-
在活性物质系统中, 外部驱动场(如电场、磁场或光场)常被用于调控粒子的运动行为与集体状态. 惯性效应在粒子动力学中扮演关键角色, 它使粒子对场的响应出现延迟, 从而诱发复杂的集体行为. 然而, 具有转动惯性的活性粒子在周期交流场作用下的动力学行为尚不明确. 本文通过数值模拟系统研究具有转动惯性的活性粒子在周期交流场作用下的集体行为. 结果表明, 改变外场频率可诱导系统出现一系列集体运动状态, 包括极性有序、向列有序以及交叉流动带等结构. 粒子的自推进速度与相互作用强度对系统状态转变的影响较弱. 本研究揭示了周期交流场在调控惯性活性粒子系统集体行为中的关键作用, 为进一步理解非平衡系统中驱动场与粒子动力学之间的耦合机制提供了新的见解.
In active matter systems, external alternating fields, such as electric, magnetic, or optical fields, are widely used to regulate the motion and collective states of self-propelled particles. The presence of inertia introduces a delayed response to such fields, giving rise to complex collective dynamics. Nevertheless, how active particles with rotational inertia behave collectively under an unbiased periodic alternating field remains unclear. In this work, we conduct numerical simulations to study the collective behavior of such particles driven by a time-varying external torque that alternates symmetrically in direction. Our results show that the frequency of the alternating field plays a decisive role in shaping the collective state of the system. As the frequency increases, the system undergoes a series of different phase transitions. At low frequencies, the particles exhibit synchronized polar order. With frequency rising, inertial delay disrupts this synchronization, driving the system into a disordered state. When the field period matches the intrinsic rotational relaxation time of the particles, stable horizontal or vertical cross-flow bands emerge, within which groups of particles travel in opposite directions. At very high frequencies, the system develops nematic order, characterized by counter-propagating particle streams. The effective diffusion coefficient reaches its peak during the formation of alternating flow bands, indicating enhanced collective transport. These structural transitions are consistently captured by the evolution of global order parameters. In contrast, variations in the particle self-propulsion speed and repulsive interaction strength exert only minor influences on the collective states, highlighting the dominant role of the alternating field frequency. This study elucidates the fundamental mechanism through which periodic alternating fields regulate the collective behavior of inertial active particles via frequency tuning. The results offer new insights into the coupling between external driving fields and particle dynamics in non-equilibrium systems, with potential applications in the design of micromachines and active smart materials. -
Keywords:
- unbiased directional AC field /
- rotational inertia /
- active particles /
- collective behavior
[1] Klotsa D 2019 Soft Matter 15 8946
Google Scholar
[2] Marchetti M C, Joanny J F, Ramaswamy S, Liverpool T B, Prost J, Rao M, Simha R A 2013 Rev. Mod. Phys. 85 1143
Google Scholar
[3] Nachtigall W 2001 Math. Meth. Appl. Sci. 24 1401
Google Scholar
[4] Dauchot O, Loewen H 2019 J. Chem. Phys. 151 114901
Google Scholar
[5] Wensink H H, Loewen H 2008 Phys. Rev. E 78 031409
Google Scholar
[6] Liu P, Zhu H, Zeng Y, Du G, Ning L, Wang D, Chen K, Lu Y, Zheng N, Ye F, Yang M 2020 Proc. Natl. Acad. Sci. USA 117 11901
Google Scholar
[7] Peruani F, Ginelli F, Baer M, Chate H 2011 J. Phys.: Conf. Ser. 297 0120140
Google Scholar
[8] Stenhammar J, Marenduzzo D, Allen R J, Cates M E 2014 Soft Matter 10 1489
Google Scholar
[9] Tailleur J, Cates M E 2008 Phys. Rev. Lett. 100 218103
Google Scholar
[10] Toner J, Tu Y H 1995 Phys. Rev. Lett. 75 4326
Google Scholar
[11] Liao G J, Hall C K, Klapp S H L 2020 Soft Matter 16 6443
Google Scholar
[12] Romanczuk P, Baer M, Ebeling W, Lindner B, Schimansky-Geier L 2012 European Physical Journal-Special Topics 202 1
Google Scholar
[13] Speck T 2020 Soft Matter 16 2652
Google Scholar
[14] Scholz C, Jahanshahi S, Ldov A, Loewen H 2018 Nature Commun. 9 5156
Google Scholar
[15] Mijalkov M, McDaniel A, Wehr J, Volpe G 2016 Phys. Rev. X 6 011008
Google Scholar
[16] Scholz C, Engel M, Poeschel T 2018 Nature Commun. 9 1497
Google Scholar
[17] Yan J, Han M, Zhang J, Xu C, Luijten E, Granick S 2016 Nature Mater. 15 1095
Google Scholar
[18] Zhang B, Snezhko A, Sokolov A 2022 Phys. Rev. Lett. 128 018004
Google Scholar
[19] Palacci J, Sacanna S, Steinberg A P, Pine D J, Chaikin P M 2013 Science 339 936
Google Scholar
[20] Wensink H H, Dunkel J, Heidenreich S, Drescher K, Goldstein R E, Loewen H, Yeomans J M 2012 Proc. Natl. Acad. Sci. USA 109 14308
Google Scholar
[21] Sitti M, Ceylan H, Hu W, Giltinan J, Turan M, Yim S, Diller E 2015 Proc. IEEE 103 205
Google Scholar
[22] Bricard A, Caussin J B, Das D, Savoie C, Chikkadi V, Shitara K, Chepizhko O, Peruani F, Saintillan D, Bartolo D 2015 Nature Commun. 6 7470
Google Scholar
[23] Chen J, Zhang H, Zheng X, Cui H 2014 AIP Adv. 4 031325
Google Scholar
[24] Nadal F, Michelin S 2020 J. Fluid Mech. 898 A10
Google Scholar
[25] Wu Y, Fu A, Yossifon G 2020 Sci. Adv. 6 eaay4412
Google Scholar
[26] Lee J G, Al Harraq A, Bishop K J M, Bharti B 2021 J. Phys. Chem. B 125 4232
Google Scholar
[27] Marcos J C U, Liebchen B 2023 Phys. Rev. Lett. 131 038201
Google Scholar
-
图 1 周期交流场驱动惯性活性粒子在周期边界中运动粒子快照图 (a) $ \omega =0.01 $; (b) $ \omega =10 $; (c) $ \omega =13 $; (d) $ \omega =14 $; (e) $ \omega = $$ 15 $; (f) $ \omega =16 $; (g) $ \omega =33 $; (h) $ \omega =46 $; (i) $ \omega =50 $; 其他参数设置为: $ I=3000,\; \varepsilon =1.0,\; {D}_{\mathrm{r}}=0.01 $和${{v}}_{0}=1.0 $. 其中, 用粒子填充颜色区分粒子在竖直方向的运动方向, 黑色表示$ {v}_{y} > 0 $, 绿色表示$ {v}_{y} < 0 $, 红色箭头表示粒子运动方向
Fig. 1. Particle snapshots of unbiased AC field-driven inertially active particles moving in the periodic boundary: (a) $ \omega =0.01 $; (b) $ \omega =10 $; (c) $ \omega =13 $; (d) $ \omega =14 $; (e) $ \omega =15 $; (f) $ \omega =16 $; (g) $ \omega =33 $; (h) $ \omega =46 $; (i) $ \omega =50 $. Other parameters are set to $ I=3000,\; { \varepsilon }=1.0,\; {D}_{\mathrm{r}}=0.01,$ and ${{v}}_{0}=1.0 $. Where the particle fill color is used to distinguish the particle motion direction in the vertical direction, black means $ {v}_{y} > 0 $, green means $ {v}_{y} < 0 $, and the red arrow indicates the direction of particle motion.
图 2 系统有效扩散系数$ {D}_{\mathrm{e}\mathrm{f}\mathrm{f}} $随周期交流场频率$ \omega $的变化. 其他参数设置为$ {I}=3000,\; \varepsilon=1.0,\; {D}_{\mathrm{r}}=0.01 $和${{v}}_{0}=1.0 $. 图中a, b, c, d, e及f点的状态分别对应图1(a)、图1(b)、图1(d)、图1(f)、图1(h)、图1(j)
Fig. 2. Variation of the effective diffusion coefficient $ {D}_{\mathrm{e}\mathrm{f}\mathrm{f}} $ of inertially active particles with AC field frequency $ \omega $. Other parameters are set to $ {I}= 3000,\; \varepsilon = 1.0,\; {{D}}_{\text{r}}= $$ 0.01 ,$ and ${{v}}_{0}= 1.0. $ The states at points a, b, c, d, e and f in the figure correspond to Fig. 1(a), Fig. 1(b), Fig. 1(d), Fig. 1(f), Fig. 1(h) and Fig. 1(j), respectively.
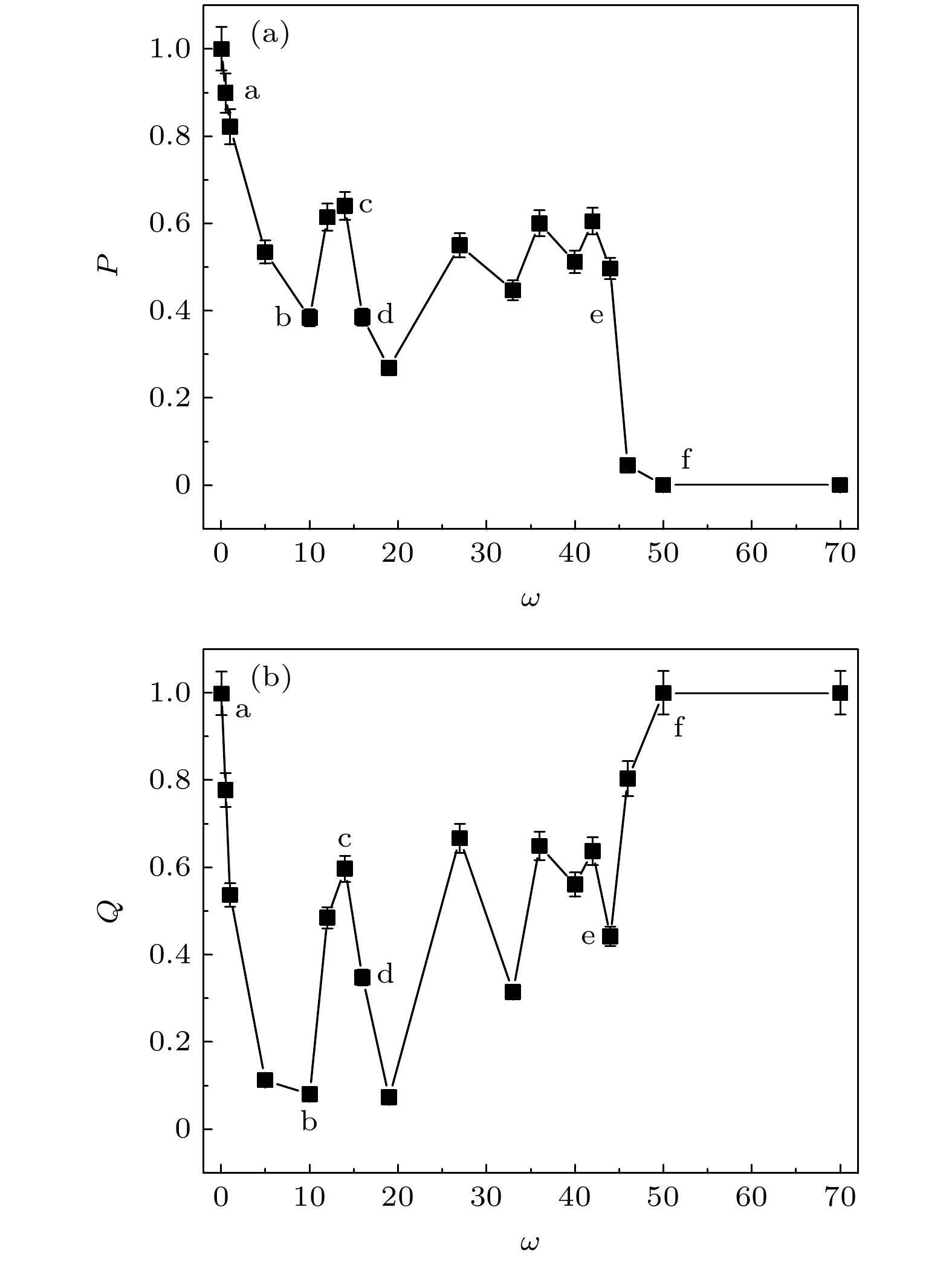
图 3 (a) 周期交流场驱动下系统极性序参量$ P $随交流场频率$ { \omega } $的变化; (b) 向列序参量$ Q $随交流场频率$ { \omega } $的变化. 其他参数设置为: $ {I}=3000,\; \varepsilon =1.0,\; {{D}}_{\text{r}}=0.01 $和${{v}}_{0}= 1.0 $. 图中a, b, c, d, e及f点的状态分别对应图1(a)、图1(b)、图1(d)、图1(f)、图1(h)、图1(j)
Fig. 3. (a) Variation of the system polarity order parameter P with AC field frequency $ \omega $; (b) variation of the vectorial order parameter $ Q $ with the AC field frequency $ \omega $. Other parameters are set to $ {I}= 3000,\; { \varepsilon }= 1.0,\; {{D}}_{\text{r}}= $$ 0.01, $ and ${{v}}_{0}=1.0. $ The states at points a, b, c, d, e and f in the figure correspond to Fig. 1(a), Fig. 1(b), Fig. 1(d), Fig. 1(f), Fig. 1(h) and Fig. 1(j), respectively.
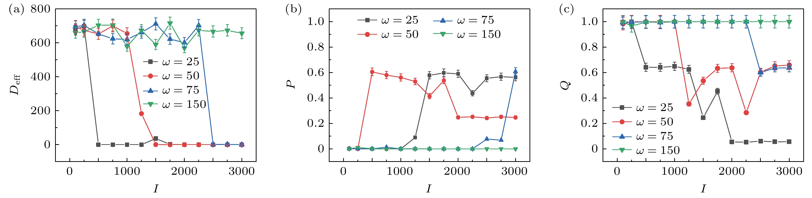
图 4 (a) 不同$ \omega $值下, 有效扩散系数$ {D}_{\mathrm{e}\mathrm{f}\mathrm{f}} $随周期交流场强度$ {I} $的变化; (b) 不同$ \omega $值下, 极性序参量$ P $随随交流场强度$ I $的变化; (c) 不同$ \omega $值下, 向列序参量$ Q $随交流场强度I的变化. 其他参数设置为: $ { \varepsilon }= 1.0, \;{{D}}_{\text{r}}= 0.01 $和${{v}}_{0}= 1.0 $
Fig. 4. (a) Variation of effective diffusion coefficient $ {{D}}_{\text{eff}} $ with AC field strength I for different $ \omega $; (b) variation of polarity order parameter P with AC field strength I for different $ \omega $; (c) variation of nematic order parameter $ Q $ with AC field strength $ I $ for different $ \omega $. The other parameters are set as $ { \varepsilon }= 1.0, \;{{D}}_{\text{r}}= 0.01, $ and ${{v}}_{0}= 1.0 $.
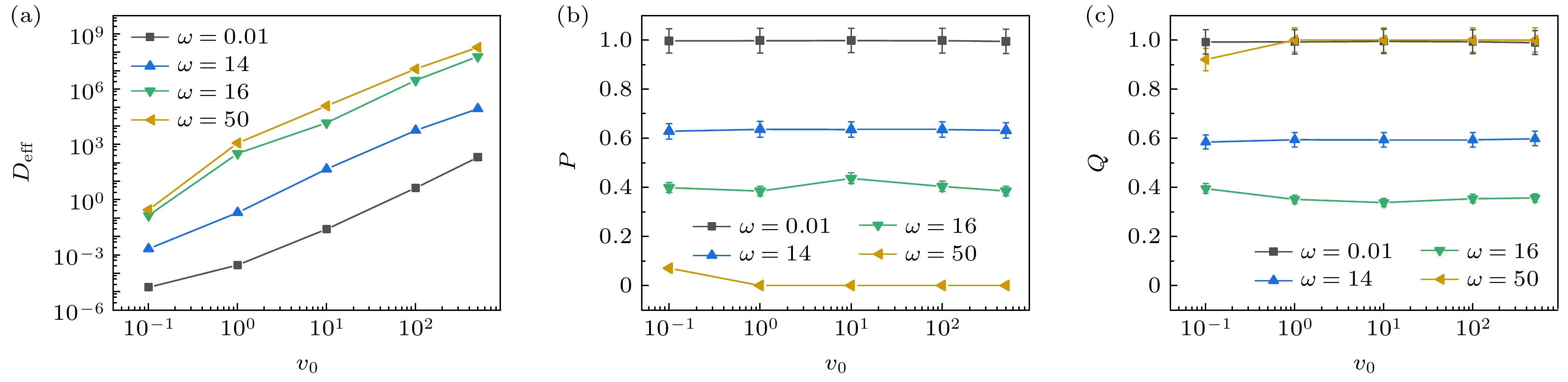
图 5 (a) 在不同$ \omega $值下, 系统有效扩散系数$ {D}_{\mathrm{e}\mathrm{f}\mathrm{f}} $随粒子自驱动速度$ {v}_{0} $的影响; (b) 在不同$ \omega $值下, 系统极性序参量$ {P} $随粒子自驱动速度$ {v}_{0} $的变化; (c) 在不同$ \omega $值下, 系统向列序参量$ Q $随粒子自驱动速度$ {v}_{0} $的变化. 其他参数设置为: $ { \varepsilon }= 1.0, \;{{D}}_{\text{r}}= 0.01$和${I}= 3000 $
Fig. 5. (a) Variation of effective diffusion coefficient $ {D}_{\mathrm{e}\mathrm{f}\mathrm{f}} $ with particle self-propulsion velocity $ {v}_{0} $ at different frequencies; (b) variation of the system polar order parameter P with the particle self-propulsion velocity $ {v}_{0} $ at different frequencies; (c) variation of the system nematic order parameter $ Q $ with the particle self-propulsion velocity $ {v}_{0} $ at different frequencies. The other parameters are set as $ \varepsilon = 1.0, \;{D_{\text{r}}} = 0.01 $ and $I = 3000 $.
图 6 (a) 不同$ \omega $值下, 系统有效扩散系数$ {D}_{\mathrm{e}\mathrm{f}\mathrm{f}} $随相互作用强度$ { \varepsilon } $的变化; (b) 不同$ \omega $值下, 系统极性序参量$P $随相互作用强度$ { \varepsilon } $的变化; (c) 不同$ \omega $值下, 系统向列序参量$Q $随相互作用强度$ { \varepsilon } $的变化. 其他参数设置为: $ {I}=3000, \;{{D}}_{\text{r}}=0.01$和${{v}}_{0}=1.0 $
Fig. 6. (a) Variation of effective diffusion coefficient $ {D}_{\mathrm{e}\mathrm{f}\mathrm{f}} $ with interaction strength $ { \varepsilon } $ for different AC field frequencies $ \omega $; (b) variation of the system polar order parameter $Q $ with interaction strength $ { \varepsilon } $ for different AC field frequencies $ \omega $; (c) variation of the system nematic order parameter $ Q $ with interaction strength $ { \varepsilon } $ for different AC field frequencies $ \omega $. The other parameters are set as $ {I}=3000, \;{D}_{\mathrm{r}}=0.01, $ and ${{v}}_{0}=1.0 $.
-
[1] Klotsa D 2019 Soft Matter 15 8946
Google Scholar
[2] Marchetti M C, Joanny J F, Ramaswamy S, Liverpool T B, Prost J, Rao M, Simha R A 2013 Rev. Mod. Phys. 85 1143
Google Scholar
[3] Nachtigall W 2001 Math. Meth. Appl. Sci. 24 1401
Google Scholar
[4] Dauchot O, Loewen H 2019 J. Chem. Phys. 151 114901
Google Scholar
[5] Wensink H H, Loewen H 2008 Phys. Rev. E 78 031409
Google Scholar
[6] Liu P, Zhu H, Zeng Y, Du G, Ning L, Wang D, Chen K, Lu Y, Zheng N, Ye F, Yang M 2020 Proc. Natl. Acad. Sci. USA 117 11901
Google Scholar
[7] Peruani F, Ginelli F, Baer M, Chate H 2011 J. Phys.: Conf. Ser. 297 0120140
Google Scholar
[8] Stenhammar J, Marenduzzo D, Allen R J, Cates M E 2014 Soft Matter 10 1489
Google Scholar
[9] Tailleur J, Cates M E 2008 Phys. Rev. Lett. 100 218103
Google Scholar
[10] Toner J, Tu Y H 1995 Phys. Rev. Lett. 75 4326
Google Scholar
[11] Liao G J, Hall C K, Klapp S H L 2020 Soft Matter 16 6443
Google Scholar
[12] Romanczuk P, Baer M, Ebeling W, Lindner B, Schimansky-Geier L 2012 European Physical Journal-Special Topics 202 1
Google Scholar
[13] Speck T 2020 Soft Matter 16 2652
Google Scholar
[14] Scholz C, Jahanshahi S, Ldov A, Loewen H 2018 Nature Commun. 9 5156
Google Scholar
[15] Mijalkov M, McDaniel A, Wehr J, Volpe G 2016 Phys. Rev. X 6 011008
Google Scholar
[16] Scholz C, Engel M, Poeschel T 2018 Nature Commun. 9 1497
Google Scholar
[17] Yan J, Han M, Zhang J, Xu C, Luijten E, Granick S 2016 Nature Mater. 15 1095
Google Scholar
[18] Zhang B, Snezhko A, Sokolov A 2022 Phys. Rev. Lett. 128 018004
Google Scholar
[19] Palacci J, Sacanna S, Steinberg A P, Pine D J, Chaikin P M 2013 Science 339 936
Google Scholar
[20] Wensink H H, Dunkel J, Heidenreich S, Drescher K, Goldstein R E, Loewen H, Yeomans J M 2012 Proc. Natl. Acad. Sci. USA 109 14308
Google Scholar
[21] Sitti M, Ceylan H, Hu W, Giltinan J, Turan M, Yim S, Diller E 2015 Proc. IEEE 103 205
Google Scholar
[22] Bricard A, Caussin J B, Das D, Savoie C, Chikkadi V, Shitara K, Chepizhko O, Peruani F, Saintillan D, Bartolo D 2015 Nature Commun. 6 7470
Google Scholar
[23] Chen J, Zhang H, Zheng X, Cui H 2014 AIP Adv. 4 031325
Google Scholar
[24] Nadal F, Michelin S 2020 J. Fluid Mech. 898 A10
Google Scholar
[25] Wu Y, Fu A, Yossifon G 2020 Sci. Adv. 6 eaay4412
Google Scholar
[26] Lee J G, Al Harraq A, Bishop K J M, Bharti B 2021 J. Phys. Chem. B 125 4232
Google Scholar
[27] Marcos J C U, Liebchen B 2023 Phys. Rev. Lett. 131 038201
Google Scholar
计量
- 文章访问数: 876
- PDF下载量: 31
- 被引次数: 0








下载: