-
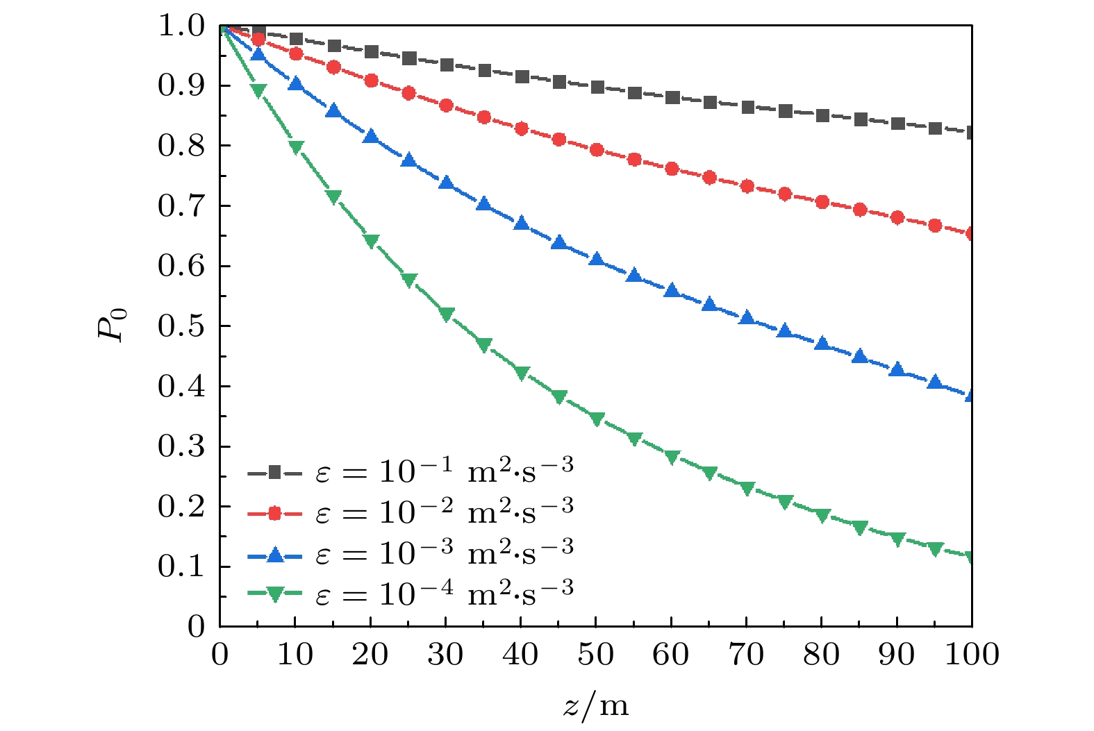
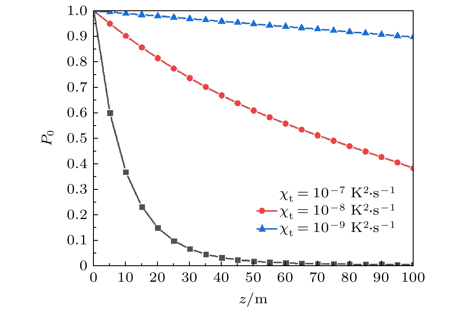
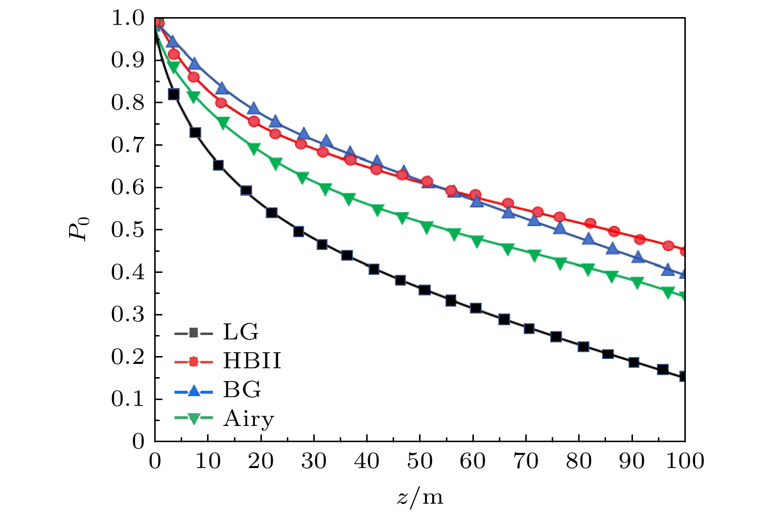
This paper studies the method of improving the transmission characteristics of underwater optical communication system based on orbital angular momentum (OAM) by using Humbert beams of type-II (HB-II). Based on the Rytov principle, an analytical expression for the spiral phase spectrum of HB-II beam after passing through the oceanic turbulence is derived, and the influence of different oceanic turbulence and beam parameters on the detection probability of HB-II beams is compared and analyzed. The results show that the detection probability of OAM mode of HB-II beam in ocean turbulence decreases with the increase of propagation distance, topological charge and kinetic energy dissipation rate. The anti-interference ability of the beam in ocean turbulence increases with the decrease of waist width, mean square temperature dissipation rate, and temperature salinity contribution rate. For HB-II beam, the fluctuation of detection probability can be relatively smooth when transmitted at different distances, and the detection probability performance is better than those for Airy beam and Laguerre Gaussian beam. The results can provide theoretical reference for designing the underwater optical communication systems based on HB-II beams.
-
Keywords:
- Humbert beams of type II /
- orbital angular momentum /
- oceanic turbulence /
- orbital angular momentum spectra
[1] Shen C, Guo Y J, Oubei H M 2016 Opt. Express 24 25502
Google Scholar
[2] 杨莫愁, 吴仪, 冯国英 2022 光学学报 42 1701003
Google Scholar
Yang M C, Wu Y, Feng G Y 2022 Acta Opt. Sin. 42 1701003
Google Scholar
[3] 赵太飞, 王晶, 张杰 2018 光学学报 38 1206002
Google Scholar
Zhao T F, Wang J, Zhang J 2018 Acta Opt. Sin. 38 1206002
Google Scholar
[4] Chen Y H, Duan Z Y, Zheng F Z 2022 Appl. Opt. 61 7059
Google Scholar
[5] 李爽, 王平, 刘涛, 潘宇婷, 王炜 2022 通信学报 43 14
Google Scholar
Li S, Wang P, Liu T, Pan Y T, Wang W 2022 J. Commun. 43 14
Google Scholar
[6] 王明军, 张妍 2024 中国激光 51 0806001
Google Scholar
Wang M J, Zhang Y 2024 Chin. J. Lasers 51 0806001
Google Scholar
[7] Wang X G, Wang L, Zhao S M 2021 J. Mar. Sci. Eng. 9 442
Google Scholar
[8] 郭焱, 吕恒, 丁春玲, 袁晨智, 金锐博 2025 74 014203
Google Scholar
Guo Y, Lü H, Ding C L, Yuan C Z, Jin R B 2025 Acta Phys. Sin. 74 014203
Google Scholar
[9] Baghdady J, Miller K, Morgan K, Byrd M, Osler S, Ragusa R, Li W, Cochenour B M, Johnson E G 2016 Opt. Express 24 9794
Google Scholar
[10] Yang H B, Yan Q Z, Wang P 2022 Opt. Express 30 9053
Google Scholar
[11] 王明军, 余文辉, 黄朝军 2023 光学学报 43 0626001
Google Scholar
Wang M J, Yu W H, Huang C J 2023 Acta Opt. Sin. 43 0626001
Google Scholar
[12] 韦育, 于永河, 黑小兵 2022 激光与光电子学进展 59 1301001
Google Scholar
Wei Y, Yu Y H, Hei X B 2022 Laser Optoelectron. Prog. 59 1301001
Google Scholar
[13] Li Y, Yu L, Zhang Y X 2017 Opt. Express 25 12203
Google Scholar
[14] 杜星, 丁桂璇, 杜浩, 王生, 冯慧 2023 光学学报 43 2401003
Google Scholar
Du X, Ding G X, Du H, Wang S, Feng H 2023 Acta Opt. Sin. 43 2401003
Google Scholar
[15] Wang S L, Yang D H, Zhu Y, Zhang Y X 2021 Opt. Express 14 53
[16] Liang Q Y, Zhang Y X, Yang D Y 2020 J. Mar. Sci. Eng. 8 458
Google Scholar
[17] Zhu Y, Zhang Y X, Hu Z D 2016 Opt. Express 21 10
[18] Ring J D, Lindberg J, Mourka A 2012 Opt. Express 20 18955
Google Scholar
[19] 张荣香, 代华德, 刘涛, 王唯钰, 周允城, 毕慧聪 2025 11 114207
Google Scholar
Zhang R X, Dai H D, Liu T, Wang W Y, Zhou Y C, Bi H C 2025 Acta Phys. Sin. 11 114207
Google Scholar
[20] Nossir N, Dalil-Essakali L, Belafhal A 2024 Opt. Quantum Electron. 56 189
Google Scholar
[21] Nossir N, Dalil-Essakali L, Belafhal A 2021 Opt. Quantum Electron. 53 94
Google Scholar
[22] Belafhal A, Saad F 2017 Opt. Express 15 516
[23] Lopez-Mago D, Bandres M A, Gutiérrez-Vega J C 2009 Opt. Express 35 743013
[24] Belafhal A, Nebdi H 2014 Opt. Quantum Electron. 25 201
[25] Chib S, Khannous F, Belafhal A 2023 Opt. Quantum Electron. 55 936
Google Scholar
[26] Nossir N, Dalil-Essakali L, Belafhal A 2023 Opt. Quantum Electron. 55 876
Google Scholar
[27] Eyyuboğlu H T, Cai Y, Belafhal A 2012 Opt. Quantum Electron. 21 4194
-
-
[1] Shen C, Guo Y J, Oubei H M 2016 Opt. Express 24 25502
Google Scholar
[2] 杨莫愁, 吴仪, 冯国英 2022 光学学报 42 1701003
Google Scholar
Yang M C, Wu Y, Feng G Y 2022 Acta Opt. Sin. 42 1701003
Google Scholar
[3] 赵太飞, 王晶, 张杰 2018 光学学报 38 1206002
Google Scholar
Zhao T F, Wang J, Zhang J 2018 Acta Opt. Sin. 38 1206002
Google Scholar
[4] Chen Y H, Duan Z Y, Zheng F Z 2022 Appl. Opt. 61 7059
Google Scholar
[5] 李爽, 王平, 刘涛, 潘宇婷, 王炜 2022 通信学报 43 14
Google Scholar
Li S, Wang P, Liu T, Pan Y T, Wang W 2022 J. Commun. 43 14
Google Scholar
[6] 王明军, 张妍 2024 中国激光 51 0806001
Google Scholar
Wang M J, Zhang Y 2024 Chin. J. Lasers 51 0806001
Google Scholar
[7] Wang X G, Wang L, Zhao S M 2021 J. Mar. Sci. Eng. 9 442
Google Scholar
[8] 郭焱, 吕恒, 丁春玲, 袁晨智, 金锐博 2025 74 014203
Google Scholar
Guo Y, Lü H, Ding C L, Yuan C Z, Jin R B 2025 Acta Phys. Sin. 74 014203
Google Scholar
[9] Baghdady J, Miller K, Morgan K, Byrd M, Osler S, Ragusa R, Li W, Cochenour B M, Johnson E G 2016 Opt. Express 24 9794
Google Scholar
[10] Yang H B, Yan Q Z, Wang P 2022 Opt. Express 30 9053
Google Scholar
[11] 王明军, 余文辉, 黄朝军 2023 光学学报 43 0626001
Google Scholar
Wang M J, Yu W H, Huang C J 2023 Acta Opt. Sin. 43 0626001
Google Scholar
[12] 韦育, 于永河, 黑小兵 2022 激光与光电子学进展 59 1301001
Google Scholar
Wei Y, Yu Y H, Hei X B 2022 Laser Optoelectron. Prog. 59 1301001
Google Scholar
[13] Li Y, Yu L, Zhang Y X 2017 Opt. Express 25 12203
Google Scholar
[14] 杜星, 丁桂璇, 杜浩, 王生, 冯慧 2023 光学学报 43 2401003
Google Scholar
Du X, Ding G X, Du H, Wang S, Feng H 2023 Acta Opt. Sin. 43 2401003
Google Scholar
[15] Wang S L, Yang D H, Zhu Y, Zhang Y X 2021 Opt. Express 14 53
[16] Liang Q Y, Zhang Y X, Yang D Y 2020 J. Mar. Sci. Eng. 8 458
Google Scholar
[17] Zhu Y, Zhang Y X, Hu Z D 2016 Opt. Express 21 10
[18] Ring J D, Lindberg J, Mourka A 2012 Opt. Express 20 18955
Google Scholar
[19] 张荣香, 代华德, 刘涛, 王唯钰, 周允城, 毕慧聪 2025 11 114207
Google Scholar
Zhang R X, Dai H D, Liu T, Wang W Y, Zhou Y C, Bi H C 2025 Acta Phys. Sin. 11 114207
Google Scholar
[20] Nossir N, Dalil-Essakali L, Belafhal A 2024 Opt. Quantum Electron. 56 189
Google Scholar
[21] Nossir N, Dalil-Essakali L, Belafhal A 2021 Opt. Quantum Electron. 53 94
Google Scholar
[22] Belafhal A, Saad F 2017 Opt. Express 15 516
[23] Lopez-Mago D, Bandres M A, Gutiérrez-Vega J C 2009 Opt. Express 35 743013
[24] Belafhal A, Nebdi H 2014 Opt. Quantum Electron. 25 201
[25] Chib S, Khannous F, Belafhal A 2023 Opt. Quantum Electron. 55 936
Google Scholar
[26] Nossir N, Dalil-Essakali L, Belafhal A 2023 Opt. Quantum Electron. 55 876
Google Scholar
[27] Eyyuboğlu H T, Cai Y, Belafhal A 2012 Opt. Quantum Electron. 21 4194
Catalog
Metrics
- Abstract views: 918
- PDF Downloads: 23
- Cited By: 0









DownLoad: