jagla E A 1999 J. Phys. : Condens. Matter 11 10251
Google Scholar
[22] Hajime T 2003 J. Phys. : Condens. Matter 15 L703
Google Scholar
[23] Wang T, Hu L N, Liu Y H, Hui X D 2019 Mater. Sci. Eng: A 744 316
Google Scholar
[24] Hu L N, Zhou C, Zhang C Z, Yue Y Z 2013 J. Chem. Phys. 138 174508
Google Scholar
[25] Yang X N, Zhou C, Sun Q J, Hu L N, Mauro J C, Wang C Z, Yue Y Z 2014 J. Phys. Chem. B 118 10258
Google Scholar
[26] Wu Y C, Yan L, Liu J F, et al. 2024 Mater. Today Commun. 40 109440
Google Scholar
[27] Chen X P, Zheng Z G, Chen Y B, Qiu Z G, Zeng D C 2025 Physica B 713 417362
Google Scholar
[28] Sun Q Y, Zhang K, Zhang S, Chen C, Wei R, Cai Y F, Wu S J, Li F S, Wang T 2024 Intermetallics 182 108781
Google Scholar
[29] Huang H Y, Shao G S, Tsakiropoulos P 2008 J. Alloys Compd. 459 185
Google Scholar
[30] Bai Y W, Hu L N, Qin J Y, Wang Z, Song K K 2021 J. Non-Cryst. Solids 572 121119
Google Scholar
[31] Fulcher G S 1925 J. Am. Ceram. Soc. 8 339
Google Scholar
[32] Tammann G, Hesse W 1926 Z. Anorg. Allg. Chem. 156 245
Google Scholar
[33] Avramov I, Milchev A 1988 J. Non-Cryst. Solids 104 253
Google Scholar
[34] Vogel H 1921 Physikalische Zeitschrift 22 645
[35] Mauro J C, Yue Y Z, Ellison A J, Gupta P K, Allan D C 2009 Proc. Natl. Acad. Sci. 106 19780
Google Scholar
[36] Zheng Q J, Mauro J C, Ellison A J, Potuzak M, Yue Y Z 2011 Phys. Rev. B 83 212202
Google Scholar
[37] Komatsu T 1995 J. Non-Cryst. Solids 185 199
Google Scholar
[38] Hodge I M 1996 J. Non-Cryst. Solids 202 164
Google Scholar
[39] Kissinger H E 1956 J. Res. Natl. Bur. Stand. 57 217
Google Scholar
[40] Busch R, Gallino I 2017 JOM 69 2178
Google Scholar
[41] 赵茜 2018 硕士学位论文(济南: 山东大学)
Zhao Q 2018 M. S. Thesis (Ji’nan: Shandong University
[42] 周超 2015 硕士学位论文(济南: 山东大学)
Zhou C 2015 M. S. Thesis (Ji’nan: Shandong University
[43] Yang M, Liu X J, Wu Y, Wang H, Wang X Z, Lu Z P 2018 Mater. Res. Lett. 6 495
Google Scholar
[44] Takeuchi A, Inoue A 2000 Mater. Trans. JIM 41 1372
Google Scholar
[45] de Boer F R, Mattens W C M, Boom R, Miedema A, Niessen A 1988 Cohesion in Metals (Amsterdam: Elsevier Press
[46] Smithells C J 2013 Metals Reference Book (Amsterdam: Elsevier Press
[47] Hyun N J, Demetriou M D, Johnson W L 2011 Appl. Phys. Lett. 99 161902
Google Scholar
[48] Blázquez J S, Roth S, Conde A 2005 J. Magn. Magn. Mater. 290–291 1589
[49] Zhao Y B, Bai Y W, Ding Y J, Hu L N 2020 J. Non-Cryst. Solids 537 120020
Google Scholar
计量
- 文章访问数: 1947
- PDF下载量: 80
- 被引次数: 0








下载: