-
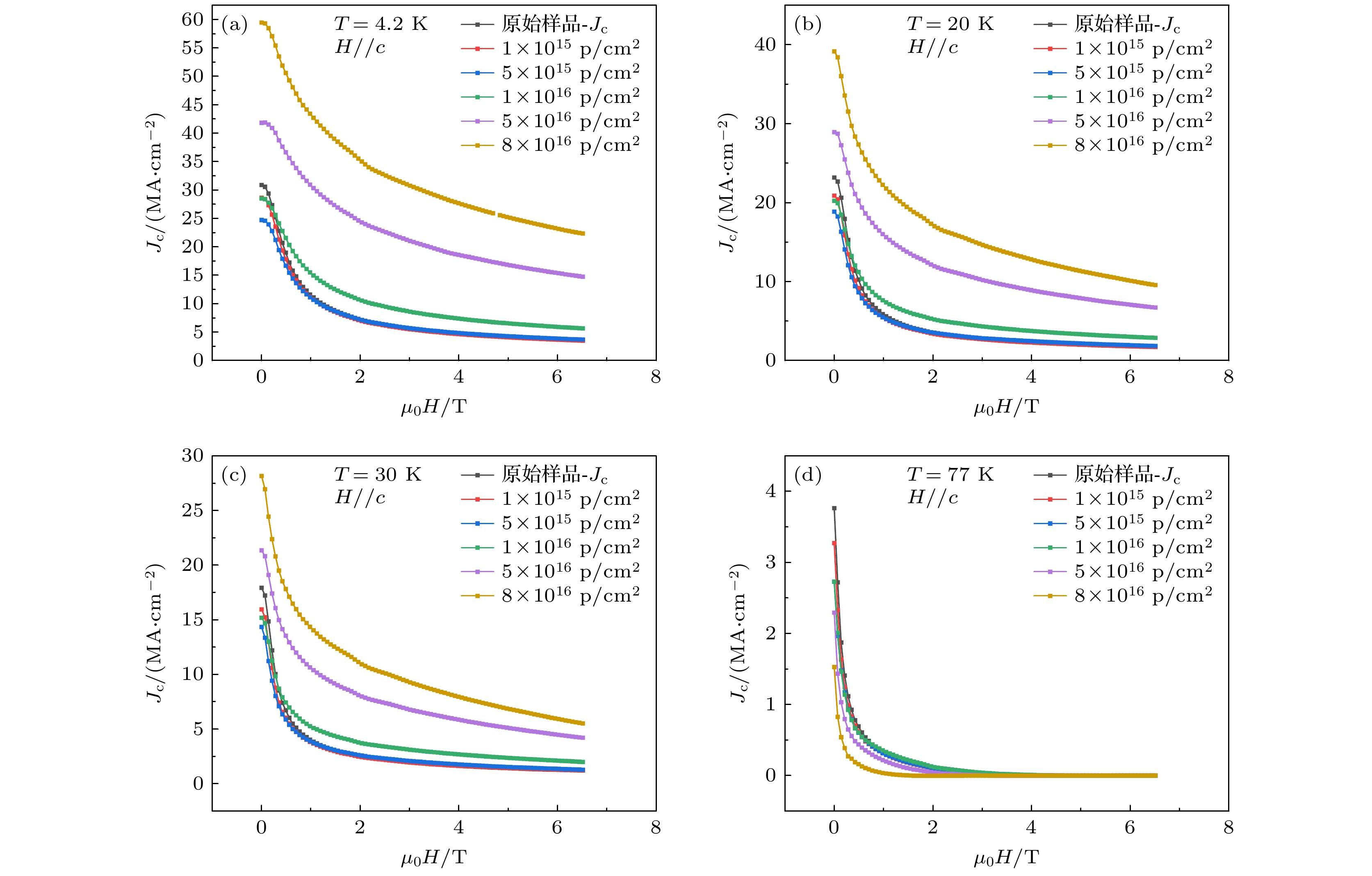
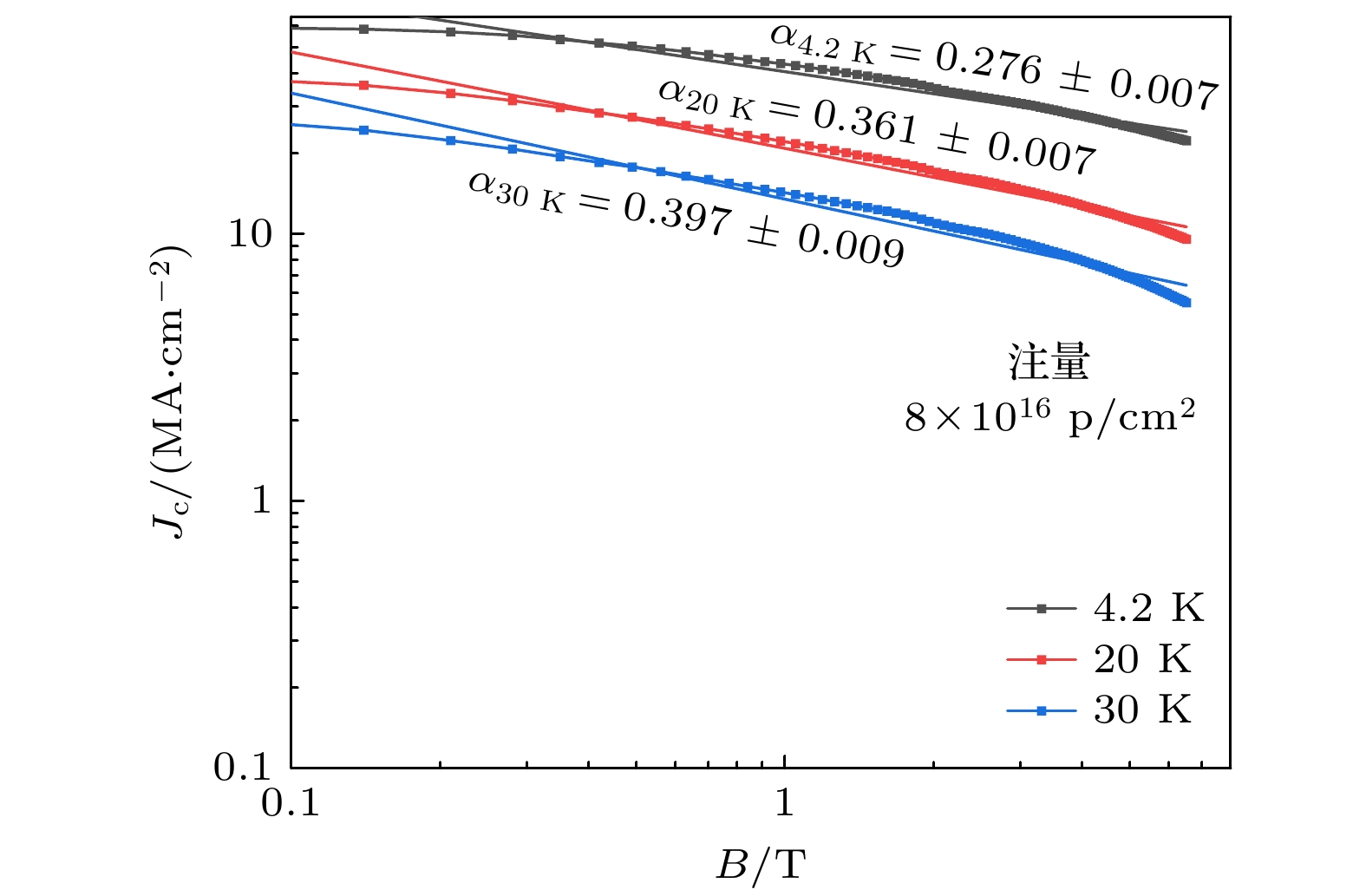
为提升钇钡铜氧(YBCO)高温超导带材的临界载流能力, 本研究创新性地采用质子辐照技术对工程实用化YBCO带材进行缺陷调控. 基于4.5 MV静电加速器材料辐照终端, 系统开展了3 MeV质子束流在不同注量下的辐照实验, 成功在超导体中构建高密度、低维度的可控人工钉扎中心. 这种缺陷工程通过为磁通线创造低能量钉扎位点, 显著抑制了磁通蠕动现象并增强钉扎作用, 从而显著削弱外磁场对临界电流(Ic)的抑制作用. 实验数据显示, 在注量率为8×1016 p/cm2的辐照条件下, 样品在4.2 K@6.5 T极端工况下的临界电流实现了8倍的突破性提升, 同时在20 K@5 T, 30 K@4 T下临界电流密度最大提升因子分别也达到5.5倍、4.8倍. 这一性能突破显著增强了超导带材在低温高场环境中的应用潜力, 尤其适用于离子加速器、聚变反应堆等对高性能超导磁体有迫切需求的前沿领域. 研究证实, 离子辐照技术无需改变YBCO带材的现有制备工艺, 即可通过缺陷工程实现临界性能的高效优化, 为超导材料的实用化性能调控提供了一条工艺兼容性强、可行性高的技术路径.This research adopts an innovative method, i.e. proton irradiation technology, for realizing defect control in practical engineering yttrium barium copper oxide (YBCO) tapes, in order to improve the critical current density of YBCO high-temperature superconducting tapes in high magnetic fields. Based on the material irradiation terminal of the 4.5 MV electrostatic accelerator at Peking University, systematic irradiation experiments are conducted using 3 MeV proton beams on YBCO superconducting tapes at different fluence rates, successfully constructing high-density, low-dimensional controllable artificial pinning centers in the high superconducting tapes. This defect engineering significantly suppresses the flux creep phenomenon and enhances the pinning effect by creating low-energy pinning sites for flux lines, thereby significantly weakening the inhibitory effect of external magnetic fields on critical current (Ic). Comparative analysis of superconducting tapes before and after irradiation is conducted, including superconducting transition temperature, superconducting critical performance, and dependence of critical current density on magnetic field. As the irradiation dose increases, high-density point defects (vacancies, interstitial atoms, etc.) and a small number of vacancy clusters are implanted inside the superconducting tape, resulting in a corresponding decrease in the superconducting phase. Therefore, as the dose increases, the orderliness of the superconducting phase in the superconducting tape decreases sharply, leading to a gradual widening of the superconducting transition temperature zone. By measuring the hysteresis loops of samples irradiated with different doses of protons and calculating the critical current density Jc based on the Bean model, the experimental data show that under irradiation conditions with a fluence rate of 8×1016 P/cm2, the critical current of the sample under extreme operating conditions of 4.2 K and 6.5 T achieves an 8-fold breakthrough improvement. Meanwhile, the maximum improvement factors in critical current density at 20 K and 5 T and 30 K and 4 T are also 5.5 times and 4.8 times, respectively. The logarithmic curve is fitted using the Jc ∝ B-α power exponent model, with the power parameter α values of 0.276, 0.361, and 0.397 for the variation of critical current density with magnetic field in three temperature ranges of 4.2 K, 20 K, and 30 K, respectively. This indicates that the superconducting tape irradiated with protons will form more effective strong pinning centers at lower temperatures, reducing the dependence of the critical current density of the superconducting tape on the magnetic field. This performance breakthrough significantly enhances the application potential of high superconducting tapes in low-temperature and high magnetic fields environments, especially in frontier fields such as particle accelerators and fusion reactors, where there is an urgent demand for high-performance superconducting magnets. This work confirms that the proton irradiation technology can efficiently optimize critical performance through defect engineering without changing the existing preparation process of YBCO tapes, thereby providing a highly feasible and process-compatible technical path for realizing the practical performance control of superconducting materials.
-
Keywords:
- YBCO /
- proton irradiation /
- pinning centers /
- critical current density
-
图 8 (a)—(c) 分别为4.2 K, 20 K, 30 K温度环境下不同注量的超导带材提升因子随磁场的变化; (d) 注量为8×1016 p/cm2时, 不同温度的超导带材提升因子随磁场的变化
Fig. 8. (a)–(c) Enhancement factor of superconducting tapes with different flux levels under magnetic fields at temperatures of 4.2 K, 20 K, and 30 K, respectively; (d) enhancement factor of superconducting tapes at different temperatures with the magnetic field at a flux of 8 × 1016 p/cm2.
表 1 不同离子、能量、注量对REBCO的临界电流性能的提升
Table 1. Enhancement of the critical current density of REBCO by different ions, energies, and fluence.
离子
种类能量/
MeV流强/
nA注量/
(ions·cm–2)Jc 备注 Au 18 120 6×1011 ↑2.5 27 K@3 T He 2.5 200 3×1015 ↑1.8 10 K@7 T Ar 2.5 120 5×1011 ↑2.2 10 K@7 T Ta 1900 — 5×1011 ↑4.4 10 K@7 T 表 2 超导带材辐照注量
Table 2. Irradiation fluence of superconducting tape.
离子种类 样品 能量/MeV 流强/nA 注量/(p·cm–2) H 超导带材 3 1000 1×1015 5×1015 1×1016 5×1016 8×1016 -
[1] Kwok W K, Ulrich W, Glatz A, Koshelev A E, Kihlstrom K J, Crabtree G W 2016 Rep. Prog. Phys. 79 116501
Google Scholar
[2] Kwon C, Kinder L R, Gim Y, Fan Y, Coulter J Y, Maley M P, Foltyn S R, Peterson D E, Jia Q X 1999 IEEE Trans. Appl. Supercond. 9 1575
Google Scholar
[3] Haberkorn N, Miura M, Baca J, Maiorov B, Usov I, Dowden P, Foltyn S R, Holesinger T G, Willis J O, Marken K R, Izumi T, Shiohara Y, Civale L 2012 Phys. Rev. 85 174504
Google Scholar
[4] Xavier O, Teresa P 2014 Supercond. Sci. Technol. 27 044003
Google Scholar
[5] Yuh S, Takahiro T, Masateru Y 2012 Jpn. J. Appl. Phys. 51 010007
Google Scholar
[6] Sato S, Honma T, Takahashi S, Sato K, Watanabe M, Ichikawa K, Takeda K, Nakagawa K, Saito A, Ohshima S 2013 IEEE Trans. Appl. Supercond. 23 7200404
Google Scholar
[7] Macmanus-Driscoll J L, Foltyn S R, Jia Q X, Wang H, Serquis A, Civale L, Maiorov B, Hawley M E, Maley M P, Peterson D E 2004 Nat. Mater. 3 439
Google Scholar
[8] Zhou Y X, Ghalsasi S, Rusakova I, Salama K 2007 Supercond. Sci. Technol. 20 S147
Google Scholar
[9] Jia Y, LeRoux M, Miller D J, Wen J G, Kwok W K, Welp U, Rupich M W, Li X, Sathyamurthy S, Fleshler S, Malozemoff A P, Kayani A, Ayala-Valenzuela O, Civale L 2013 Appl. Phys. Lett. 103 010007
[10] Leroux M, Kihlstrom K J, Holleis S, Rupich M W, Sathyamurthy S, leshler S, Sheng H P, Miller D J, Eley S, Civale L, Kayani A, Niraula P M, Welp U, Kwok W K 2015 Appl. Phys. Lett. 107 192601
Google Scholar
[11] Fischer D X, Prokopec R, Emhofer J, Eisterer M 2018 Supercond. Sci. Technol. 31 044006
Google Scholar
[12] Khadzhai G Y, Litvinov Y V, Vovk R V, Zdorovko S F, Goulatis I L, Chroneos A 2018 J. Mater. Sci. Mater. El. 29 7725
Google Scholar
[13] Biswal R, John J, Behera D, Kanjilal D, Avasthi D K, Mishra N C 2008 Supercond. Sci. Technol. 1063 245
[14] Civale L, Marwick A D, Worthington T K, Kirk M A, Thompson J R, Krusin-Elbaum L, Sun Y, Clem J R, Holtzberg F 1991 Phys. Rev. Lett. 67 648
Google Scholar
[15] Gu Y, Cai C B, Liu Z Y, Liu J, Liu L, Huang R T 2021 J. Appl. Phys. 130 085304
Google Scholar
[16] Rupich M W, Sathyamurthy S, Fleshler S, Li Q, Solovyov V, Ozaki T, Welp U, Kwok W K, Leroux M, Koshelev A E, Miller D J, Kihlstrom K, Civale L, Eley S, Kayani A 2016 IEEE Trans. Appl. Supercond. 26 1
[17] Eley S, Leroux M, Rupich M W, Miller D J, Sheng H, Niraula P M, Kayani A, Welp U, Kwok W K, Civale L 2017 Superconductor Science Technology 30 305
[18] Gao Y, Wang J Y, Yang X J, Gong J H, Lu X C 2015 Nucl. Phys. Rev. 32 20 [高原, 王建勇, 杨向军, 龚建华, 路祥臣 2015 原子核物理评论 32 20]
Gao Y, Wang J Y, Yang X J, Gong J H, Lu X C 2015 Nucl. Phys. Rev. 32 20
[19] Zhao P, Wang J Q, Chen M Q, Yang J X, Su Z X, Lu C Y, Liu H J, Hong Z Y, Gao R 2024 Acta Phys. Sin. 73 087401 [赵珀, 王建强, 陈梅清, 杨金学, 苏钲雄, 卢晨阳, 刘华军, 洪智勇, 高瑞 2024 73 087401]
Google Scholar
Zhao P, Wang J Q, Chen M Q, Yang J X, Su Z X, Lu C Y, Liu H J, Hong Z Y, Gao R 2024 Acta Phys. Sin. 73 087401
Google Scholar
[20] Dan M, Chen L J, He Y B, Lü X W, Wan J H, Zhang H, Zhang K J, Yang Y, Jin F Y 2022 Acta Phys. Sin. 71 237401 [但敏, 陈伦江, 贺岩斌, 吕兴旺, 万俊豪, 张虹, 张珂嘉, 杨莹, 金凡亚 2022 71 237401]
Google Scholar
Dan M, Chen L J, He Y B, Lü X W, Wan J H, Zhang H, Zhang K J, Yang Y, Jin F Y 2022 Acta Phys. Sin. 71 237401
Google Scholar
[21] 李敏娟 2018 博士学位论文 (上海: 上海大学)
Li M J 2018 Ph. D. Dissertation (Shanghai: Shanghai University
[22] Cui X M, Liu G Q, Wang J, Huang Z C, Zhao Y T, Tao B W, Li Y R 2007 Physica C 466 1
Google Scholar
计量
- 文章访问数: 295
- PDF下载量: 3
- 被引次数: 0








下载: