搜索

x

留言板

尊敬的读者、作者、审稿人, 关于本刊的投稿、审稿、编辑和出版的任何问题, 您可以本页添加留言。我们将尽快给您答复。谢谢您的支持!

姓名
邮箱
手机号码
标题
留言内容
验证码

原子核质量不确定性对β衰变半衰期和中子俘获率的影响

武庆 牛中明 梁豪兆

引用本文:
Citation:

原子核质量不确定性对β衰变半衰期和中子俘获率的影响

武庆, 牛中明, 梁豪兆

Impact of uncertainty of nuclear mass predictions on β-decay half-lives and neutron-capture rates

WU Qing, NIU Zhongming, LIANG Haozhao
Article Text (iFLYTEK Translation)
PDF
HTML
导出引用
在线预览
  • 原子核质量、β衰变半衰期以及中子俘获率是快中子俘获过程(r-过程)模拟中必不可少的核物理输入量, 且核质量还影响着β衰变半衰期和中子俘获率的预测. 然而, r-过程模拟涉及的许多丰中子核的质量仍然依靠理论模型的预言, 并且不同模型预言结果存在显著差异. 本文选取了十种原子核质量模型, 其中涵盖了宏观、微观、宏观-微观模型以及结合机器学习方法的质量模型, 系统研究核质量不确定性对β衰变半衰期和中子俘获率的影响. 基于不同的质量表, 分别采用β衰变半衰期半经验公式和TALYS程序, 计算了相应原子核的β衰变半衰期和中子俘获率, 为r-过程模拟提供了较为自洽的核物理输入. 研究发现, 丰中子区域不同质量模型的质量预言不确定性可达10 MeV. 质量不确定性对丰中子核素β衰变半衰期的预言产生的差异基本在0.6个数量级以内. 而对中子俘获率的影响更为显著, 当天体环境温度为$T=10^9$ K时, 近中子滴线核区的中子俘获率平均不确定性为2~3个数量级, 部分核素的最大与最小预言值差距甚至超过十个数量级. 向丰中子区域外推时, 原子核的中子俘获反应能$Q_{(\rm n,\gamma)}$直接影响着中子俘获率的变化趋势, 并且在丰中子区域中子俘获率对$Q_{(\rm n,\gamma)}$的不确定性非常敏感. 此外, 天体环境温度升高可降低质量不确定性对远离稳定线的原子核中子俘获率预言的影响. 本研究基于十种不同质量模型计算了β衰变半衰期和中子俘获率, 为r-过程模拟提供了更多自洽的核物理输入. 本文数据集可在https://www.doi.org/10.57760/sciencedb.j00213.00222中访问获取.
    Nuclear mass, β-decay half-life, and neutron-capture rate are the most important nuclear physics inputs for rapid-neutron capture process (r-process) simulations. Nuclear mass can directly impact the abundance ratio of neighboring isotopes during the (n, γ)-(γ, n) equilibrium stage. On the other hand, nuclear mass influences the predictions of β-decay half-lives and the neutron-capture rates, thus indirectly impacting the r-process simulation. Currently, only about 3000 nuclear masses have been precisely measured in experiments, and many of the nuclear masses involved in r-process simulations can only be predicted by theory models. However, when extrapolating nuclear masses towards the neutron drip line, there are large discrepancies between the predictions of different mass models, which inevitably affects the predictions of β-decay half-lives and neutron-capture rates. In this work, ten mass models are employed to systematically study the impact of nuclear mass uncertainties on β-decay half-lives and neutron-capture rates. The β-decay half-lives and neutron-capture rates are calculated by the β-decay half-life semi-empirical formula and TALYS code, respectively. It has been found that the uncertainties in nuclear mass predictions among different mass models can reach 10 MeV in the neutron-rich region; the differences between the maximum and minimum masses predicted by these models even exceed 30 MeV for some nuclei. For the predictions of β-decay energy $Q_{\beta}$ and $(\rm n,\gamma)$ reaction energy $Q_{(\rm n,\gamma)}$, there are large deviations mainly around the neutron magic numbers and close to the neutron drip line, with uncertainties about 1 MeV and 2 MeV, respectively. The impact of mass uncertainties on the β-decay half-lives is about 0.6 orders of magnitude for neutron-rich nuclei. The uncertainties of neutron-capture rates increase significantly when extrapolating towards the neutron-rich region. At the temperature of $T=10^9$ K, the average uncertainties of neutron-capture rates range over 2~3 orders of magnitude for nuclei near neutron drip line. Taking $N=50,\;82,\;126,\;184$ isotones as examples, it is found that the differences between the maximum and minimum neutron-capture rates obtained from various nuclear mass models even exceed 10 orders of magnitude for some nuclei. The $Q_{(\rm n,\gamma)}$ directly impacts the trend of the neutron-capture rates, and the neutron-capture rates are very sensitive to the uncertainties of $Q_{(\rm n,\gamma)}$ for neutron-rich nuclei. In addition, the effect of temperature on neutron-capture rates has also been investigated, and it is found that the increase in temperature can reduce the impact of mass uncertainties on the predictions of neutron-capture rates for neutron-rich nuclei. In this work, the β-decay half-lives and neutron-capture rates are calculated based on ten mass tables. Therefore, more self-consistent nuclear physics inputs will be provided for the simulation of the r-process. The datasets presented in this paper are openly available at https://www.doi.org/10.57760/sciencedb.j00213.00222.
  • 图 1  各原子核质量模型与FRDM2012模型预言的Ni、Sn和Pb同位素质量之差. 黑色实心圆表示核质量实验值与FRDM2012预测值的差值

    Fig. 1.  The differences between the mass predictions of various nuclear mass models and FRDM2012 model for Ni, Sn, and Pb isotopes, solid black circles denote the differences between experimental masses and the predictions of FRDM2012.

    图 2  核质量 Mβ衰变能$ Q_{\beta} $以及(n, γ)反应能$ Q_{(\rm n, \gamma)} $的不确定性. 灰色实线表示相应实验值范围的边界, 图中显示了参考文献[75]的r-过程路径以供参考, 由黑色实线表示, 该路径是基于经典r-过程模型预测的.

    Fig. 2.  Uncertainties of nuclear mass M, β-decay energy $ Q_{\beta} $, and the reaction energy of (n, γ) $ Q_{(\rm n, \gamma)} $. The grey solid lines denote the boundaries of the corresponding experimental data ranges. The figure also shows the r-process path taken from Ref. [75] for guiding eyes, represented by the black solid lines, which is predicted based on the classical r-process model.

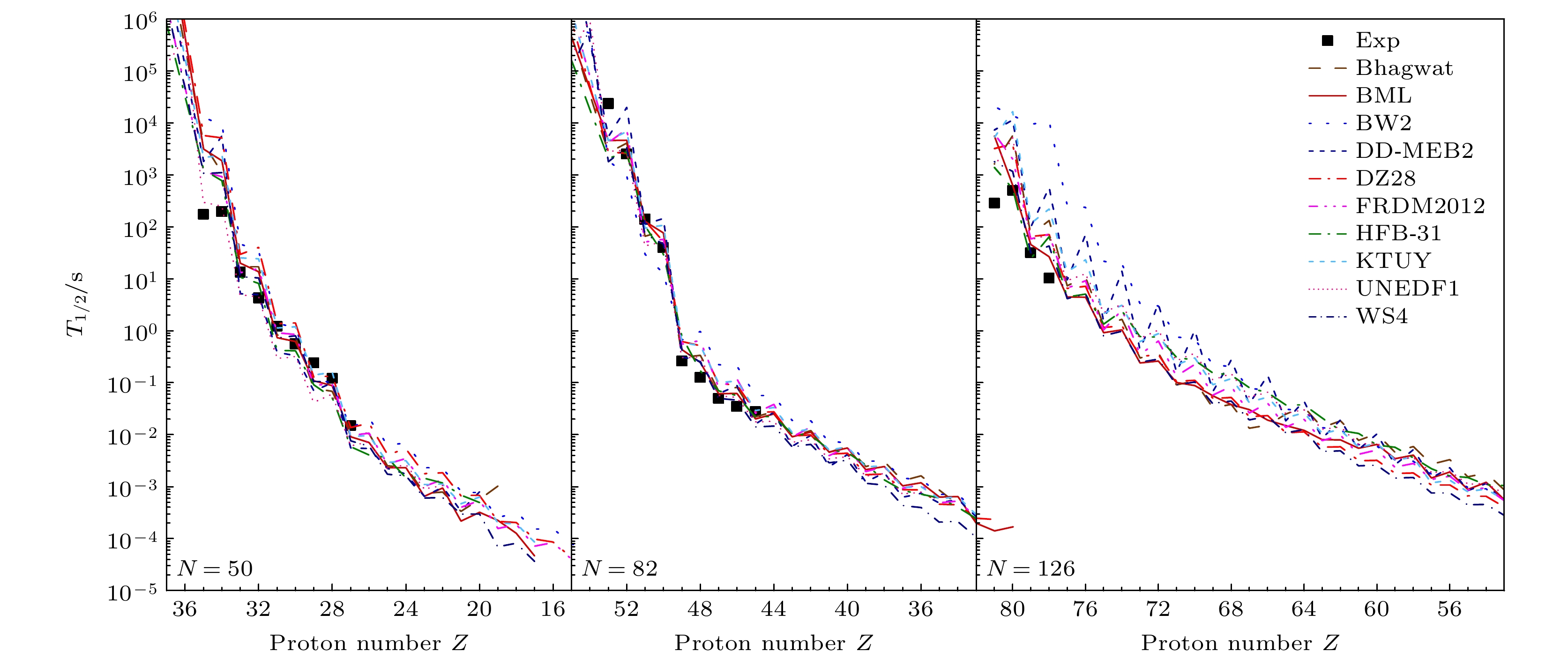
    图 3  基于半经验公式(1)和各模型的核质量预测计算的$ N=50, \; 82, \; 126 $同中子素链的β衰变半衰期, 并与实验半衰期[18]比较

    Fig. 3.  Nuclear β-decay half-lives of $ N=50, \; 82, \; 126 $ isotones predicted by the formula (1) based on various nuclear mass models, and their comparison with experimental half-lives[18].

    图 4  通过各种质量模型得到的理论β衰变半衰期对数的最大值和最小值的差异. 实验半衰期原子核的边界由灰色实线表示. 图中显示了参考文献[75]的r-过程路径以供参考, 由黑色实线表示

    Fig. 4.  The differences between the maximum and minimum values of the logarithm of theoretical β-decay half-lives obtained by various nuclear mass models. The boundary lines of nuclei with known half-lives in NUBASE2020 are shown by the grey solid lines. The figure also shows the r-process path taken from Ref. [75] for guiding eyes, represented by the black solid lines

    图 5  在温度$ T_9=1 $时, 各质量模型预测的$ N=50, \; 82, \; 126, \; 184 $同中子素链的中子俘获率, 阴影区域表示$ Q_{(\rm n, \gamma)} $实验未知区域

    Fig. 5.  Predictions of radiative neutron-capture rate for $ N=50, \; 82, \; 126, $ and $ 184 $ isotones at $ T_9=1 $ with different mass models. The shaded region denotes the $ Q_{(\rm n, \gamma)} $ experimental unknown region.

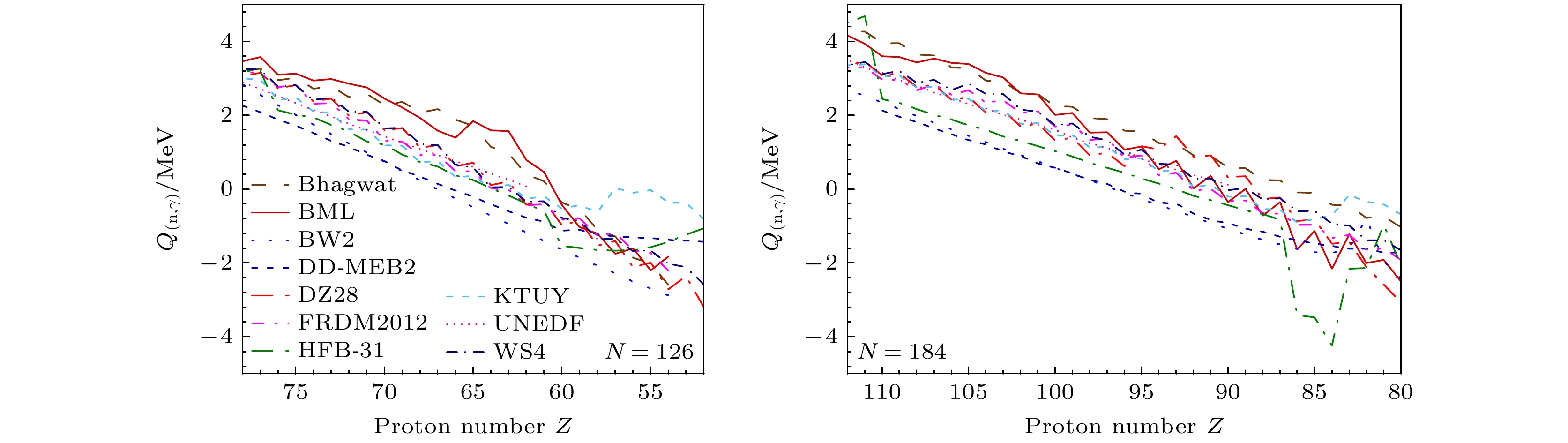
    图 6  各质量模型预测的$ N=126, \; 184 $同中子素链的$ (\rm n, \gamma) $反应能$ Q_{(\rm n, \gamma)} $

    Fig. 6.  $ (\rm n, \gamma) $ reaction energies $ Q_{(\rm n, \gamma)} $ of $ N=126, \; 184 $ isotones predicted by various nuclear mass models.

    图 7  对于各质量模型, 133Cd、133Sn、133Sb以及197Hf中子俘获率随温度的变化

    Fig. 7.  Radiative neutron-capture rates of 133Cd, 133Sn, 133Sb, and 197Hf as a function of temperature for various nuclear mass models.

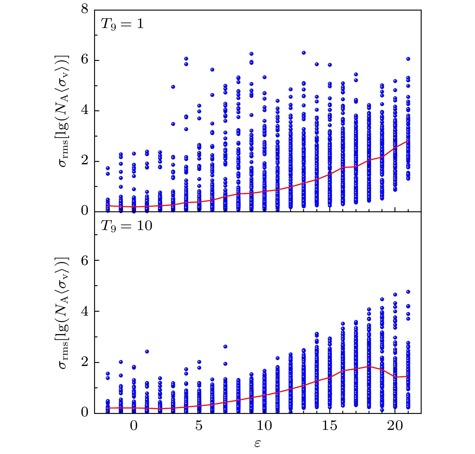
    图 8  在温度$ T_9=1, 10 $时, $ \sigma_{\rm rms}(\log_{10}(N_A \langle\sigma v \rangle )) $随与稳定线距离的分布

    Fig. 8.  Distribution of $ \sigma_{\rm rms}(\log_{10}(N_A \langle \sigma v \rangle )) $ with respect to the distance from the β-stability line at $ T_9=1 $ and $ 10 $.

    表 1  衰变半衰期半经验公式参数

    Table 1.  Parameters of the semi-empirical formula of β-decay half-lives

    $ a_{1} $ $ a_{2} $ $ a_{3} $ $ a_{4} $ $ a_{5} $ $ a_{6} $ $ a_{7} $ $ a_{8} $
    15.870586.341700.456833.544785.245963.885351.082750.71482
    下载: 导出CSV

    表 2  TALYS输入文件中关键字及其相应的值

    Table 2.  Keywords and their corresponding values in the TALYS input file

    关键字 projectile element mass ejectiles astro expmass massdir
    n Th 292 g y n bml
    下载: 导出CSV
    Baidu
  • [1]

    Burbidge E M, Burbidge G R, Fowler W A, Hoyle F 1957 Rev. Mod. Phys. 29 547Google Scholar

    [2]

    Thielemann F K, Arcones A, Käppeli R, Liebendörfer M, Rauscher T, Winteler C, Fröhlich C, Dillmann I, Fischer T, Martínez-Pinedo G, Langanke K, Farouqi K, Kratz K L, Panov I, Korneev I K 2011 Prog. Part. Nucl. Phys. 66 346Google Scholar

    [3]

    Kajino T, Aoki W, Balantekin A, Diehl R. Famiano M, Mathews G 2019 Prog. Part. Nucl. Phys. 107 109Google Scholar

    [4]

    Cowan J J, Sneden C, Lawler J E, Aprahamian A, Wiescher M, Langanke K, Martínez-Pinedo G, Thielemann F K 2021 Rev. Mod. Phys. 93 015002Google Scholar

    [5]

    Pian E, D'Avanzo P, Benetti S, Branchesi M, Brocato E, Campana S, Cappellaro E, Covino S, D'Elia V, Fynbo J P U, Getman F, Ghirlanda G, Ghisellini G, Grado A, Greco G, Hjorth J, Kouveliotou C, Levan A, Limatola L, Malesani D, Mazzali P A, Melandri A, M\o ller P, Nicastro L, Palazzi E, Piranomonte S, Rossi A, Salafia O S, Selsing J, Stratta G, Tanaka M, Tanvir N R, Tomasella L, Watson D, Yang S, Amati L, Antonelli L A, Ascenzi S, Bernardini M G, Boër M, Bufano F, Bulgarelli A, Capaccioli M, Casella P, Castro-Tirado A J, Chassande-Mottin E, Ciolfi R, Copperwheat C M, Dadina M, De Cesare G, Di Paola A, Fan Y Z, Gendre B, Giuffrida G, Giunta A, Hunt L K, Israel G L, Jin Z P, Kasliwal M M, Klose S, Lisi M, Longo F, Maiorano E, Mapelli M, Masetti N, Nava L, Patricelli B, Perley D, Pescalli A, Piran T, A. Possenti, Pulone L, Razzano M, Salvaterra R, Schipani P, Spera M, Stamerra A, Stella L, Tagliaferri G, Testa V, Troja E, Turatto M, Vergani S D, Vergani D 2017 Nature 551 67Google Scholar

    [6]

    Watson D, Hansen C J, Selsing J, Koch A, Malesani D B, Andersen A C, Fynbo J P U, Arcones A, Bauswein A, Covino S, Grado A, Heintz K E, Hunt L, Kouveliotou C, Leloudas G, Levan A J, Mazzali P, Pian Elena 2019 Nature 574 497Google Scholar

    [7]

    Kobayashi C, Karakas A I, Lugaro M 2020 Astrophys. J. 900 179Google Scholar

    [8]

    Lattimer J M, Schramm D N 1974 Astrophys. J. 19 2

    [9]

    Meyer B S, Mathews G J, Howard W M, Woosley S E, Hoffman R D 1992 Astrophys. J. 399 656Google Scholar

    [10]

    Woosley S E, Wilson J R, Mathews G J, Hoffman R D, Meyer B S 1994 Astrophys. J. 433 229Google Scholar

    [11]

    Qian Y Z, Woosley S E 1996 Astrophys. J. 471 331Google Scholar

    [12]

    Nishimura N, Takiwaki T, Thielemann F K 2015 Astrophys. J. 810 109Google Scholar

    [13]

    Fischer T, Whitehouse S C, Mezzacappa A, Thielemann F K, Liebendörfer M 2010 Astron. Astrophys. 517 A80Google Scholar

    [14]

    Mumpower M R, Surmana R, McLaughlin G C, Aprahamian A 2016 Prog. Part. Nucl. Phys. 86 86Google Scholar

    [15]

    Jiang X F, Wu X H, Zhao P W 2021 Astrophys. J. 915 29Google Scholar

    [16]

    Chen J, Fang J Y, Hao Y W, Niu Z M, Niu Y F 2023 Astrophys. J. 943 102Google Scholar

    [17]

    Hao Y W, Niu Y F, Niu Z M 2022 Astrophys. J. 933 3Google Scholar

    [18]

    Kondev F G, Wang M, Huang W J, Naimi S, Audi G 2021 Chin. Phys. C 45 030001Google Scholar

    [19]

    Uyen N K, Chae K Y, Duy N N, Ly N D 2022 J. Phys. G: Nucl. Part. Phys. 49 025201Google Scholar

    [20]

    Zhou Y, Li Z H, Wang Y B, Chen Y S, Guo B, Su J, Li Y J, Yan S Q, Li X Y, Han Z Y, Shen Y P, Gan L, Zeng S, Lian G, Liu W P 2017 Sci. China-Phys. Mech. Astron. 60 082012Google Scholar

    [21]

    夏金戈, 李伟峰, 方基宇, 牛中明 2024 73 062301Google Scholar

    Xia J G, Li W F, Fang J Y, Niu Z M 2024 Acta Phys. Sin. 73 062301Google Scholar

    [22]

    Tian L, Li W F, Fang J Y, Niu Z M 2025 Chin. Phys. C 49 044110Google Scholar

    [23]

    Takahashi K, Yamada M 1969 Prog. Theor. Phys. 41 1470Google Scholar

    [24]

    Tachibana T, Yamada M, Yoshida Y 1990 Prog. Theor. Phys. 84 641Google Scholar

    [25]

    Nakata H, Tachibana T, Yamada M 1997 Nucl. Phys. A 625 521Google Scholar

    [26]

    Martínez-Pinedo G, Langanke K 1999 Phys. Rev. Lett. 83 4502Google Scholar

    [27]

    Langanke K, Martínez-Pinedo G 2003 Rev. Mod. Phys. 75 819Google Scholar

    [28]

    Suzuki T, Yoshida T, Kajino T, Otsuka T 2012 Phys. Rev. C 85 015802

    [29]

    Zhi Q, Caurier E, Cuenca-García J J, Langanke K, Martínez Pinedo G, Sieja K 2013 Phys. Rev. C 87 025803

    [30]

    Engel J, Bender M, Dobaczewski J, Surman R 1999 Phys. Rev. C 60 014302

    [31]

    Minato F, Bai C L 2013 Phys. Rev. Lett. 110 122501Google Scholar

    [32]

    Niu Z M, Niu Y F, Liu Q, Liang H Z, Guo J Y 2013 Phys. Rev. C 87 051303(RGoogle Scholar

    [33]

    Marketin T, Huther L, Martínez-Pinedo G 2016 Phys. Rev. C 93 025805Google Scholar

    [34]

    Niu Y F, Niu Z M, Colò G, Vigezzi E 2015 Phys. Rev. Lett. 114 142501Google Scholar

    [35]

    Niu Y F, Niu Z M, Colò G, Vigezzi E 2018 Phys. Lett. B 780 325Google Scholar

    [36]

    Costiris N J, Mavrommatis E, Gernoth K A, Clark J W 2009 Phys. Rev. C 80 044332Google Scholar

    [37]

    Niu Z M, Liang H Z, Sun B H, Long W H, Niu Y F 2019 Phys. Rev. C 99 064307

    [38]

    Li W F, Zhang X Y, Niu Y F, Niu Z M 2024 J. Phys. G: Nucl. Part. Phys. 51 015103Google Scholar

    [39]

    Zhao B, Zhang S Q 2019 Astrophys. J. 874 5Google Scholar

    [40]

    Sprouse T M, Navarro Perez R, Surman R, Mumpower M R, McLaughlin G C, Schuunck N 2020 Phys. Rev. C 101 055803Google Scholar

    [41]

    Hauser W, Feshbach H 1952 Phys. Rev. 87 366Google Scholar

    [42]

    Koning A, Hilaire S, Goriely S 2023 Eur. Phys. J. A 59 131Google Scholar

    [43]

    Rauscher T, Thielemann F K 2000 At. Data. Nucl. Data Tables 75 1Google Scholar

    [44]

    Shi M, Fang J Y, Niu Z M 2021 Chin. Phys. C 45 044103Google Scholar

    [45]

    Fang J Y, Zhang X Y, Shi M, Niu Z M 2025 Eur. Phys. J. A 61 123Google Scholar

    [46]

    Ma C, Li Z, Niu Z M, Liang H Z 2019 Phys. Rev. C 100 024330Google Scholar

    [47]

    Von Weizsäcker C F 1935 Z. Phys. 96 431Google Scholar

    [48]

    Bethe H A, Bacher R F 1936 Rev. Mod. Phys. 8 82Google Scholar

    [49]

    Kirson M W 2008 Nucl. Phys. A 798 29Google Scholar

    [50]

    Xu X Y, Deng L, Chen A X, Yang H, Jalili A, Wang H K 2024 Nucl. Sci. Tech. 35 91Google Scholar

    [51]

    Wu Q, Li W F, Niu Z M, Liang H Z, Shi M 2025 Chin. Phys. C 49 114103Google Scholar

    [52]

    Wang N, Liu M, Wu X Z 2010 Phys. Rev. C 81 044322Google Scholar

    [53]

    Wang N, Liang Z Y, Li M, Wu X Z 2010 Phys. Rev. C 82 044304

    [54]

    Wang N, Liu M, Wu X Z, Meng J 2014 Phys. Lett. B 734 215Google Scholar

    [55]

    Möller P, Myers W D, Sagawa H, Yoshida S 2012 Phys. Rev. Lett. 108 052501Google Scholar

    [56]

    Goriely S, Chamel N, Pearson M J 2009 Phys. Rev. Lett 102 152503Google Scholar

    [57]

    Goriely S, Hilaire S, Girod M, Péru S 2009 Phys. Rev. Lett 102 242501Google Scholar

    [58]

    Goriely S, Chamel N, Pearson M J 2016 Phys. Rev. C 93 034337Google Scholar

    [59]

    Geng L S, Toki H, Meng J 2005 Prog. Theor. Phys. 113 785Google Scholar

    [60]

    Peña-Arteaga D, Goriely S, Chamel N 2016 Eur. Phys. J. A 52 320Google Scholar

    [61]

    Zhou S G, Meng J, Ring P, Zhao E G 2010 Phys. Rev. C 82 011301(RGoogle Scholar

    [62]

    Guo P, Cao X J, Chen K M, Chen Z H, Cheoun M K, Choi Y B, Lam P C, Deng W M, Dong J M, Du P X, Du X K, Duan K D, Fan X H, Gao W, Geng L S, Ha E, He X T, Hu J N, Huang J K, Huang K, Huang Y N, Huang Z D, Hyung K D, Chan H Y, Jiang X F, Kim S, Kim Y, Lee C H, Lee J, Li J, Li M L, Li Z P, Li Z Z, Lian Z J, Liang H Z, Liu L, Lu X, Liu Z R, Meng J, Meng Z Y, Mun M H, Niu Y F, Niu Z M, Pan C, Peng J, Qu X Y, Papakonstantinou P, Shang T S, Shang X L, Shen C W, Shen G F, Sun T T, Sun X X, Wang S B, Wang T Y, Wang Y R, Wang Y Y, Wu J W, Wu L, Wu X H, Xia X W, Xie H H, Yao J M, Ip K Y, Yiu T C, Yu J H, Yu Y Y, Zhang K Y, Zhang S J, Zhang S Q, Zhang W, Zhang X Y, Zhang Y X, Zhang Y, Zhang Y X, Zhang Z H, Zhao Q, Zhao Y C, Zheng R Y, Zhou C, Zhou S G, Zuo L J, DRHBc Mass Table Collaboration 2024 Atomic Data Nucl. Data Tables 158 101661Google Scholar

    [63]

    Gao Z P, Wang Y J, Lv H L, Li Q F, Shen C W, Liu L 2021 Nucl. Sci. Tech. 32 109Google Scholar

    [64]

    Wu X H, Lu Y Y, Zhao P W 2022 Phys. Lett. B 834 137394Google Scholar

    [65]

    Niu Z M, Liang H Z 2022 Phys. Rev. C 106 L021303Google Scholar

    [66]

    Niu Z M, Fang J Y, Niu Y F 2019 Phys. Rev. C 100 054311Google Scholar

    [67]

    Mumpower M R, Surman R, Fang D L, Beard M, Möller P, Kawano T, Aprahamian A 2015 Phys. Rev. C 92 035807Google Scholar

    [68]

    Koura H, Tachibana T, Uno M, Yamada M 2005 Prog. Theor. Phys. 113 305Google Scholar

    [69]

    Bhagwat A 2014 Phys. Rev. C 90 064306Google Scholar

    [70]

    Kortelainen M, McDonnell J, Nazarewicz W, Reinhard P G, Sarich J, Schunck N, Stoitsov M V, Wild S M 2012 Phys. Rev. C 85 024304

    [71]

    Duflo J, Zuker A P 1995 Phys. Rev. C 52 R23Google Scholar

    [72]

    Wang M, Huang W J, Kondev F G, Audi G, Naimi S 2021 Chin. Phys. C 45 030003Google Scholar

    [73]

    Koning A J, Delaroche J P 2003 Nucl. Phys. A 713 231Google Scholar

    [74]

    Koning A J, Rochman D 2012 Nucl. Data Sheets 113 2841Google Scholar

    [75]

    Niu Z M, Niu Y F, Liang H Z, Long W H, Nikšić T, Dretenar D, Meng J 2013 Phys. Lett. B 723 172Google Scholar

    [76]

    Brett S, Bentley I, Paul N, Surman R, Aprahamian A 2012 Eur. Phys. J. A 48 184Google Scholar

    [77]

    Surman R, Beun J, McLaughlin G C, Hix W R 2009 Phys. Rev. C 79 045809Google Scholar

    [78]

    Mumpower M, Surman R, Aprahamian A 2015 J. Phys: Conf. Ser. 599 012031Google Scholar

    [79]

    Mumpower M R, McLaughlin G C, Surman R 2012 Phys. Rev. C 86 035803Google Scholar

    [80]

    Zheng J S, Wang N Y, Wang Z Y, Niu Z M, Niu Y F, Sun B 2014 Phys. Rev. C 90 014303

  • [1] 刘亚琪, 李志龙, 王永佳, 李庆峰, 马春旺. 基于机器学习的原子核质量表的进一步探究.  , doi: 10.7498/aps.75.20251526
    [2] 王东东, 李鹏, 王之恒. 基于中子和质子分离能约束的神经网络对原子核质量的预测.  , doi: 10.7498/aps.75.20251315
    [3] 陈海军, 盛浩文, 黄文豪, 吴彬琪, 赵天亮, 包小军. 基于神经网络方法研究超重核的稳定性和衰变性质.  , doi: 10.7498/aps.74.20250720
    [4] 罗淏天, 张奇玮, 栾广源, 王晓宇, 邹翀, 任杰, 阮锡超, 贺国珠, 鲍杰, 孙琪, 黄翰雄, 王朝辉, 吴鸿毅, 顾旻皓, 余滔, 解立坤, 陈永浩, 安琪, 白怀勇, 鲍煜, 曹平, 陈昊磊, 陈琪萍, 陈裕凯, 陈朕, 崔增琪, 樊瑞睿, 封常青, 高可庆, 韩长材, 韩子杰, 何泳成, 洪杨, 黄蔚玲, 黄锡汝, 季筱璐, 吉旭阳, 蒋伟, 江浩雨, 姜智杰, 敬罕涛, 康玲, 康明涛, 李波, 李超, 李嘉雯, 李论, 李强, 李晓, 李样, 刘荣, 刘树彬, 刘星言, 穆奇丽, 宁常军, 齐斌斌, 任智洲, 宋英鹏, 宋朝晖, 孙虹, 孙康, 孙晓阳, 孙志嘉, 谭志新, 唐洪庆, 唐靖宇, 唐新懿, 田斌斌, 王丽娇, 王鹏程, 王琦, 王涛峰, 文杰, 温中伟, 吴青彪, 吴晓光, 吴煊, 羊奕伟, 易晗, 于莉, 于永积, 张国辉, 张林浩, 张显鹏, 张玉亮, 张志永, 赵豫斌, 周路平, 周祖英, 朱丹阳, 朱科军, 朱鹏, 朱兴华. 基于白光中子源的197Au中子辐射俘获截面测量及共振参数分析.  , doi: 10.7498/aps.73.20231957
    [5] 王德鑫, 张苏雅拉吐, 蒋伟, 任杰, 王金成, 唐靖宇, 阮锡超, 王宏伟, 陈志强, 黄美容, 唐鑫, 胡新荣, 李鑫祥, 刘龙祥, 刘丙岩, 孙慧, 张岳, 郝子锐, 宋娜, 李雪, 牛丹丹, 利国, 蒙古夫. 不同厚度镥样品中子俘获反应实验研究.  , doi: 10.7498/aps.71.20212051
    [6] 张奇玮, 栾广源, 任杰, 阮锡超, 贺国珠, 鲍杰, 孙琪, 黄翰雄, 王朝辉, 顾旻皓, 余滔, 解立坤, 陈永浩, 安琪, 白怀勇, 鲍煜, 曹平, 陈昊磊, 陈琪萍, 陈裕凯, 陈朕, 崔增琪, 樊瑞睿, 封常青, 高可庆, 韩长材, 韩子杰, 何泳成, 洪杨, 黄蔚玲, 黄锡汝, 季筱璐, 吉旭阳, 蒋伟, 江浩雨, 姜智杰, 敬罕涛, 康玲, 康明涛, 李波, 李超, 李嘉雯, 李论, 李强, 李晓, 李样, 刘荣, 刘树彬, 刘星言, 穆奇丽, 宁常军, 齐斌斌, 任智洲, 宋英鹏, 宋朝晖, 孙虹, 孙康, 孙晓阳, 孙志嘉, 谭志新, 唐洪庆, 唐靖宇, 唐新懿, 田斌斌, 王丽娇, 王鹏程, 王琦, 王涛峰, 文杰, 温中伟, 吴青彪, 吴晓光, 吴煊, 羊奕伟, 易晗, 于莉, 于永积, 张国辉, 张林浩, 张显鹏, 张玉亮, 张志永, 赵豫斌, 周路平, 周祖英, 朱丹阳, 朱科军, 朱鹏, 朱兴华. 基于CSNS反角白光中子源的中子俘获反应截面测量技术研究.  , doi: 10.7498/aps.70.20210742
    [7] 刘兆斌, 李凯, 曾天海, 王锋, 宋新兵, 邵彬, 邹健. 类氢原子核质量对电子状态的影响.  , doi: 10.7498/aps.70.20201754
    [8] 李涛, 黎春青, 周厚兵, 王宁. 原子核质量模型的检验.  , doi: 10.7498/aps.70.20201734
    [9] 冯松, 刘荣, 鹿心鑫, 羊奕伟, 王玫, 蒋励, 秦建国. 离线测量钍快中子裂变反应率方法.  , doi: 10.7498/aps.63.162501
    [10] 张珈铭, 徐晓栋, 孙保华. 基于(p,)-(,p)平衡近似的快质子俘获过程模型及其应用.  , doi: 10.7498/aps.62.132501
    [11] 严小松, 刘荣, 鹿心鑫, 蒋励, 王玫, 林菊芳. 贫化铀/聚乙烯球壳交替系统中铀-238中子俘获率的测量与分析.  , doi: 10.7498/aps.61.102801
    [12] 李竹, 牛中明, 孙保华, 王宁, 孟杰. WLW 原子核质量模型在r过程研究中的应用.  , doi: 10.7498/aps.61.072601
    [13] 张蔚泓, 牛中明, 王枫, 龚孝波, 孙保华. 宇宙核时钟不确定度的研究.  , doi: 10.7498/aps.61.112601
    [14] 张洁, 王少峰. 电荷屏蔽对快中子俘获过程的影响.  , doi: 10.7498/aps.59.1391
    [15] 章法强, 杨建伦, 李正宏, 叶凡, 徐荣昆. 厚闪烁体内次级中子对快中子图像质量的影响研究.  , doi: 10.7498/aps.58.1316
    [16] 杨 威, 蔡晓红, 于得洋. 紧耦合方法研究离子原子碰撞的单俘获过程.  , doi: 10.7498/aps.54.2128
    [17] 张历宁, 戴元本. 原子核中μ介子的辐射俘获.  , doi: 10.7498/aps.17.41
    [18] 彭宏安, 夏宇正, 黄世益, 曹亨道. μ-介子在Be7原子核上的俘获.  , doi: 10.7498/aps.16.379
    [19] 朱家珍, 周光召, 彭宏安. μ-介子在He3原子核上的俘获.  , doi: 10.7498/aps.16.61
    [20] 肖振喜. 在利用原子核乳胶测快中子能谱的计算工作中所用的特种计算尺.  , doi: 10.7498/aps.16.111
计量
  • 文章访问数:  549
  • PDF下载量:  18
  • 被引次数: 0
出版历程
  • 收稿日期:  2025-09-02
  • 修回日期:  2025-09-30
  • 上网日期:  2025-10-17

/

返回文章
返回
Baidu
map