-
为改善增材制造过程中由于界面不稳定性引发的晶体结构缺陷问题, 本文基于线性稳定性理论, 系统研究了旋转与强剪切流协同作用对快速凝固中固-液界面形态稳定性的影响机制. 通过对增材制造过程的分析, 构建了包含旋转(泰勒数)与剪切流动参数的数学物理模型, 揭示了多物理场协同作用对界面不稳定性的调控规律. 研究发现强剪切流可有效降低逆临界形态数, 稳定固-液界面; 旋转场的引入则显著缩小了系统的不稳定性区域, 尤其在小波数范围内表现出显著的稳定作用. 此外旋转与流动的耦合效应进一步增强了界面附近溶质的均匀性, 并改善了熔池内的流动形态, 提升了整体的稳定性. 同时高表面能也表现出促进界面稳定的趋势, 旋转场对此效果具有增强作用. 本文的研究结果为实现高质量晶粒结构调控和增材制造工艺的参数优化提供了一定的理论支撑.To address the persistent challenge of morphological instability during laser-based additive manufacturing (AM) of dilute alloys, the coupled effects of rotation and strong shear flow on the stability of the solid–liquid interface under rapid solidification conditions are systematically investigated in this work. A comprehensive multi-physics theoretical model is established based on linear stability analysis through introducing key dimensionless parameters: Taylor number (Ta), inverse Schmidt number (${\cal{R}}$), dimensionless surface energy (Γ), and a nonlinear shear velocity profile applied parallel to the interface. The model also accounts for the presence of a solute boundary layer. By solving the resulting perturbation equations, the growth rates of interface disturbances are obtained. The results reveal that strong shear flow markedly increases the critical morphological number, indicating enhanced interfacial stability. When rotation is introduced, the instability region in wavenumber space is significantly compressed, particularly at small wavenumbers, due to the Coriolis-induced stabilization. How the critical conditions vary with the increase of Ta and surface energy is shown in Fig. (a), while the instantaneous perturbation fields of concentration and velocity in the melt pool are exhibited in Fig. (b), where the Coriolis effect promotes symmetrical recirculation cells and suppresses disturbance penetration in the vertical direction. Moreover, the synergy of rotation and shear flow facilitates a more uniform solute distribution near the interface, mitigates compositional gradients, and supports the formation of ordered laminar flow structures. These effects contribute to suppressing constitutional undercooling and refine the microstructure. The model is dimensionless and universal, and key dimensionless groups reflect process inputs, such as solidification rate, thermal gradients, and material diffusivity. This work offers critical physical insights into rotation–flow coupling mechanisms in AM and provides a quantitative framework for optimizing process parameters to control microstructural evolution. These findings are particularly relevant to AM of symmetric components (e.g., axisymmetric gears or biomedical implants) where rotational auxiliary fields can be practically introduced.
-
Keywords:
- additive manufacturing /
- strong shear flow /
- rotation /
- interface stability
[1] Srinivasan D, Ananth K 2022 J. Indian Inst. Sci. 102 311
Google Scholar
[2] Su X Z, Zhang P L, Huang Y Z 2024 Metals 14 1373
Google Scholar
[3] Goncalves A, Ferreira B, Leite M, Ribeiro I 2023 Sustain. Prod. Consum. 42 292
Google Scholar
[4] Priyadarshini J, Singh R K, Mishra R, Dora M 2023 Technol. Forecast. Soc. Change 194 122686
Google Scholar
[5] 赵增亮 2019 硕士学位论文(石家庄: 河北科技大学)
Zhao Z L 2019 M.S. Thesis (Shijiazhuang: Hebei University of Science and Technology
[6] Zhang M, Qin C, Wang Y F, Hu X Y, Ma J G, Zhuang H, Xue J M, Wan L, Chang J, Zou W G, Wu C T 2022 Addit. Manuf. 54 102721
Google Scholar
[7] Zou Z Q, Xu J K, Ren W F, Wang M F, Yu H D 2025 J. Manuf. Processes 135 269
Google Scholar
[8] Queguineur A, Marolleau J, Lavergne A, Rückert G 2020 Weld World 64 1389
Google Scholar
[9] Choi J, Sung K, Hyun J, Shin S C 2025 Carbohydr. Polym. 349 122972
Google Scholar
[10] Ismail I F, Shuib R K, Ramli M R, Chia S K 2024 J. Phys. Conf. Ser. 2907 012024
Google Scholar
[11] Chen A N, Liu K, Yan C Z 2024 Front. Mater. 11 1519909
Google Scholar
[12] Ye Z W, Hao Z D, Dou R, Wang L, Tang W Z 2024 Int. J. Appl. Ceram. Technol. 21 2824
Google Scholar
[13] Guo X H, Meng Y F, Yu Q X, Xu J N, Wu X, Chen H 2025 Opt. Laser Technol. 187 112800
Google Scholar
[14] 李继峰 2022 硕士学位论文(哈尔滨: 哈尔滨工程大学)
Li J F 2022 M. S. Thesis (Harbin: Harbin Engineering University
[15] Kowal K N, Davis S H 2019 Acta Mater. 164 464
Google Scholar
[16] Chen B Y, Zhang Q Y, Sun D K, Wang Z J 2022 J. Cryst. Growth 585 126583
Google Scholar
[17] Ma C Z, Zhang R J, Li Z X, Jiang X, Wang Y W, Zhang C, Yin H Q, Qu X H 2023 Integr. Mater. Manuf. Innov. 12 502
Google Scholar
[18] Jegatheesan M, Bhattacharya A 2022 Int. J. Heat Mass Transfer 182 121916
Google Scholar
[19] Hofmann D C, Roberts S, Otis R, Kolodziejska J, Dillon R P, Suh J, Shapiro A A, Liu Z K, Borgonia J P 2014 Sci. Rep. 4 5357
Google Scholar
[20] Griffiths R J, Garcia D, Song J, Vasudevan V K, Steiner M A, Cai W J, Yu H Z 2021 Mater 15 100967
Google Scholar
[21] Claude A, Chalvin M, Campcasso S, Hugel V 2024 Procedia CIRP 125 266
Google Scholar
[22] Zhang H J, Wu M H, Rodrigues C M G, Ludwig A, Kharicha A, Rónaföldi A, Roósz A, Veres Z, Svéda M 2022 Acta Mater. 241 118391
Google Scholar
[23] Zeng C, Huang F, Xue J T, Jia Y, Hu J X 2024 3D Print. Addit. Manuf. 11 e1887
Google Scholar
[24] 卢林 2023 硕士学位论文(镇江: 江苏科技大学)
Lu L 2023 M. S. Thesis (Zhenjiang: Jiangsu University of Science and Technology
[25] 赵旭山 2023 博士学位论文(武汉: 华中科技大学)
Zhao X S 2023 Ph. D. Dissertation (Wuhan: Huazhong University of Science and Technology
[26] Han X, Li C, Sun H, Sun Y C 2024 Weld. World 68 1707
Google Scholar
[27] Merchant G J, Davis S H 1990 Acta Metall. Mater. 38 2683
Google Scholar
[28] Aziz M J 1982 J. Appl. Phys. 53 1158
Google Scholar
-
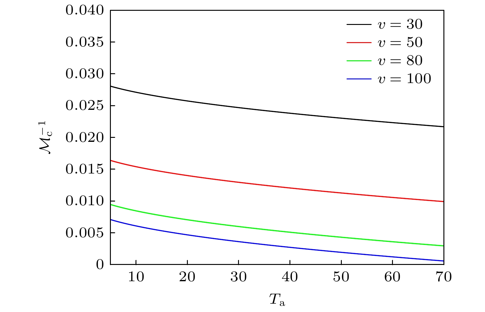
图 2 不同流速下, 逆临界形态数$ {\cal{M}}_{\mathrm{c}}^{ - 1} $随泰勒数$ {T_{\mathrm{a}}} $的变化曲线, 所用参数取值为$ \beta = 1 $, $ {k_{\mathrm{E}}} = 0.5 $, $ {\cal{R}} = 1 $, $ \varGamma $ = 0.02
Fig. 2. Function of inverse critical morphological number $ {\cal{M}}_{\mathrm{c}}^{ - 1} $ with Taylor number $ {T_{\mathrm{a}}} $ under different flow velocities, with the parameter values set to $ \beta = 1 $, $ {k_{\mathrm{E}}} = 0.5 $, $ {\cal{R}} = 1 $ and $ \varGamma $ = 0.02.
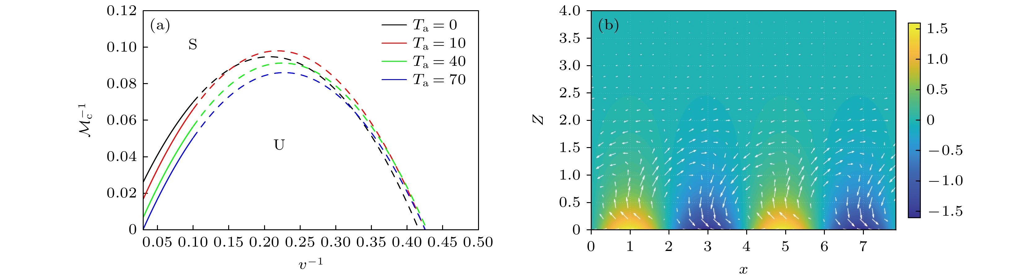
图 3 不同泰勒数$ {T_{\mathrm{a}}} $下, 逆临界形态数$ {\cal{M}}_{\mathrm{c}}^{ - 1} $随$ {v^{ - 1}} $变化的函数关系, 所用参数取值为$ \beta = 1 $, $ {k_{\mathrm{E}}} = 0.5 $, $ {\cal{R}} = 1 $, $ \varGamma $ = 0.06
Fig. 3. Functional relationship of the inverse critical morphological number $ {\cal{M}}_{\mathrm{c}}^{ - 1} $ with $ {v^{ - 1}} $ under different Taylor numbers $ {T_{\mathrm{a}}} $, with the parameter values set to $ \beta = 1 $, $ {k_{\mathrm{E}}} = 0.5 $, $ {\cal{R}} = 1 $ and $ \varGamma $ = 0.06.
图 4 不同泰勒数$ {T_{\mathrm{a}}} $下, 逆临界形态数$ {\cal{M}}_{\mathrm{c}}^{ - 1} $随表面能$ \varGamma $变化的函数关系, 所用参数取值为$ v = 100 $, $ {k_{\mathrm{E}}} = 0.5 $, $ {\cal{R}} = 0.5 $, $ \beta $ = 0.01
Fig. 4. Functional relationship of the inverse critical morphological number $ {\cal{M}}_{\mathrm{c}}^{ - 1} $ with surface energy $ \varGamma $ under different Taylor numbers $ {T_{\mathrm{a}}} $, with the parameter values set to $ v = 100 $, $ {k_{\mathrm{E}}} = 0.5 $, $ {\cal{R}} = 0.5 $ and $ \beta $ = 0.01.
图 5 平面$ (\alpha {\cal{V}}, {{\cal{M}}^{ - 1}}{\cal{V}}) $上的中性稳定性曲线, 所用参数取值为$ {a_2} = 0 $, $ \beta/v = 0.01 $, $ {k_{\mathrm{E}}} = 0.5 $, $ {\cal{R}}$ = 1
Fig. 5. Neutral stability curve on plane $ (\alpha {\cal{V}}, {{\cal{M}}^{ - 1}}{\cal{V}}) $, with the parameter values set to $ {a_2} = 0 $, $ \beta/v = 0.01 $, $ {k_{\mathrm{E}}} = 0.5 $ and $ {\cal{R}}$ = 1.
图 6 当泰勒数$ {T_{\mathrm{a}}} = 10 $时, 不同流速$ {\cal{V}} $下的中性稳定性曲线, 所用参数取值为$ {a_2} = 0 $, $ \beta = 0.01 $, $ {k_{\mathrm{E}}} = 0.5 $, $ \varGamma = $$ 0.001 $, $ {\cal{R}}$ = 1
Fig. 6. Neutral stability curves under different flow velocities $ {\cal{V}} $ at a Taylor number of $ {T_{\mathrm{a}}} = 10 $ with the parameter values set to $ {a_2} = 0 $, $ \beta = 0.01 $, $ {k_{\mathrm{E}}} = 0.5 $, $ \varGamma = 0.001 $ and $ {\cal{R}}$ = 1.
图 7 当泰勒数$ {T_{\mathrm{a}}} = 10 $时, 熔池内瞬时扰动浓度场与速度场分布图, 所用参数取值为$ {a_1} = 1.6 $, $ {a_2} = 0 $, $ {\cal{R}}$ = 1. 图中彩色背景表示扰动浓度场, 白色箭头表示扰动速度矢量场
Fig. 7. Instantaneous distributions of the perturbation concentration field and velocity field in the melt pool at a Taylor number of $ {T_{\mathrm{a}}} = 10 $, with parameter values set to $ {a_1} = 1.6 $, $ {a_2} = 0 $ and $ {\cal{R}} = 1 $. The colored background represents the perturbation concentration field, while the white arrows indicate the perturbation velocity vector field.
-
[1] Srinivasan D, Ananth K 2022 J. Indian Inst. Sci. 102 311
Google Scholar
[2] Su X Z, Zhang P L, Huang Y Z 2024 Metals 14 1373
Google Scholar
[3] Goncalves A, Ferreira B, Leite M, Ribeiro I 2023 Sustain. Prod. Consum. 42 292
Google Scholar
[4] Priyadarshini J, Singh R K, Mishra R, Dora M 2023 Technol. Forecast. Soc. Change 194 122686
Google Scholar
[5] 赵增亮 2019 硕士学位论文(石家庄: 河北科技大学)
Zhao Z L 2019 M.S. Thesis (Shijiazhuang: Hebei University of Science and Technology
[6] Zhang M, Qin C, Wang Y F, Hu X Y, Ma J G, Zhuang H, Xue J M, Wan L, Chang J, Zou W G, Wu C T 2022 Addit. Manuf. 54 102721
Google Scholar
[7] Zou Z Q, Xu J K, Ren W F, Wang M F, Yu H D 2025 J. Manuf. Processes 135 269
Google Scholar
[8] Queguineur A, Marolleau J, Lavergne A, Rückert G 2020 Weld World 64 1389
Google Scholar
[9] Choi J, Sung K, Hyun J, Shin S C 2025 Carbohydr. Polym. 349 122972
Google Scholar
[10] Ismail I F, Shuib R K, Ramli M R, Chia S K 2024 J. Phys. Conf. Ser. 2907 012024
Google Scholar
[11] Chen A N, Liu K, Yan C Z 2024 Front. Mater. 11 1519909
Google Scholar
[12] Ye Z W, Hao Z D, Dou R, Wang L, Tang W Z 2024 Int. J. Appl. Ceram. Technol. 21 2824
Google Scholar
[13] Guo X H, Meng Y F, Yu Q X, Xu J N, Wu X, Chen H 2025 Opt. Laser Technol. 187 112800
Google Scholar
[14] 李继峰 2022 硕士学位论文(哈尔滨: 哈尔滨工程大学)
Li J F 2022 M. S. Thesis (Harbin: Harbin Engineering University
[15] Kowal K N, Davis S H 2019 Acta Mater. 164 464
Google Scholar
[16] Chen B Y, Zhang Q Y, Sun D K, Wang Z J 2022 J. Cryst. Growth 585 126583
Google Scholar
[17] Ma C Z, Zhang R J, Li Z X, Jiang X, Wang Y W, Zhang C, Yin H Q, Qu X H 2023 Integr. Mater. Manuf. Innov. 12 502
Google Scholar
[18] Jegatheesan M, Bhattacharya A 2022 Int. J. Heat Mass Transfer 182 121916
Google Scholar
[19] Hofmann D C, Roberts S, Otis R, Kolodziejska J, Dillon R P, Suh J, Shapiro A A, Liu Z K, Borgonia J P 2014 Sci. Rep. 4 5357
Google Scholar
[20] Griffiths R J, Garcia D, Song J, Vasudevan V K, Steiner M A, Cai W J, Yu H Z 2021 Mater 15 100967
Google Scholar
[21] Claude A, Chalvin M, Campcasso S, Hugel V 2024 Procedia CIRP 125 266
Google Scholar
[22] Zhang H J, Wu M H, Rodrigues C M G, Ludwig A, Kharicha A, Rónaföldi A, Roósz A, Veres Z, Svéda M 2022 Acta Mater. 241 118391
Google Scholar
[23] Zeng C, Huang F, Xue J T, Jia Y, Hu J X 2024 3D Print. Addit. Manuf. 11 e1887
Google Scholar
[24] 卢林 2023 硕士学位论文(镇江: 江苏科技大学)
Lu L 2023 M. S. Thesis (Zhenjiang: Jiangsu University of Science and Technology
[25] 赵旭山 2023 博士学位论文(武汉: 华中科技大学)
Zhao X S 2023 Ph. D. Dissertation (Wuhan: Huazhong University of Science and Technology
[26] Han X, Li C, Sun H, Sun Y C 2024 Weld. World 68 1707
Google Scholar
[27] Merchant G J, Davis S H 1990 Acta Metall. Mater. 38 2683
Google Scholar
[28] Aziz M J 1982 J. Appl. Phys. 53 1158
Google Scholar
计量
- 文章访问数: 1311
- PDF下载量: 18
- 被引次数: 0








下载: