-
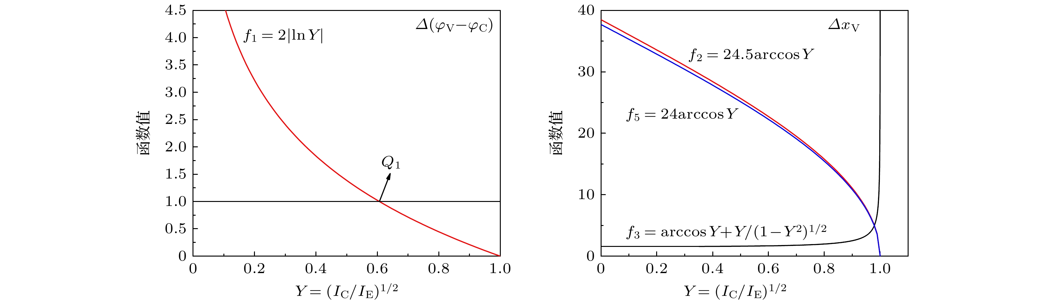
基于已有的一维虚拟阴极理论模型, 本研究进一步建立了虚拟阴极的绝对误差理论, 并系统分析了热阴极温度、饱和电子发射电流、电子收集电流、杜什曼常数以及电子逸出功等参数对虚拟阴极测量的误差贡献. 研究结果表明, 影响虚拟阴极势阱深度测量的主要因素与虚拟阴极的强弱密切相关, 当热阴极产生的虚拟阴极较强时, 阴极加热温度的不确定性约有61%的概率成为势阱深度测量的主要误差源, 而当虚拟阴极较弱时, 电子电流测量的不确定性约有39%的概率成为主要误差源. 此外, 在虚拟阴极的空间宽度测量方面, 对于常见的热阴极材料, 其测量结果的主要误差大概率(至少90%)是由热阴极温度和电子逸出功的不确定性造成的, 只有当虚拟阴极非常微弱时, 电子电流的不确定性是主要误差源.The virtual cathode is an important phenomenon in thermionic emission, and it is widely present in various electronic devices and systems such as vacuum tubes, electron guns, high-power microscopes, X-ray tubes, concentrated solar thermionic converters, and emissive probes. Since the virtual cathode can directly affect the performance of these devices, it is of great significance to study the characteristics of the virtual cathode and conduct experimental measurements on it. In our recent research, a one-dimensional model of thermionic emission was established, and the analytical expressions for the potential barrier and the spatial width of the virtual cathode were derived. With the development of virtual cathode theories, measuring the virtual cathode experimentally has become a reality. In this study, based on our one-dimensional theoretical model, the absolute error theory of the virtual cathode is established, and the contributions of different parameters, such as the hot-cathode temperature, the saturated electron emission current, the electron collection current, Dushman constant, and the work function of hot cathodes, to the absolute errors in the virtual cathode measurement are systematically analyzed. The research results show that the main factors affecting the measurement of the virtual cathode potential are closely related to the size of the virtual cathode. When the virtual cathode potential generated by hot-cathodes is strong, the uncertainty of the hot-cathode temperature becomes the main error source, with a probability of about 61% for the potential barrier measurement, but when the virtual cathode is weak, the main factor becomes the uncertainty of the electron current measurement with a probability of about 39%. Besides, when measuring the virtual cathode width, for common hot-cathodes such as oxide (BaO) cathode, tungsten cathode, and molybdenum cathode, the main factors affecting the measurement results are the uncertainties in the hot-cathode temperature and the work function. These uncertainties account for approximately 94%, 96% and 97% of the measurement variability, corresponding to the above three cathodes, respectively. Only when the virtual cathode is very weak, does the uncertainty of the electron current become the main error source for the measurement of the virtual cathode width.
-
Keywords:
- virtual cathode /
- absolute error /
- hot-cathode temperature /
- thermionic emission
[1] Kurkin S A, Koronovski A A, Hramov A E 2009 Plasma Phys. Rep. 35 628
Google Scholar
[2] Kurkin S A, Hramov A E 2009 Tech. Phys. Lett. 35 23
Google Scholar
[3] Kurilenkov Y K, Tarakanov V P, Gus'kov S Y, Oginov A V, Karpukhin V T 2018 Contrib. Plasma Phys. 58 952
Google Scholar
[4] Nebel R A, Stange S, Park J, Taccetti J M, Murali S K, Garcia C E 2005 Phys. Plasmas 12 012701
Google Scholar
[5] Mahto M, Jain P K 2018 IEEE Trans. Plasma Sci. 46 518
Google Scholar
[6] Kostov K G, Nikolov N A, Spassovsky I P, Spassov V A 1992 Appl. Phys. Lett. 60 2598
Google Scholar
[7] Kostov K G, Nikolov N A 1994 Phys. Plasmas 1 1034
Google Scholar
[8] Valletti L, Fantauzzi S, Paolo F D 2023 IEEE Trans. Electron Devices 70 3864
Google Scholar
[9] Li L M, Cheng G X, Zhang L, Ji X, Chang L, Xu Q F, Liu L, Wen J C, Li C L, Wan H 2011 J. Appl. Phys. 109 074504
Google Scholar
[10] 苏东, 邓立科, 王斌 2014 63 235204
Google Scholar
Su D, Deng L K, Wang B 2014 Acta Phys. Sin. 63 235204
Google Scholar
[11] 王道泳, 马锦绣, 李毅人, 张文贵 2009 58 8432
Google Scholar
Wang D Y, Ma J X, Li Y R, Zhang W G 2009 Acta Phys. Sin. 58 8432
Google Scholar
[12] Smith J R, Hershkowitz N, Coakley P 1979 Rev. Sci. Instrum. 50 210
Google Scholar
[13] Marek A, Jílek M, Picková I, Kudrna P, Tichý M, Schrittwieser R, Ionita C 2008 Contrib. Plasma Phys. 48 491
Google Scholar
[14] Ye M Y, Takamura S 2000 Phys. Plasmas 7 3457
Google Scholar
[15] Seif M N, Zhou Q F, Liu X T, Balk T J, Beck M J 2022 IEEE Trans. Electron Devices 69 3523
Google Scholar
[16] Child C D 1911 Phys. Rev. 32 492
Google Scholar
[17] Langmuir I 1913 Phys. Rev. 2 450
Google Scholar
[18] Langmuir I 1923 Phys. Rev. 21 419
Google Scholar
[19] Langmuir I, Compton K T 1931 Rev. Mod. Phys. 3 191
Google Scholar
[20] Li J Q, Li S H, Ma H J 2024 Phys. Scr. 99 055974
Google Scholar
[21] Li J Q, Li S H 2024 J. Appl. Phys. 136 105105
Google Scholar
[22] Li J Q, Xie X Y, Li S H, Zhang Q H 2022 Vacuum 200 111013
Google Scholar
[23] Li S H, Li J Q 2021 Vacuum 192 110496
Google Scholar
[24] Kalinin Y A, Hramov A E 2006 Tech. Phys. 51 558
Google Scholar
[25] 李建泉 2024 发射探针: 原理、装置及应用(天津: 天津大学出版社) 第157—176页
Li J Q 2024 Emissive Probes: Principles, Devices and Applications (Tianjin: Tianjin University Press) pp157–176
[26] Zhang J F 2006 IEEE Trans. Reliab. 55 169
Google Scholar
[27] Purwar H, Goutierre E, Guler H, et al. 2023 J. Phys. Commun. 7 025002
Google Scholar
[28] Bekker T B, Rashchenko S V, Seryotkin Y V, Kokh A E, Davydov A V, Fedorov P P 2017 J. Am. Ceram. Soc. 101 450
Google Scholar
-
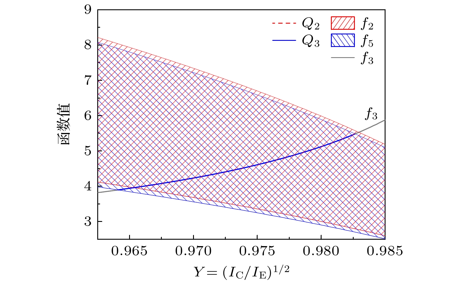
表 1 钨阴极产生的虚拟阴极宽度的主要影响因素与Y值之间的关系
Table 1. Relation between the main influencing factors of the virtual cathode width generated by the tungsten cathode and Y values.
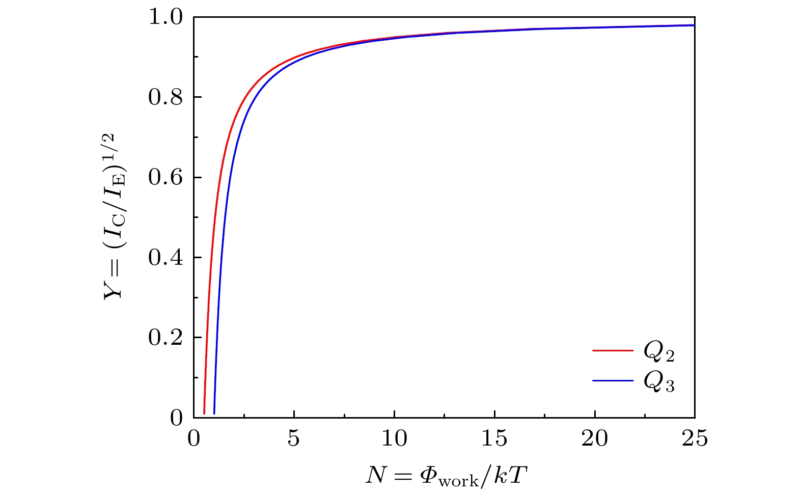
Y值大小 函数值大小 主要因素 0 < Y < Q3 $ {f_2} \approx {f_5} > {f_3} > {f_4} $ T 和 $ {\phi _{\rm work}} $ Q3 < Y < Q2 $ {f_2} > {f_3} > {f_5} > {f_4} $ T Q2 < Y < 1 $ {f_3} > {f_2} \approx {f_5} > {f_4} $ $ {I_{\text{E}}} $和$ {I_{\text{C}}} $ 表 2 几种常见热阴极材料的N值以及交点$ {Q_2} $和$ {Q_3} $位置的计算结果
Table 2. Calculation results of the N values of several common thermionic cathode materials, as well as the positions of $ {Q_2} $ and $ {Q_3} $.
阴极材料 $ {\phi _{{\text{work}}}} $/eV T/K $ N = \dfrac{{{\phi _{{\text{work}}}}}}{{kT}} $ $ {Y_{{Q_3}}} $ $ {Y_{{Q_2}}} $ BaO 1.65 1200—2200 8.7—16.0 0.9384—0.9676 0.9420—0.9686 W 4.56 1800—3650 14.5—29.4 0.9641—0.9827 0.9653—0.9830 Mo 4.24 1700—2890 17.0—28.9 0.9696—0.9823 0.9705—0.9827 -
[1] Kurkin S A, Koronovski A A, Hramov A E 2009 Plasma Phys. Rep. 35 628
Google Scholar
[2] Kurkin S A, Hramov A E 2009 Tech. Phys. Lett. 35 23
Google Scholar
[3] Kurilenkov Y K, Tarakanov V P, Gus'kov S Y, Oginov A V, Karpukhin V T 2018 Contrib. Plasma Phys. 58 952
Google Scholar
[4] Nebel R A, Stange S, Park J, Taccetti J M, Murali S K, Garcia C E 2005 Phys. Plasmas 12 012701
Google Scholar
[5] Mahto M, Jain P K 2018 IEEE Trans. Plasma Sci. 46 518
Google Scholar
[6] Kostov K G, Nikolov N A, Spassovsky I P, Spassov V A 1992 Appl. Phys. Lett. 60 2598
Google Scholar
[7] Kostov K G, Nikolov N A 1994 Phys. Plasmas 1 1034
Google Scholar
[8] Valletti L, Fantauzzi S, Paolo F D 2023 IEEE Trans. Electron Devices 70 3864
Google Scholar
[9] Li L M, Cheng G X, Zhang L, Ji X, Chang L, Xu Q F, Liu L, Wen J C, Li C L, Wan H 2011 J. Appl. Phys. 109 074504
Google Scholar
[10] 苏东, 邓立科, 王斌 2014 63 235204
Google Scholar
Su D, Deng L K, Wang B 2014 Acta Phys. Sin. 63 235204
Google Scholar
[11] 王道泳, 马锦绣, 李毅人, 张文贵 2009 58 8432
Google Scholar
Wang D Y, Ma J X, Li Y R, Zhang W G 2009 Acta Phys. Sin. 58 8432
Google Scholar
[12] Smith J R, Hershkowitz N, Coakley P 1979 Rev. Sci. Instrum. 50 210
Google Scholar
[13] Marek A, Jílek M, Picková I, Kudrna P, Tichý M, Schrittwieser R, Ionita C 2008 Contrib. Plasma Phys. 48 491
Google Scholar
[14] Ye M Y, Takamura S 2000 Phys. Plasmas 7 3457
Google Scholar
[15] Seif M N, Zhou Q F, Liu X T, Balk T J, Beck M J 2022 IEEE Trans. Electron Devices 69 3523
Google Scholar
[16] Child C D 1911 Phys. Rev. 32 492
Google Scholar
[17] Langmuir I 1913 Phys. Rev. 2 450
Google Scholar
[18] Langmuir I 1923 Phys. Rev. 21 419
Google Scholar
[19] Langmuir I, Compton K T 1931 Rev. Mod. Phys. 3 191
Google Scholar
[20] Li J Q, Li S H, Ma H J 2024 Phys. Scr. 99 055974
Google Scholar
[21] Li J Q, Li S H 2024 J. Appl. Phys. 136 105105
Google Scholar
[22] Li J Q, Xie X Y, Li S H, Zhang Q H 2022 Vacuum 200 111013
Google Scholar
[23] Li S H, Li J Q 2021 Vacuum 192 110496
Google Scholar
[24] Kalinin Y A, Hramov A E 2006 Tech. Phys. 51 558
Google Scholar
[25] 李建泉 2024 发射探针: 原理、装置及应用(天津: 天津大学出版社) 第157—176页
Li J Q 2024 Emissive Probes: Principles, Devices and Applications (Tianjin: Tianjin University Press) pp157–176
[26] Zhang J F 2006 IEEE Trans. Reliab. 55 169
Google Scholar
[27] Purwar H, Goutierre E, Guler H, et al. 2023 J. Phys. Commun. 7 025002
Google Scholar
[28] Bekker T B, Rashchenko S V, Seryotkin Y V, Kokh A E, Davydov A V, Fedorov P P 2017 J. Am. Ceram. Soc. 101 450
Google Scholar
计量
- 文章访问数: 944
- PDF下载量: 28
- 被引次数: 0








下载: