-
为揭示电磁吸波超结构的各向同异性与其宏观部件雷达散射截面(radar cross ection, RCS)的内在关系, 本文系统研究了典型的各向异性六边形蜂窝(hexagonal honeycomb, HH)超结构与各向同性面状Gyroid (sheet gyroid, SG)超结构在低雷达散射部件设计中的应用. 通过采用保角映射和非保角映射设计电磁吸波超结构曲面部件, 并结合仿真计算与微波暗室测试, 对比了不同方法设计的曲面部件RCS. 结果表明, 各向同性面状Gyroid曲面部件, 其RCS对设计方法不敏感, 展现较强吸波能力鲁棒性; 而各向异性六边形蜂窝曲面部件, 其RCS对设计方法表现出强烈的依赖性. 与各向异性结构相比, 具备电磁各向同性的超结构在实现曲面部件广角、稳健的低散射特性方面更具优势, 其性能对设计和加工的依赖性更低, 为开发高性能雷达吸波部件提供了重要的设计依据.To reveal the correlation between the anisotropy of electromagnetic absorbing metastructure and the radar cross section (RCS) of its curved components, the typical anisotropic hexagonal honeycomb (HH) metastructure and isotropic sheet gyroid (SG) metastructure are systematically studied. Both conformal mapping and non-conformal mapping methods are employed for designing the conformal curved components. These designs are compared using simulation and microwave anechoic chamber testing to evaluate their RCSs. The results indicate that the RCS of isotropic sheet gyroid curved components is insensitive to design methods, exhibiting strong design method and absorbing robustness; however, the RCS of anisotropic hexagonal honeycomb curved components exhibits strong dependence on design methods. Compared with anisotropic structures, metastructures with electromagnetic isotropy have significant advantages in achieving wide-angle and robust low-scattering characteristics of curved components, with lower dependence on design and processing. This study provides important design guidance for developing high-performance radar low-scattering components.
-
Keywords:
- electromagnetic absorbing metastructure /
- electromagnetic anisotropic /
- conformal design /
- additive manufacturing
-
图 4 电磁吸波超结构各向同异性分析 (a)三个正交方向的电磁波入射示意图; (b) HH电磁吸波超结构; (c) SG电磁吸波超结构在x, y, z三个方向的吸收率
Fig. 4. The electromagnetic isotropy analysis: (a)The incident directions; (b) absorptivity of the HH electromagnetic absorbing metastructure; (c) the SG electromagnetic absorbing metastructure under the x-direction, y-direction, and z-direction.
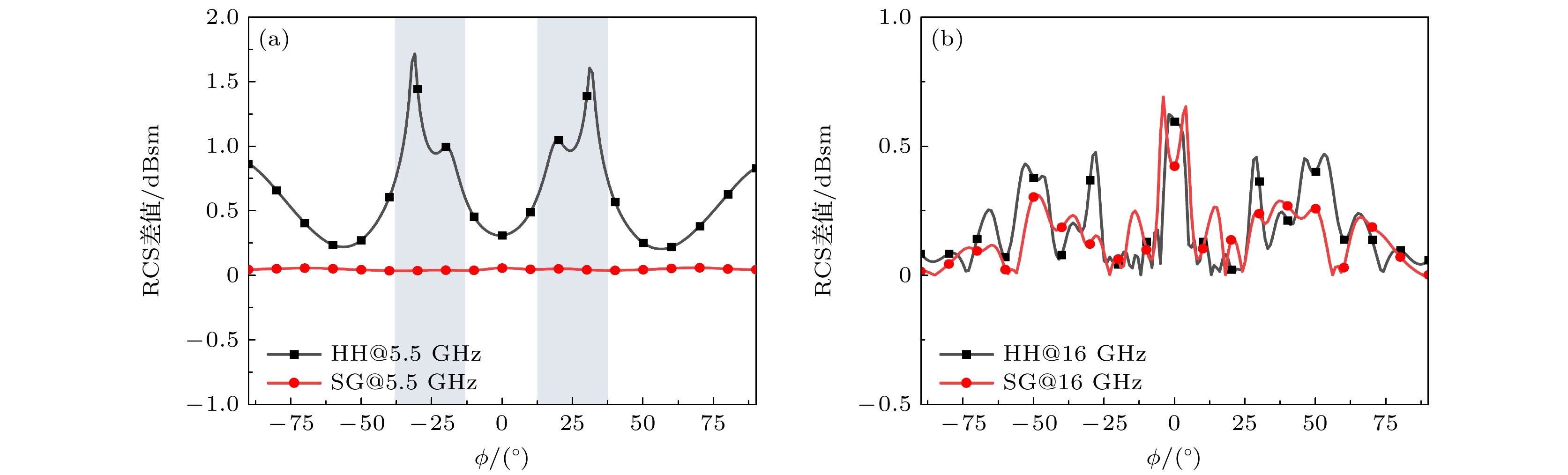
图 7 (a)曲面部件样品; 5.5 GHz频率下的(b) con-HH和uni-HH曲面部件, (c) con-SG和uni-SG部件的雷达散射截面; 16 GHz频率下的(d) con-HH和uni-HH曲面部件, (e) con-SG和uni-SG曲面部件的雷达散射截面
Fig. 7. (a) Curved component samples; radar cross section of (b) con-HH and uni-HH curved components and (c) con-SG and uni-SG curved components at 5.5 GHz; radar cross section of (d) con-HH and uni-HH curved components and (e) con-SG and uni-SG curved components at 16 GHz.
-
[1] 王彦朝, 许河秀, 王朝辉, 王明照, 王少杰 2020 69 134101
Google Scholar
Wang Y Z, Xu H X, Wang C H, Wang M Z, Wang S J 2020 Acta Phys. Sin. 69 134101
Google Scholar
[2] 杨利鑫, 李彦斌, 费庆国 2025 航空学报 46 331808
Yang L X, Li Y B, Fei Q G 2025 Acta Astronaut. Astronaut. Sin. 46 331808
[3] 莫漫漫, 马武伟, 庞永强, 陈润华, 张笑梅, 柳兆堂, 李想, 郭万涛 2018 67 217801
Google Scholar
Mo M M, Ma W W, Pang Y Q, Chen R H, Zhang X M, Liu Z T, Li X, Guo W T 2018 Acta Phys. Sin. 67 217801
Google Scholar
[4] Zhou P H, Huang L R, Xie J L, Liang D F, Lu H P, Deng L J 2015 IEEE Trans. Antennas Propag. 63 3496
Google Scholar
[5] Gong P, Li Y, Xin C X, Chen Q Y, Hao L, Sun Q L, Li Z 2022 Ceram. Int. 48 9873
Google Scholar
[6] Li Z C, Xu J, Zhang L, Li Y W, Yang R S, Fu Q H, Zhang F L, Fan Y C 2023 Ann. Phys. 535 2300054
Google Scholar
[7] Zhang J H, Li D S, Wang M M 2025 Addit. Manuf. 97 104613
[8] Zheng L, Niu L, Wang T, Li X C, Wang X, Gong R Z 2023 Compos. Struct. 305 116464
Google Scholar
[9] 熊益军, 王岩, 王强, 王春齐, 黄小忠, 张芬, 周丁 2018 67 084202
Google Scholar
Xiong Y J, Wang Y, Wang Q, Wang C Q, Huang X Z, Zhang F, Zhou D 2018 Acta Phys. Sin. 67 084202
Google Scholar
[10] Bai L, Chang N, Zhao M Y, Hou C, Cao Y, Li D C 2024 Chin. J. Aeronaut. 37 547
Google Scholar
[11] Fan Q F, Yang X Z, Lei H S, Liu Y Y, Huang Y X, Chen M J 2020 Composites Part A 129 105698
Google Scholar
[12] Zhou Q, Qi C X, Shi T T, Li Y K, Ren W, Gu S Y, Xue B, Ye F, Fan X M, Du L F 2023 Composites Part A 169 107541
Google Scholar
[13] Lin Z M, Yu M M, Wen M L, Ma Z, Gao L H, Wang Y T, Chen W H, Chen G H, Ma C 2023 Carbon 214 118389
Google Scholar
[14] Ye F, Song Q, Zhang Z C, Li W, Zhang S Y, Yin X W, Zhou Y Z, Tao H W, Liu Y S, Cheng L F, Zhang L T, Li H J 2018 Adv. Funct. Mater. 28 1707205
Google Scholar
[15] Luo H, Chen F, Wang X, Dai W Y, Xiong Y, Yang J J, Gong R Z 2019 Composites Part A 119 1
Google Scholar
[16] Kwak B S, Choi W H, Noh Y H, Jeong G W, Yook J G, Kweon J H, Nam Y W 2020 Composites Part B 191 107952
Google Scholar
[17] Xu J, Fan Y C, Su X P, Guo J, Zhu J X, Fu Q H, Zhang F L 2021 Opt. Mater. 113 110852
Google Scholar
[18] Choi W H, Kim C G 2015 Composites Part B 83 14
Google Scholar
[19] 何燕飞, 龚荣洲, 王鲜, 赵强 2008 57 5261
Google Scholar
He Y F, Gong R Z, Wang X, Zhao Q 2008 Acta Phys. Sin. 57 5261
Google Scholar
[20] Yao L, Yang W Q, Zhou S X, Mei H, Li Y, Dassios K G, Riedel R, Liu C D, Cheng L F, Zhang L T 2023 Acta Mater. 249 118803
Google Scholar
[21] Fu J, Ding J H, Zhang L, Qu S, Song X, Fu M W 2023 Addit. Manuf. 62 103406
[22] 汤兴刚, 张卫红, 邱克鹏 2013 62 084102
Google Scholar
Tang X G, Zhang W H, Qiu K P 2013 Acta Phys. Sin. 62 084102
Google Scholar
[23] 顾兆栴, 陈乐, 孙惠敏, 王金平, 樊迪刚 2023 2023年全国天线年会 中国黑龙江哈尔滨8月20日, 2023 第2231页
Gu Z Z, Chen L, Sun H M, Wang J P, Fan D G 2023 2023 National Antenna Conference Haerbin, China, August 20, 2023 p2231
[24] 樊久扬, 张玉贤, 冯晓丽, 黄志祥 2024 73 24410
Fan J Y, Zhang Y X, Feng X L, Huang Z X 2024 Acta Phys. Sin. 73 244101
[25] 许少峰, 孙秦 2013 航空工程进展 4 119
Xu S F, Sun Q 2013 Adv. Aeronaut. Sci. Eng. 4 119
计量
- 文章访问数: 533
- PDF下载量: 35
- 被引次数: 0








下载: