-
针对实际应用中由非均匀激波驱动的界面失稳问题, 开展了马赫反射波系与平面气体界面相互作用的机理研究, 重点探讨了马赫杆尺度效应对界面失稳演化和扰动增长的影响. 结果表明, 马赫反射波系冲击界面时, 通过复杂波系作用在界面上印刻速度扰动, 诱发了界面失稳. 随后, 在波后流场非均匀性的影响下, 界面进一步演化形成凹腔和“射流状气泡”结构, 显著区别于经典Richtmyer-Meshkov不稳定性中的尖钉与气泡. 扰动振幅的定量分析表明, 界面失稳演化可分为初期线性增长和后期非线性发展两个阶段. 其中, 滑移线弯曲和卷曲射流驱动的界面变形, 是界面演化向非线性阶段转变的关键物理机制. 马赫杆尺度决定了滑移线卷曲和射流形成的特征时间. 在线性阶段, 扰动增长由马赫反射波系的激波强度和入射角度主导, 与马赫杆尺度无关; 而在非线性阶段, 界面扰动增长率随着马赫杆尺度的增大而增大. 基于数值模拟结果对理论模型进行了考察, 结果表明, 现有理论模型可有效地预测马赫反射波系印刻的界面速度扰动, 但无法考虑马赫杆尺度效应和波后非均匀流场的影响. 本研究揭示了界面失稳演化与马赫反射波系激波强度、入射角度及马赫杆尺度之间的内在关系, 对界面扰动增长理论模型的建立具有重要意义.
-
关键词:
- Richtmyer-Meshkov不稳定性 /
- 激波 /
- 马赫反射 /
- 射流
In order to better understand and predict the complex interface instability phenomena induced by non-uniform shock waves in practical engineering and scientific applications, a detailed investigation has been conducted on the interaction between a Mach reflection wave configuration and a planar gas interface. Particular attention is paid to the role of the Mach stem scale in governing the evolution of interface instability and the associated mechanisms of perturbation growth. Numerical simulations show that when the Mach reflection wave configuration interacts with the interface, the complex wave structures impart initial velocity perturbations onto the interface, thereby triggering instability. This process is further influenced by the non-uniform post-shock flow field, under which the initially perturbed interface gradually evolves into a concave cavity and subsequently into jet-like bubble structures. These patterns are notably different from the spike and bubble morphologies observed in classical Richtmyer-Meshkov instability. A systematic quantitative analysis of the perturbation amplitude reveals that the instability growth can be divided into two different stages: an initial linear growth stage and a nonlinear development stage. The transition between these stages is governed by interface deformation mechanisms, particularly the bending of the slip line intersecting the interface and the subsequent formation of the curl-up jet. When the shock strength and incidence angle of the Mach reflection configuration are kept constant, the Mach stem scale emerges as the decisive parameter controlling the characteristic time of slip line curling and jet development. The results show that during the linear stage, perturbation growth is primarily determined by shock strength and incidence angle, and is insensitive to the Mach stem scale. In contrast, during the nonlinear stage, the perturbation growth rate increases with the augmentation of Mach stem scales, highlighting the scale-dependent nature of the nonlinear stage. Furthermore, theoretical models are critically examined against numerical simulation results. While existing models can reasonably capture the initial velocity perturbations imprinted on the interface by the Mach reflection configuration, they are unable to combine the effects of Mach stem scale and the sustained driving influence of post-shock flow non-uniformities. This limitation underscores the need for improved theoretical descriptions. Overall, these findings provide new insights into the intrinsic coupling among shock strength, incidence angle, and Mach stem scale in determining the evolution of shock-induced interface instability. These insights not only deepen the fundamental understanding of the non-stand RM instability but also provide valuable references for the development of predictive theoretical models and the engineering applications such as inertial confinement fusion and high-speed propulsion systems.-
Keywords:
- Richtmyer-Meshkov instability /
- shock wave /
- Mach reflection /
- jet
[1] Richtmyer R D 1960 Commun. Pure. Appl. Math. 13 297
Google Scholar
[2] Meshkov E E 1969 Fluid Dyn. 4 101
Google Scholar
[3] Smalyuk V A, Weber C R, Landen O L, et al. 2020 Plasma Phys. Controlled Fusion 62 014007
Google Scholar
[4] Chen Z, Yuan Y T, Wang L F, Tu S Y, Miao W Y, Wu J F, Ye W H, Deng K L, Hou L F, Wei M X, Li Y J, Yin C S, Dai Z S, Han X Y, Li Y S, Li Z Y, Zhang C, Pu Y D, Dong Y S, Yang D, Yang J M, Zheng W D, Zou S Y, Wang M, Ding Y K, Zhu S P, Zhang W Y, He X T 2024 Phys. Rev. Lett. 133 135101
Google Scholar
[5] 孙锦山 2009 力学进展 39 460
Google Scholar
Sun J S 2009 Adv. Mech. 39 460
Google Scholar
[6] 王裴, 何安民, 邵建立, 孙海权, 陈大伟, 刘文斌, 刘军 2018 中国科学: 物理学 力学 天文学 48 094608
Google Scholar
Wang P, He A M, Shao J L, Sun H Q, Chen D W, Liu W B, Liu J 2018 Sci. Sin. -Phys. Mech. Astron. 48 094608
Google Scholar
[7] Ren Z, Wang B, Xiang G, Zhao D, Zhang L 2019 Prog. Aeronaut. Sci. 105 40
Google Scholar
[8] Dimotakis P E 2005 Annu. Rev. Fluid Mech. 37 329
Google Scholar
[9] 邹立勇, 吴强, 李欣竹 2020 中国科学: 物理学 力学 天文学 50 104702
Google Scholar
Zou L Y, Wu Q, Li X Z 2020 Sci. Sin. -Phys. Mech. Astron. 50 104702
Google Scholar
[10] Zhang E L, Liao S F, Zou L Y, Zhai Z G, Liu J H, Li X Z 2024 J. Fluid Mech. 984 A49
Google Scholar
[11] Zhou Y, Sadler J D, Hurricane O A 2025 Annu. Rev. Fluid Mech. 57 197
Google Scholar
[12] Zhou Y 2017 Phys. Rep. 720–722 1
Google Scholar
[13] 孙贝贝, 叶文华, 张维岩 2023 72 194701
Google Scholar
Sun B B, Ye W H, Zhang W Y 2023 Acta Phys. Sin. 72 194701
Google Scholar
[14] 张升博, 张焕好, 陈志华, 郑纯 2023 72 105202
Google Scholar
Zhang S B, Zhang H H, Chen Z H, Zheng C 2023 Acta Phys. Sin. 72 105202
Google Scholar
[15] Zhai Z G, Zou L Y, WU Q, Luo X S 2018 Proc. Inst. Mech. Eng. , Part C 232 2830
Google Scholar
[16] Xu A G, Zhang D J, Gan Y B 2024 Front. Phys 19 42500
Google Scholar
[17] 袁永腾, 涂绍勇, 尹传盛, 李纪伟, 戴振生, 杨正华, 侯立飞, 詹夏宇, 晏骥, 董云松, 蒲昱东, 邹士阳, 杨家敏, 缪文勇 2021 70 205203
Google Scholar
Yuan Y T, Tu S Y, Yin C S, Li J W, Dai Z S, Yang Z H, Hou L F, Zhan X Y, Yan J, Dong Y S, Pu Y D, Zou S Y, Yang J M, Miao W Y 2021 Acta Phys. Sin. 70 205203
Google Scholar
[18] Zhou Y 2024 Hydrodynamic Instabilities and Turbulence: Rayleigh-Taylor, Richtmyer-Meshkov, and Kelvin-Helmholtz Mixing (Cambridge: Cambridge University Press) pp242–246
[19] Thomas V A, Kares R J 2012 Phys. Rev. Lett. 109 075004
Google Scholar
[20] Ishizaki R, Nishihara K, Sakagami H, Ueshima Y 1996 Phys. Rev. E 53 R5592
Google Scholar
[21] Wang H, Zhai Z G, Luo X S 2022 J. Fluid Mech. 947 A42
Google Scholar
[22] 刘金宏, 邹立勇, 曹仁义, 廖深飞, 王彦平 2014 力学学报 46 475
Google Scholar
Liu J H, Zou L Y, Cao R Y, Liao S F, Wang Y P 2014 Chin. J. Theor. Appl. Mech. 46 475
Google Scholar
[23] Zou L Y, Liu J H, Liao S F, Zheng X X, Zhai Z G, Luo X S 2017 Phys. Rev. E 95 013107
Google Scholar
[24] Liao S F, Zhang W B, Chen H, Zou L Y, Liu J H, Zheng X X 2019 Phys. Rev. E 99 013103
Google Scholar
[25] Wang Z, Wang T, Bai J S, Xiao J X 2019 J. Turbul. 20 481
Google Scholar
[26] He Y F, Peng N F, Li H F, Tian B L, Yang Y 2023 Phys. Rev. Fluids 8 063402
Google Scholar
[27] Synthetik Applied Technologies LLC 2020 BlastFoam: A Solver for Compressible Multi-Fluid Flow with Application to High-Explosive Detonation [2020-4-13]
[28] Toro E F, Spruce M, Speares W 1994 Shock Waves 4 25
Google Scholar
[29] Li L F, Jin T, Zou L Y, Luo K, Fan J R 2023 Phys. Fluids 35 026104
Google Scholar
[30] Chen Y F, Jin T, Liang Z H, Zou L Y 2023 Phys. Fluids 35 114103
Google Scholar
[31] Bryson A E, Gross R W 1961 J. Fluid Mech. 10 1
Google Scholar
[32] 张恩来, 廖深飞, 邹立勇, 刘金宏, 李欣竹, 梁正虹 2024 中国科学: 物理学 力学 天文学 54 104704
Google Scholar
Zhang E L, Liao S F, Zou L Y, Liu J H, Li X Z, Liang Z H 2024 Sci. Sin. Phys. Mech. Astron 54 104704
Google Scholar
[33] 霍新贺, 王立锋, 陶烨晟, 李英骏 2013 62 144705
Google Scholar
Huo X H, Wang L F, Tao Y S, Li Y J 2013 Acta Phys. Sin. 62 144705
Google Scholar
[34] 高云亮, 姜宗林 2009 爆炸与冲击 29 143
Google Scholar
Gao Y L, Jiang Z L 2009 Explosion and Shock Waves 29 143
Google Scholar
[35] Winkler K A, Chalmers J W, Hodson S W, Woodward P R, Zabusky N J 1987 Phys. Today 40 28
Google Scholar
[36] Henderson L F, Vasilev E I, Ben-Dor G, Elperin T 2003 J. Fluid Mech. 479 259
Google Scholar
[37] Liang Y, Ding J C, Zhai Z G, Si T, Luo X S 2017 Phys. Fluids 29 086101
Google Scholar
[38] Zhai Z G, Liang Y, Liu L L, Ding J C, Luo X S, Zou L Y 2018 Phys. Fluids 30 046104
Google Scholar
[39] Zou L Y, Al-Marouf M, Cheng W, Samtaney R, Ding J C, Luo X S 2019 J. Fluid Mech. 879 448
Google Scholar
-
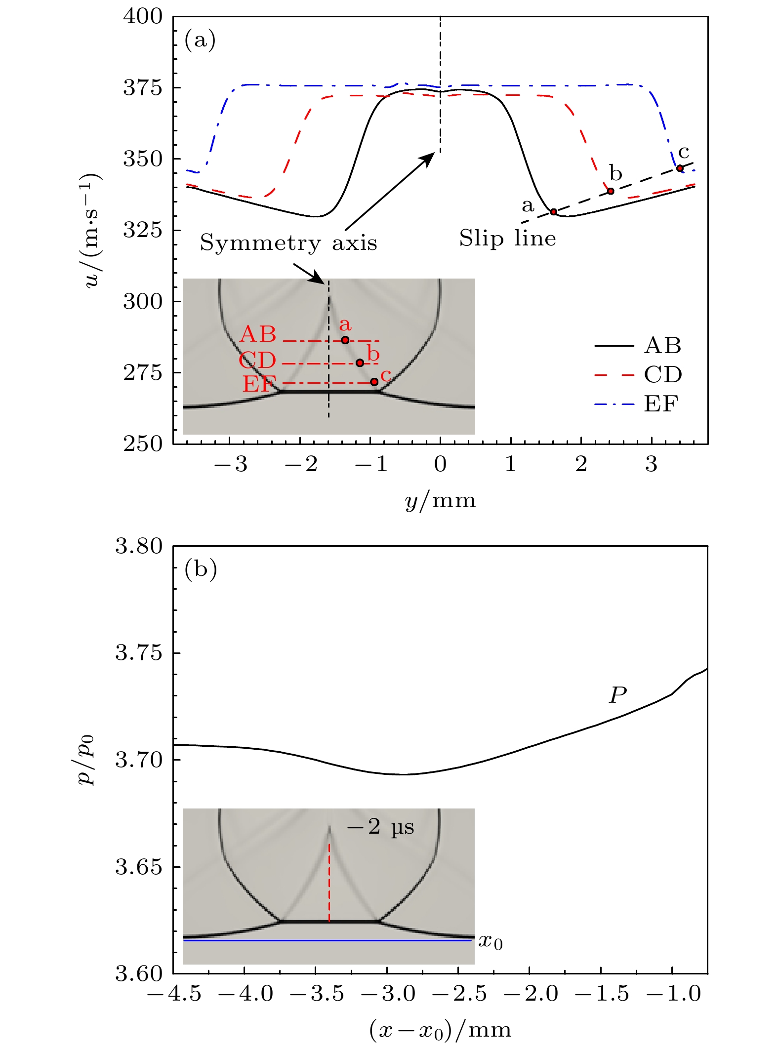
图 6 马赫反射波系与平面界面作用过程的数值纹影图(左)和波系示意图(右) (a) t = –4 μs; (b) t = –1 μs; (c) t = 0 μs; (d) t = 5 μs
Fig. 6. Numerical schlieren images (left) and wave configuration diagrams (right) of the flow field resulting from the interaction between a Mach reflection wave configuration and an interface: (a) t = –4 μs; (b) t = –1 μs; (c) t = 0 μs; (d) t = 5 μs.
图 9 情形I界面演化定量分析 (a) 界面扰动振幅; (b) 界面扰动增长率; (c) 气泡头部速度; (d) 凹腔肩部和底部的高度
Fig. 9. Quantitative analysis of interface evolution for case I: (a) Interface perturbation amplitude; (b) interface perturbation growth rate; (c) the velocity of the bubble head; (d) the height of the cavity shoulder and cavity bottom.
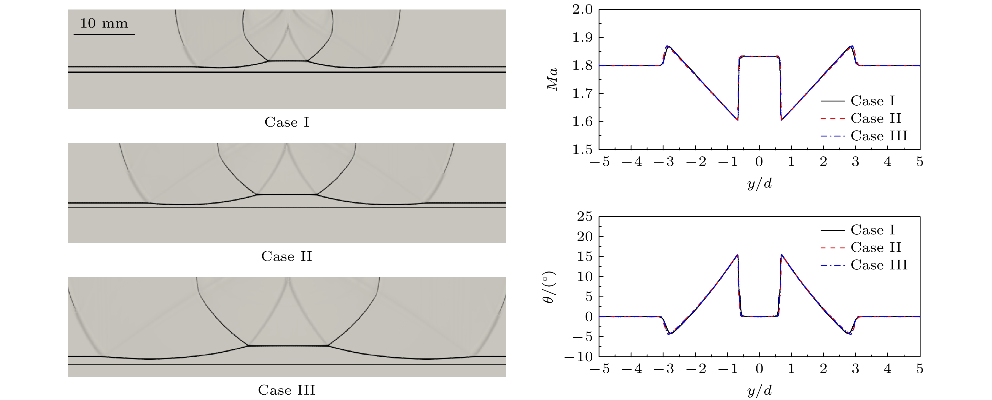
表 1 入射马赫反射波系参数
Table 1. Parameters of the incident Mach reflection wave configuration.
Case d/mm l/mm η Msi Msm αi/(°) lm/mm I 5 20 4.0 1.62 1.82 14.2 7.12 II 7.5 30 4.0 1.61 1.82 14.3 10.56 III 10 40 4.0 1.62 1.82 14.6 14.04 Zhang[10] 10 40 4.0 1.62 1.83 14.4 / -
[1] Richtmyer R D 1960 Commun. Pure. Appl. Math. 13 297
Google Scholar
[2] Meshkov E E 1969 Fluid Dyn. 4 101
Google Scholar
[3] Smalyuk V A, Weber C R, Landen O L, et al. 2020 Plasma Phys. Controlled Fusion 62 014007
Google Scholar
[4] Chen Z, Yuan Y T, Wang L F, Tu S Y, Miao W Y, Wu J F, Ye W H, Deng K L, Hou L F, Wei M X, Li Y J, Yin C S, Dai Z S, Han X Y, Li Y S, Li Z Y, Zhang C, Pu Y D, Dong Y S, Yang D, Yang J M, Zheng W D, Zou S Y, Wang M, Ding Y K, Zhu S P, Zhang W Y, He X T 2024 Phys. Rev. Lett. 133 135101
Google Scholar
[5] 孙锦山 2009 力学进展 39 460
Google Scholar
Sun J S 2009 Adv. Mech. 39 460
Google Scholar
[6] 王裴, 何安民, 邵建立, 孙海权, 陈大伟, 刘文斌, 刘军 2018 中国科学: 物理学 力学 天文学 48 094608
Google Scholar
Wang P, He A M, Shao J L, Sun H Q, Chen D W, Liu W B, Liu J 2018 Sci. Sin. -Phys. Mech. Astron. 48 094608
Google Scholar
[7] Ren Z, Wang B, Xiang G, Zhao D, Zhang L 2019 Prog. Aeronaut. Sci. 105 40
Google Scholar
[8] Dimotakis P E 2005 Annu. Rev. Fluid Mech. 37 329
Google Scholar
[9] 邹立勇, 吴强, 李欣竹 2020 中国科学: 物理学 力学 天文学 50 104702
Google Scholar
Zou L Y, Wu Q, Li X Z 2020 Sci. Sin. -Phys. Mech. Astron. 50 104702
Google Scholar
[10] Zhang E L, Liao S F, Zou L Y, Zhai Z G, Liu J H, Li X Z 2024 J. Fluid Mech. 984 A49
Google Scholar
[11] Zhou Y, Sadler J D, Hurricane O A 2025 Annu. Rev. Fluid Mech. 57 197
Google Scholar
[12] Zhou Y 2017 Phys. Rep. 720–722 1
Google Scholar
[13] 孙贝贝, 叶文华, 张维岩 2023 72 194701
Google Scholar
Sun B B, Ye W H, Zhang W Y 2023 Acta Phys. Sin. 72 194701
Google Scholar
[14] 张升博, 张焕好, 陈志华, 郑纯 2023 72 105202
Google Scholar
Zhang S B, Zhang H H, Chen Z H, Zheng C 2023 Acta Phys. Sin. 72 105202
Google Scholar
[15] Zhai Z G, Zou L Y, WU Q, Luo X S 2018 Proc. Inst. Mech. Eng. , Part C 232 2830
Google Scholar
[16] Xu A G, Zhang D J, Gan Y B 2024 Front. Phys 19 42500
Google Scholar
[17] 袁永腾, 涂绍勇, 尹传盛, 李纪伟, 戴振生, 杨正华, 侯立飞, 詹夏宇, 晏骥, 董云松, 蒲昱东, 邹士阳, 杨家敏, 缪文勇 2021 70 205203
Google Scholar
Yuan Y T, Tu S Y, Yin C S, Li J W, Dai Z S, Yang Z H, Hou L F, Zhan X Y, Yan J, Dong Y S, Pu Y D, Zou S Y, Yang J M, Miao W Y 2021 Acta Phys. Sin. 70 205203
Google Scholar
[18] Zhou Y 2024 Hydrodynamic Instabilities and Turbulence: Rayleigh-Taylor, Richtmyer-Meshkov, and Kelvin-Helmholtz Mixing (Cambridge: Cambridge University Press) pp242–246
[19] Thomas V A, Kares R J 2012 Phys. Rev. Lett. 109 075004
Google Scholar
[20] Ishizaki R, Nishihara K, Sakagami H, Ueshima Y 1996 Phys. Rev. E 53 R5592
Google Scholar
[21] Wang H, Zhai Z G, Luo X S 2022 J. Fluid Mech. 947 A42
Google Scholar
[22] 刘金宏, 邹立勇, 曹仁义, 廖深飞, 王彦平 2014 力学学报 46 475
Google Scholar
Liu J H, Zou L Y, Cao R Y, Liao S F, Wang Y P 2014 Chin. J. Theor. Appl. Mech. 46 475
Google Scholar
[23] Zou L Y, Liu J H, Liao S F, Zheng X X, Zhai Z G, Luo X S 2017 Phys. Rev. E 95 013107
Google Scholar
[24] Liao S F, Zhang W B, Chen H, Zou L Y, Liu J H, Zheng X X 2019 Phys. Rev. E 99 013103
Google Scholar
[25] Wang Z, Wang T, Bai J S, Xiao J X 2019 J. Turbul. 20 481
Google Scholar
[26] He Y F, Peng N F, Li H F, Tian B L, Yang Y 2023 Phys. Rev. Fluids 8 063402
Google Scholar
[27] Synthetik Applied Technologies LLC 2020 BlastFoam: A Solver for Compressible Multi-Fluid Flow with Application to High-Explosive Detonation [2020-4-13]
[28] Toro E F, Spruce M, Speares W 1994 Shock Waves 4 25
Google Scholar
[29] Li L F, Jin T, Zou L Y, Luo K, Fan J R 2023 Phys. Fluids 35 026104
Google Scholar
[30] Chen Y F, Jin T, Liang Z H, Zou L Y 2023 Phys. Fluids 35 114103
Google Scholar
[31] Bryson A E, Gross R W 1961 J. Fluid Mech. 10 1
Google Scholar
[32] 张恩来, 廖深飞, 邹立勇, 刘金宏, 李欣竹, 梁正虹 2024 中国科学: 物理学 力学 天文学 54 104704
Google Scholar
Zhang E L, Liao S F, Zou L Y, Liu J H, Li X Z, Liang Z H 2024 Sci. Sin. Phys. Mech. Astron 54 104704
Google Scholar
[33] 霍新贺, 王立锋, 陶烨晟, 李英骏 2013 62 144705
Google Scholar
Huo X H, Wang L F, Tao Y S, Li Y J 2013 Acta Phys. Sin. 62 144705
Google Scholar
[34] 高云亮, 姜宗林 2009 爆炸与冲击 29 143
Google Scholar
Gao Y L, Jiang Z L 2009 Explosion and Shock Waves 29 143
Google Scholar
[35] Winkler K A, Chalmers J W, Hodson S W, Woodward P R, Zabusky N J 1987 Phys. Today 40 28
Google Scholar
[36] Henderson L F, Vasilev E I, Ben-Dor G, Elperin T 2003 J. Fluid Mech. 479 259
Google Scholar
[37] Liang Y, Ding J C, Zhai Z G, Si T, Luo X S 2017 Phys. Fluids 29 086101
Google Scholar
[38] Zhai Z G, Liang Y, Liu L L, Ding J C, Luo X S, Zou L Y 2018 Phys. Fluids 30 046104
Google Scholar
[39] Zou L Y, Al-Marouf M, Cheng W, Samtaney R, Ding J C, Luo X S 2019 J. Fluid Mech. 879 448
Google Scholar
计量
- 文章访问数: 1099
- PDF下载量: 23
- 被引次数: 0








下载: