-
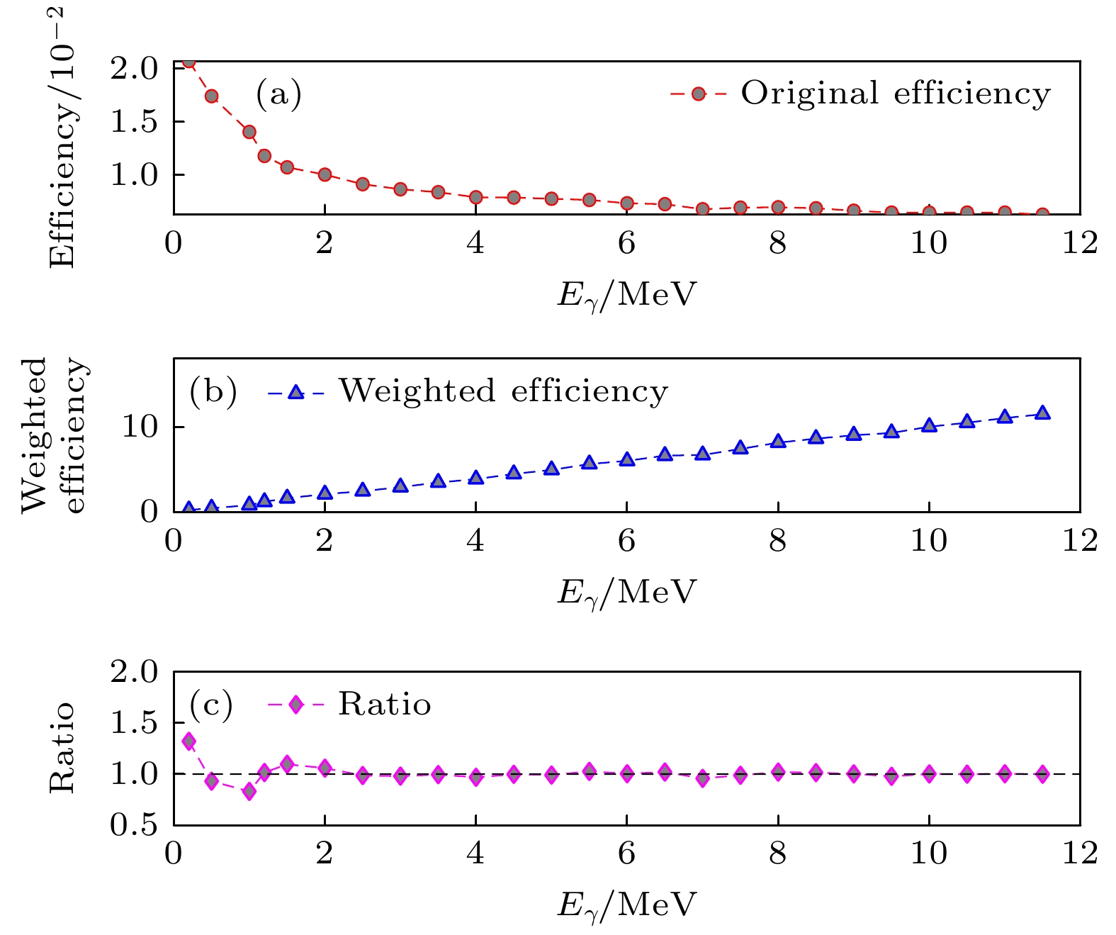
109Ag位于慢速中子俘获过程路径上,且79%由快速中子俘获过程产生。同时,银铟镉(Ag-In-Cd)控制棒中109Ag的质量比为38.56%,109Ag的中子俘获反应截面数据在核能和核天体物理学应用中非常重要。本工作利用中国散裂中子源的白光中子源开展了109Ag同位素靶的中子俘获截面实验,结合中子飞行时间法和脉冲高度权重技术等方法获得了1-500 eV能区的109Ag中子俘获截面。使用基于R矩阵理论的SAMMY程序提取了109Ag的共振能量、中子共振宽度和辐射共振宽度参数,实验所提取的中子共振参数值在139.4 eV处符合JENDL-4.0库收录的结果,在169.9 eV处和328.1 eV处符合JEFF-4.0库收录的结果,在259.3 eV处符合CENDL-3.2库收录的结果。本文数据集可在https://www.doi.org/10.57760/sciencedb.j00213.00197中访问获取(私有访问链接https://www.scidb.cn/s/RNfUnq)。109Ag located on the path of the slow neutron capture process, and 79% of 109Ag is generated via the rapid neutron capture process.Meanwhile, the mass fraction of 109Ag in Ag-In-Cd control rods is 38.56%. Therefore, the neutron capture cross-section of 109Ag is crucial for both nuclear energy and nuclear astrophysics applications.In this work, a neutron capture cross-section measurement was performed using a 109Ag isotope target at the Back-n white neutron facility of the CSNS. Neutron capture cross-section in the 1-500 eV energy region were obtained by combining the time-of-flight method and the pulse-height weighting technique. The 109Ag resonance energy, neutron resonance width, and gamma resonance width parameters were extracted using the SAMMY code, which is based on R-matrix theory. The neutron resonance parameters extracted from this study at 139.4 eV are in agreement with the values in the JENDL-4.0 evaluation, while those at 169.9 eV and 328.1 eV agree with the JEFF-4.0 evaluation. Additionally, the result at 259.3 eV is consistent with the CENDL-3.2 evaluation.The datasets presented in this paper are openly available at https://www.doi.org/10.57760/sciencedb.j00213.00197 (Please use the private access link https://www.scidb.cn/s/RNfUnq to access the dataset during the peer review process)
-
[1] Battino U, Pignatari M, Tattersall A, Denissenkov P, Herwig F 2022 Universe 8 170
[2] Käppeler F, Gallino R, Bisterzo S, Aoki W 2011 Rev. Mod. Phys. 83 157
[3] Thielemann F K, Arcones A, Käppeli R, Liebendörfer M, Rauscher T, Winteler C, Fröhlich C, Dillmann I, Fischer T, Martinez-Pinedo G, Langanke K, Farouqi K, Kratz K-L, Panov I, Korneev I K2011 Prog. Part. Nucl. Phys. 66 346
[4] Arnould M, Katsuma M 2007 International Conference on Nuclear Data for Science and Technology 2007 p5
[5] Arlandini C, Käppeler F, Wisshak K,Gallino R, Lugaro M, Busso M, Straniero O 1999 Astron. J. 525 886
[6] Lin M, Cheng M S, Dai Z M 2020 Nucl. Sci. Tech. 31 33
[7] Qayyum F, Ali M R, Zahur A,Khan R 2019 Nucl. Sci. Tech. 30 63
[8] Ge Z G, Xu R R, Wu H C, Zhang Y, Chen G C, Jin Y L, Shu N C, Chen Y J, Tao X, Tian Y, Liu P, Qian J, Wang J M, Zhang H Y, Liu L L, Huang X L 2020 EPJ Web of Conferences 09001
[9] Brown D A, Chadwick M B, Capote R, Kahler A C, Trkov A, Herman M W, Sonzogni A A, Danon Y, Carlson A D, Dunn M, Smith D L, Hale G M, Arbanas G, Arcilla R, Bates C R, Beck B, Becker B, Brown F, Casperson R J, Conlin J, Cullen D E, Descalle M - A, Firestone R, Gaines T, Guber K H, Hawari A I, Holmes J, Johnson T D, Kawano T, Kiedrowski B C, Koning A J, Kopecky S, Leal L, Lestone J P, Lubitz C, Márquez Damián J I, Mattoon C M, McCutchan E A, Mughabghab S, Navratil P, Neudecker D, Nobre G P A, Noguere M, Paris M, Pigni M T, Plompen A J, Pritychenko B, Pronyaev V G, Roubtsov D, Rochman P, Romano P, Schillebeeckx P, Simakov S, Sin M, Sirakov I, Sleaford B, Sobes V, Soukhovitskii E S, Stetcu I, Talou P, Thompson I, van der Marck S, Welser - Sherrill L, Wiarda D, White M, Wormald J L, Wright R Q, Zerkle M, Žerovnik G, Zhu Y 2018 Nucl. Data Sheets. 148 1
[10] Shibata K, Iwamoto O, Nakagawa T, Iwamoto N, Ichihara A, Kunieda S, Kunieda S, Chiba S, Furutaka K, Otuka N, Ohsawa T, Murata T, Matsunobu H, Zukeran A, Kamada S, Katakura J I2011 Nucl. Sci. Technol. 48 1
[11] Hursin M, Xia F, Rochman D 2025 Nucl. Sci. Eng. 199 1987
[12] Blokhin A I, Gai E V, Ignatyuk A V, Koba I I, Manokhin V N, Pronyaev V G, 2016 Yad. Reak. Kon. 2 62
[13] Otuka N, Dupont E, Semkova V, Pritchenko B, Blokhin A I, Aikawa M, Babykina S, Bossant M, Chen G, Dunaeva S, Forrest R A, Fukahori T, Furutachi N, Ganesan S, Ge Z, Gritzay O O, Herman M, Hlavač S, Katō K, Lalremruata B, Lee Y O, Makinaga A, Matsumoto K, Mikhaylyukova M, Pikulina G, Pronyaev V G, Saxena A, Schwerer O, Simakov S P, Soppera N, Suzuki R, Takács S, Tao X, Taova S, Tárkányi F, Varlamov V V, Wang J, Yang S C, Zerkin V, Zhuang Y 2014 Nucl. Data Sheets. 120 272
[14] Šalamon L, Geslot B, Heyse J, Kopecky S, Leconte P, Noguere G, Paradela C, Schillebeeckx P, Snoj L 2019 Nucl. Instrum. Methods Phys. Res. B 446 19
[15] Li X X, Liu L X, Jiang W, Ren J, Wang H W, Fan G T, Wang D X, Zhang S Y L T, Yang G L, Li K X, An Z D, He X J, Luo S X, Cao G L, Song L, Zhang Y, Hu X R, Hao Z R, Kuang P, Jiang B, Wang X H, Hu J F, Liu Y D, Ma C W, Wang Y T, Su J, Zhang H N, Feng C W, Liu W B, Su W Q, Jin S, Chen K J 2022 Chin. Phys. B 31 038204
[16] Chen H, Wang X L 2016 Nat. Mater. 15 689
[17] Tang J Y, An Q, Bai J B, Bao J, Bao Y, Cao P, Chen H L, Chen Q P, Chen Y H, Chen Z, Cui Z Q, Fan R R, Feng C Q, Gao K Q, Gao X L, Gu M H, Han C C, Han Z J, He G Z, He Y C, Hong Y, Hu Y W, Huang H X, Huang X R, Jiang H Y, Jiang W, Jiang Z J, Jing H T, Kang L, Li B, Li C, Li J W, Li Q, Li X, Li Y, Liu J, Liu R, Liu S B, Liu X Y, Long Z, Luan G Y, Ning C J, Niu M C, Qi B B, Ren J, Ren Z Z, Ruan X C, Song Z H, Sun K, Sun Z J, Tan Z X, Tang X Y, Tian B B, Wang L J, Wang P C, Wang Z H, Wen Z W, Wu X G, Wu X, Xie L K, Yang X Y, Yang Y W, Yi H, Yu L, Yu T, Yu Y J, Zhang G H, Zhang L H, Zhang Q W, Zhang X P, Zhang Y L, Zhang Z Y, Zhou L P, Zhou Z H, Zhu K J 2021 Nucl. Sci. Tech. 32 11
[18] Larson N M 2008 Oak Ridge National Laboratory Technical Report No. ORNL/TM-9179/R8
[19] Zhang L Y, Jing H T, Tang J Y, Wang X Q 2016 Rad. Phys. Chem. 127 133
[20] Wang D X, Zhang S Y L T, Jiang W, Ren J,Wang J C,Tang J Y, Ruan X C, Wang H W, Chen Z Q, Huang M R, Tang X, Hu X R, Li X X, Liu L X, Liu B Y, Sun H, Zhang Y, Hao Z R, Song N, Li X, Niu D D, Li G, Meng G F 2022 Acta. Phys. Sin. 71 072901(in Chinese) [王德鑫, 张苏雅拉吐, 蒋伟, 任杰, 王金成, 唐靖宇, 阮锡超, 王宏伟, 陈志强, 黄美容, 唐鑫, 胡新荣, 李鑫祥, 刘龙祥, 刘丙岩, 孙慧, 张岳, 郝子锐, 宋娜, 李雪, 牛丹丹, 利国, 蒙古夫 2022 71 072901]
[21] Li X X, Liu L X, Jiang W, Chen Y J, Ren J, Wang H W, Fan G T, Luo W, Feng S, Xie W, Lin Z A, Jiang T, Yang G L, An Z D, Li X K, Liao Z J, Xue J M, Li X Y, Peng N X, Wang D X, Zhang S Y L T, Zhang Y, Hu X R, Hao Z R, Jiang B, Wang X H, Hu J F, Liu Y D, Ma C W, Wang Y T, He J J, Zhang L Y 2025 Nucl. Sci. Tech. 36 178
[22] Wang J C, Ren J, Jiang W, Ruan X C, Liu Y Y, Yang H L, Xu K Z, Pan X Y, Sun Q, Bao J, Huang H X, Bai H F, Bai J B, Cao P, Chen Q P, Chen Y H, Duan W H, Fan A C, Fan R R, Feng C Q, Gu M H, Han C C, Han Z J, He G Z, He Y C, Hong Y, Hu Y W, Jiang Z J, Kang L, Lan C L, Li B, Li F, Li Q, Li X, Li Y, Liu J, Liu R, Liu S B, Liu Y N, Luan G Y, Ning C J, Qiu Y J, Ren W K, Ren Z Z, Song Z H, Sun K, Tan Z X, Tang J Y, Tang S D, Wang L J, Wang P C, Wang Z H, Wen Z W, Wu X G, Wu X, Wu Z P, Xia C, Xie L K, Yi H, Yu T, Yu Y J, Zhang G H, Zhang H C, Zhang Q W, Zhang X P, Zhang Y L, Zhang Z Y, Zhao M Y, Zhou Z H, Zhu K J, Zou C 2024 Nucl. Sci. Tech. 35 164
[23] Jiang B, Han J L, Jiang W, Hu J F, Wang X H, Chen J G, Cai X Z 2021 Nucl. Instrum. Methods Phys. Res. A 1013 165677
[24] Liu X Y, Yang Y W, Liu R, Wen J, Wen Z W, Han Z J, Ren Z Z, An Q, Bai H Y, Bao J, Cao P, Chen Q P, Chen Y H, Cheng P J, Cui Z Q, Fan R R, Feng C Q, Gu M H, Guo F Q, Han C C, He G Z, He Y C, He Y F, Huang H X, Huang W L, Huang X R, Ji X L, Ji X Y, Jiang H Y, Jiang W, Jing H T, Kang L, Kang M T, Li B, Li L, Li Q, Li X, Li Y, Li Y, Liu S B, Luan G Y, Ma Y L, Ning C J, Qi B B, Ren J, Ruan X C, Song Z H, Sun H, Sun X Y, Sun Z J, Tan Z X, Tang H Q, Tang J Y, Wang P C, Wang Q, Wang T F, Wang Y F, Wang Z H, Wang Z, Wu Q B, Wu X G, Wu X, Xie L K, Yi H, Yu L, Yu T, Yu Y J, Zhang G H, Zhang J, Zhang L H, Zhang L Y, Zhang Q M, Zhang Q W, Zhang X P, Zhang Y L, Zhang Z Y, Zhao Y T, Zhou L, Zhou Z Y, Zhu D Y, Zhu K J, Zhu P 2019 Nucl. Sci. Tech. 30 139
[25] Yi H, Wang T F, Li Y, Ruan X C, Ren J, Chen Y H, Li Q, Wen J, Tang J Y, An Q, Bai H Y, Bao J, Bao Y, Cao P, Chen H L, Chen Q P, Chen Y K, Chen Z, Cui Z Q, Fan R R, Feng C Q, Gao K Q, Gu M H, Han C C, Han Z J, He G Z, He Y C, Hong Y, Huang H X, Huang W L, Huang X R, Ji X L, Ji X Y, Jiang H Y, Jiang W, Jiang Z J, Jing H T, Kang L, Kang M T, Li B, Li C, Li J W, Li L, Li X, Liu R, Liu S B, Liu X Y, Luan G Y, Mu Q L, Ning C J, Qi B B, Ren Z Z, Song Y P, Song Z H, Sun H, Sun K, Sun X Y, Sun Z J, Tan Z X, Tang H Q, Tang X Y, Tian B B, Wang L J, Wang P C, Wang Q, Wang Z H, Wen Z W, Wu Q B, Wu X G, Wu X, Xie L K, Yang Y W, Yu L, Yu T, Yu Y J, Zhang G H, Zhang L H, Zhang Q W, Zhang X P, Zhang Y L, Zhang Z Y, Zhao Y B, Zhou L P, Zhou Z Y, Zhu D Y, Zhu K J, Zhu P 2020 Jour. Instrum. 15 P03026
[26] Carlson A D, Pronyaev V G, Smith D L, Smith D L, Larson N M, Chen Z P, Hale G M, Hambsch F J, Gai E V, Oh S Y, Badikov S A, Kawano T, Hofmann H M, Vonach H, Tagesen S 2009 Nucl. Data Sheets. 110 3215
[27] Li X X, Liu L X, Jiang W, Ren J, Wang H W, Fan G T, Cao G L, Zhang Y, Hu X R, Liu H X, Wang J W, Zhang S Y, Ma X, Ma C W, Wang Y T, An Z D, He J J, Su J, Zhang L Y, Yang Y X 2021 Phy. Rev. C 104 054302
[28] Ren J, Ruan X, Jiang W, Bao J, Luan G, Zhang Q, W, Huang H X, Nie Y B, Ge Z G, An Q, Bai H Y, Bao Y, Cao P, Chen H L, Chen Q P, Chen Y H, Chen Y K, Chen Z, Cui Z Q, Fan R R, Feng C Q, Gao K Q, Gu M H, Han C C, Han Z J, He G Z, He Y C, Hong Y, Huang W L, Huang X R, Ji X L, Ji X Y, Jiang H Y, Jiang Z J, Jing H T, Kang L, Kang M T, Li B, Li C, Li J, Li L, Li Q, Li X, Li Y, Liu R, Liu S B, Liu X Y, Mu Q L, Ning C J, Qi B B, Ren Z Z, Song Y P, Song Z H, Sun H, Sun K, Sun X Y, Sun Z J, Tan Z X, Tang H Q, Tang J Y, Tang X Y, Tian B B, Wang L J, Wang P C, Wang Q, Wang T F, Wang Z H, Wen J, Wen Z W, Wu Q B, Wu X G, Wu X, Wu X P, Xie L K, Yang Y W, Yi H, Yu L, Yu T, Yu Y J, Zhang G H, Zhang L H, Zhang X P, Zhang Y L, Zhang Z Y, Zhao Y B, Zhou L P, Zhou Z Y, Zhu D Y, Zhu K J, Zhu P 2021 Nucl. Instrum. Methods Phys. Res. A 985 164703
[29] Ren J, Ruan X C, Chen Y H, Jiang W, Bao J, Luan G Y, Zhang Q S, Huang H X, Wang Z H, An Q, Bai H Y, Bao Y, Cao P, Chen H L, Chen Q P, Chen Y K,Chen Z, Cui Z Q, Fan R R, Feng C Q, Gao K Q, Gu M H, Han C C, Han Z J, He G Z, He Y C, Hong Y, Huang W L, Huang X R, Ji X L, Ji X Y,Jiang H Y, Jiang B J, Jing H T, Kang L, Kang M T, Li B, Li C, Li J W, Li L, Li Q, Li X, Li Y, Liu R, Liu S B, Liu X J, Mu Q L,Ning C J, Qi B B, Ren Z Z, Song Y P, Song C H, Sun H, Sun K, Sun X Y, Sun Z J, Tan Z X, Tang H Q, Tang J Y, Tang X Y, Tian B B,Wang L J, Wang P C, Wang Q, Wang T F, Wen J, Wen Z W, Wu Q B, Wu X G, Wu X, Xie L K, Xin Y W, Yi H, Yu L, Yu T, Yu Y H, Zhang G H,Zhang L H, Zhang X P, Zhang Y L, Zhang Z Y, Zhao Y B, Zhou L P, Zhou Z Y, Zhu D Y, Zhu K J, Zhu P 2020 Acta. Phys. Sin. 69 233(in Chinese) [任杰,阮锡超,陈永浩,蒋伟,鲍杰,栾广源, 张奇诗, 黄翰雄, 王朝辉, 安琪, 白怀勇, 鲍煜, 曹平, 陈昊磊, 陈琪萍, 陈裕凯, 陈朕, 崔增琪, 樊瑞睿, 封常青, 高可庆, 顾旻皓, 韩长材, 韩子杰, 贺国珠, 何泳成, 洪杨, 黄蔚玲, 黄锡汝, 季筱璐, 吉旭阳, 江浩雨, 姜碧杰, 敬罕涛, 康玲, 康明涛, 李波, 李超, 李嘉雯, 李论, 李强, 李晓, 李样, 刘荣, 刘树彬, 刘星吉, 穆奇丽, 宁常军, 齐斌斌, 任智洲, 宋英鹏, 宋朝晖, 孙虹, 孙康, 孙晓阳, 孙志嘉, 谭志新, 唐洪庆, 唐靖宇, 唐新懿, 田斌斌, 王丽娇, 王鹏程, 王琦, 王涛峰, 文杰, 温中伟, 吴青彪, 吴晓光, 吴煊, 解立坤, 辛奕伟, 易晗, 于莉, 余滔, 于永和, 张国辉, 张林浩, 张显鹏, 张玉亮, 张志永, 赵豫斌, 周路平, 周祖英, 朱丹阳, 朱科军, 朱鹏 2020 69 233]
[30] Li X X, Liu L X, Jiang W, Ren J, Wang H W, Fan G T, Jiang D X, Wang D X, Luo S Y, Cao G L, Yang L L, Li K X, An Z D, He X J, Hao Z R, Kuang P, Jiang B, Zhang Y, Hu X R, Wang X H, Hu J F, Liu Y D, Ma C W, Wang Y T, Su J, Zhang H N, Feng C W, Liu W B, Su W Q, Jin S, Chen K J 2022 Phy. Rev. C 106 065804
[31] Li X K, An Z D, Jiang W, Zhang J Y, Bai R R, Liu S K, Li X X, Zhu Z C, Yang G L, Qiu W W, Liao Z F, Zhuang Z Y, Zhang X P, Chen S L, Guo C C, Xiao E X, Fang X, Wang H W, Hu X R, Jiang B, Shen W Q, Wang J C, Ren J, Ruan X C, Luo W, Lan H Y, Cao Z W, Ma X, Liu Y D, Wang P S, Yang Y, Su P, Deng X G, He W B, Ma Y G, Ma C W, Wang Y T, Dai Z T, Li E T, He P G, Tang R G, Zhou T, Wang J, Yi H, Zhang Y, Chen Y H, Fan R R, Gao K Q, Li Q, Sun K, Tan Z X, Gu M H, Jing H T, Tang J Y 2023 Phys. Rev. C 108 035802
[32] Ren J,Ruan X C,Bao J, Luan G Y, Jiang W, An Q, Bai H Y, Cao P, Chen Q P, Chen Y H, Cheng P J, Cui Z Q, Fan R R, Feng C Q, Gu M H, Guo F Q, Han C C, Han Z J, He G Z, He Y C, He Y F, Huang H X, Huang W L, Huang X R, Ji X L, Ji X Y, Jiang H Y, Jing H T, Kang L, Kang M T, Li B, Li L, Li Q, Li X, Li Y, Li Y, Liu R, Liu S B, Liu X Y, Ma Y L, Ning C J, Qi B B, Song Z H, Sun H, Sun X Y, Sun Z J, Tan Z X, Tang H Q, Tang J Y, Wang P C, Wang Q, Wang T F, Wang Y F, Wang Z H, Wang Z, Wen J, Wen Z W, Wu Q B, Wu X G, Wu X, Xie L K, Yang Y W, Yi H, Yu L, Yu T, Yu Y J, Zhang G H, Zhang J, Zhang L H, Zhang L Y, Zhang Q M, Zhang Q W, Zhang X P, Zhang Y L, Zhang Z Y, Zhao Y T, Zhou L, Zhou Z Y, Zhu D Y, Zhu K J, Zhu P 2019 Radiat. Detect. Tech. Meth. 3 52
[33] Macklin R L, Gibbons J H 1967 Phys. Rev. 159 1007
[34] Apostolakis J, Arce P, Burkhardt H, Chytracek R, Cosmo G, Dell'Acqua A, Folger G, Giani S, Ivanchenko V, Lara V, Liendl M, Medernach E, Pfeiffer A, Sadilov S, Cherniaev E, Wellisch J, Nartallo R, Iosim M, Bellagamba L, Brunengo A, Di Salvo E, Degtyarenko P, Kossov P, Amako K, Morta Y, Murakami K, Sasaki T, Gritchine V, Starkov N, Asai M, Johnson A, Perl J, Smith D, Safai F, Wright D, Chuma J, Loentiaus W, Guimplinger P, Jones T, Eanay I, Isrotenko V, Greeman G, Williams D, Magni S, Banerjee S, Behner F, Fesefeldt H, Lefebure V, Gibin D, Gomez Cadenas J, O'Neale S, Depaola G, Gracia Abril G, Ranjan F, Gonzalez I, Kent J, Grosheim A, Gracia A, Axen D, Wenaud T, Urban L, Lamanna E, Kallenbach J, Enami R, Hashimoto K, Hasui H, Kawabata M, Kawabata Y, Kawaguti M, Nishimura T, Ohtsubo K, Okamura M, Sawada Y, Foppiano F, Garelli S, Guatelli S, Pia M, Agostinelli S, Trepanier M, Dietrich D, Greiner W, Paech K, Scherer S, Stoecker H, Weber H, Zschiesche D, Heikkinen A, Lampen T, Sulik J, Araujo H, Howard A, Rybin A, Minamimoto K, Kurashige H, Barrand G, Maire M, Mora de Freitas P, Verdeni M, Urban P, Broglia L, Allison J, Forti M, Savvas N, Walkden A, Kelner S, Kokoulin R, Wander W, Kodama T, Nagamatu M, Sei S, Uno H, Yamada T, Yoshida H, Kimura A, Takahata M, Cooper S, Feliciello A, Hamet F, Truscott P, Tanaka S, Ferguson C, Chauvie S, Bouddou J, Letts R, Oohata Y, Longo F, Santin G, Giannitrapani R 2003 Nucl. Instrum. Methods Phys. Res. A 506 250
[35] Chen Y H, Luan G Y, Bao J, Jing H T, Zhang L Y, An Q, Bai H Y, Cao P, Chen Q P, Cheng P J, Cui Z Q, Fan R R, Feng C Q, Gu M H, Guo F Q, Han C C, Han Z J, He G Z, He Y C, He Y F, Huang H X, Huang W L, Huang X R, Ji X L, Ji X Y, Jiang H Y, Jiang W, Kang L, Kang M T, Li B, Li L, Li Q, Li X, Li Y, Li Y, Liu R, Liu S B, Liu X Y, Ma Y L, Ning C J, Qi B B, Ren J, Ruan X C, Song Z H, Sun H, Sun X Y, Sun Z J, Tan Z X, Tang H Q, Tang J Y, Wang P C, Wang Q, Wang T F, Wang Y F, Wang Z H, Wang Z, Wen J, Wen Z W, Wu Q B, Wu X G, Wu X, Xie L K, Yang Y W, Yi H, Yu L, Yu T, Yu Y J, Zhang G H, Zhang J, Zhang L H, Zhang Q M, Zhang Q W, Zhang X P, Zhang Y L, Zhang Z Y, Zhao Y T, Zhou L, Zhou Z Y, Zhu D Y, Zhu K J, Zhu P 2019 Eur. Phys. J. A 55 115
[36] Li X X, Liu L X, Jiang W, Ren J, Wang H W, Fan G T, Cao X G, Hu X R, Zhang Y, Wang J W, Hao Z R, Jiang B, Wang X H, Hu J F, Wang J C, Wang D X, Zhang S Y L T, Liu Y D, Ma X, Ma C W, Wang Y T, An Z D, He J J, Su J, Zhang L Y 2020 Nucl. Tech. 43 080501(in Chinese) [李鑫祥, 刘龙祥, 蒋伟, 任杰, 王宏伟,范功涛, 曹喜光, 胡新荣, 张岳, 王俊文, 郝子锐, 姜炳, 王小鹤, 胡继峰, 王金成, 王德鑫,张苏雅拉吐, 刘应都, 麻旭, 马春旺, 王玉廷, 安振东, 何健军, 苏俊, 张立勇 2020 核技术 43 080501]
[37] Chen Y J, Li X X, Jiang W, Ren J, Xie W, Wang H W, Fan G T, Liu L X, Zhang Y, Lin Z A, Jiang T, Li Z C, Luo K J, Shi X M, Li X K, Cao Z W, Yang G L, An Z D, Jiang B, Luo W 2025 Phys. Rev. C 111 054607
[38] Huang W J,Wang M, F G Kondev, Audi G, Naimi S 2021 Chin. Phys. C. 45 030002
计量
- 文章访问数: 59
- PDF下载量: 1
- 被引次数: 0








下载: