-
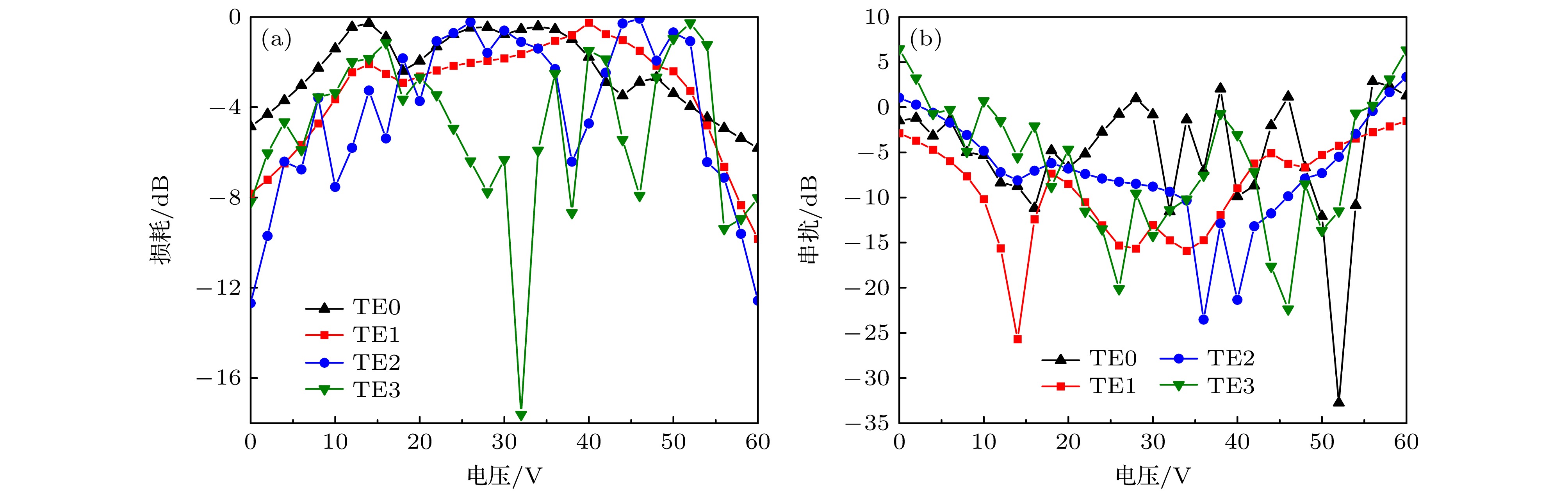
90°光混频器是无线相干光通信系统接收端的关键器件, 在提升接收端灵敏度和抗干扰能力方面发挥着重要作用. 传统的90°光混频器存在对精度要求高、体积大、受限于模式失配、偏振敏感和功能单一等缺点. 为解决上述问题且进一步实现器件的多功能化, 在铌酸锂平台基于多模干涉(multimode Interference, MMI)结构, 设计了兼具90°光混频和模式分离功能的多功能集成器件. 该器件在功能上具备良好的可扩展性, 在性能上均优于传统结构, 具有低损耗、高精度和宽带宽的特点, 并通过容差分析验证了器件在较大工艺误差范围内仍能保持优异的性能, 展现了较高的工艺容差性和可靠性. 该器件可同时应用于大规模集成光学中, 为高性能片上光通信系统提供了新技术.90°optical mixer, as an essential part of coherent optical communication and heterodyne detection, improves polarization discrimination and anti-interference capabilities, increases receiver sensitivity, and permits demodulation of higher-order modulation forms. The disadvantages of traditional 90° optical mixers, however, include their high precision needs, size, mode mismatch restrictions, polarization sensitivity, and single functionality. Utilizing a lithium niobate platform, a multimode interference (MMI) structure, and a micro-thermoelectric electrode array, and with the help of the finite difference time domain (FDTD) method, a multipurpose device that combines 90° optical mixing and mode separation capabilities is designed in this work. According to the results, when no voltage is applied across the micro-thermoelectric electrodes, the multipurpose device acts as a 90° optical mixer. The common-mode rejection ratios of all four outputs are all above –30 dB, phase errors are below 4°, and the losses in the wavelength range of 1520–1580 nm exceed –13.862 dB. When a voltage is applied across the micro-thermoelectric electrodes, TE0, TE1, TE2, and TE3 modes are separated by the multipurpose device acting as a mode splitter. In addition to controlling crosstalk fluctuation within 8.8 dB, the minimum loss divergence between modes is less than 0.024 dB. Research findings indicate that the physical characteristics of optical field interference within the MMI structure enable perfect phase matching and energy distribution across a wide spectrum range, even when no voltage is supplied across the micro-thermoelectric electrode terminals. By controlling the interference superposition process inside the multi-mode region and improving broadband 90° optical mixing parameters, the stable phase-matching conditions are maintained across the wide spectrum. The lithium niobate-based linear electro-optic effect (Pockels effect) modifies the waveguide refractive index distribution through an external electric field when a voltage is applied across the micro-thermoelectrodes. By changing the light field’s coupling path and propagation mode inside the MMI structure, the mode-separating integrator can precisely achieve mode separation, thereby confirming the efficiency of the electro-optic effect in optical functional control, which meets the isolation requirements for various mode optical signals. Furthermore, a systematical tolerance analysis of the device’s width and length is carried out, demonstrating how structural dimensional deviations affect the mode coupling efficiency and optical field interference circumstances. The integrated broadband 90° optical mixer and mode splitter device described in this paper has excellent process tolerance properties.
[1] 韩笑天, 聂文超, 李鹏, 李广英, 常畅, 张鹏飞, 廖佩璇, 谢琛华, 李慧, 汪伟, 谢小平 2025 光学学报 45 1306016
Google Scholar
Han X T, Nie W C, Li P, Li G Y, Chang C, Zhang P F, Liao P X, Xie C H, Li H, Wang W, Xie X P 2025 Acta Opt. Sin. 45 1306016
Google Scholar
[2] Xing J J, Li Z Y, Xiao X, Yu J Z, Yu Y D 2013 Opt. Lett. 38 3468
Google Scholar
[3] 马天宝, 祁玲珍, 彭姝, 李佳明, 郭旭联, 刘奎 2024 光学学报 44 1627001
Google Scholar
Ma T B, Qi L Z, Peng S, Li J M, Guo X L, Liu K 2024 Acta Opt. Sin. 44 1627001
Google Scholar
[4] Driscoll J B, Grote R R, Souhan B, Dadap J I, Lu M, Osgood R M 2013 Opt. Lett. 38 1854
Google Scholar
[5] Halir R, Molina-Fernández I, Ortega-Moñux A, Wangüemert-Pérez J G, Xu D X, Cheben P, Janz S 2008 J. Lightwave Technol. 26 2697
Google Scholar
[6] Jeong S H, Morito K 2010 J. Lightwave Technol. 28 1323
Google Scholar
[7] Voigt K, Zimmermann L, Winzer G, Tian H, Tillack B, Petermann K 2011 IEEE Photonics Technol. Lett. 23 1769
Google Scholar
[8] Halir R, Roelkens G, Ortega-Moñux A, Wangüemert-Pérez J G 2011 Opt. Lett. 36 178
Google Scholar
[9] Yang W, Yin M, Li Y P, Wang X J, Wang Z Y 2013 Opt. Express 21 28423
Google Scholar
[10] Liao J W, Zhang L X, Liu M L, Wang L R, Wang W Q, Wang G X, Ruan C, Zhao W, Zhang W F 2016 IEEE Photonics Technol. Lett. 28 2597
Google Scholar
[11] Jiang W F, Wang X G 2020 J. Lightwave Technol. 38 2414
Google Scholar
[12] Liu D J, Zhang M, Shi Y C, Dai D X 2020 IEEE Photonics Technol. Lett. 32 192
Google Scholar
[13] Jiang W F, Xu S Y 2021 J. Lightwave Technol. 39 6239
Google Scholar
[14] Chen T, Dang Z Q, Liu Z X, Ding Z M, Yang Z F, Zhang X D, Jiang X H, Zhang Z Y 2021 IEEE Photonics Technol. Lett. 33 1135
Google Scholar
[15] 陈涛, 毛思强, 万洪丹, 汪静丽, 蒋卫锋 2023 光学学报 43 2313003
Google Scholar
Chen T, Mao S Q, Wan H D, Wang J L, Jiang W F 2023 Acta Opt. Sin. 43 2313003
Google Scholar
[16] 廖莎莎, 张伍浩, 赵帅, 赵薪程, 唐亮 2024 光学学报 44 0523001
Google Scholar
Liao S S, Zhang W H, Zhao S, Zhao X C, Tang L 2024 Acta Opt. Sin. 44 0523001
Google Scholar
[17] 王曼卓, 姚振涛, 孙朝阳, 张越, 方记民, 孙小强, 吴远大, 张大明 2025 光子学报 54 0323001
Google Scholar
Wang M Z, Yao Z T, Sun C Y, Zhang Y, Fang J M, Sun X Q, Wu Y D, Zhang D M 2025 Acta Photonica Sin. 54 0323001
Google Scholar
[18] Qi Y, Li Y 2020 Nanophotonics 9 1287
Google Scholar
[19] 徐光耀, 马晓飞, 盛冲, 刘辉 2023 光学学报 43 1923001
Google Scholar
Xu G Y, Ma X F, Chong S, Liu H 2023 Acta Opt. Sin. 43 1923001
Google Scholar
[20] 冯新凯, 陈怀熹, 陈家颖, 梁万国 2023 中国激光 50 2208001
Google Scholar
Feng X K, Chen H X, Chen J Y, Liang W G 2023 Chin. J. Lasers 50 2208001
Google Scholar
[21] Guan H, Ma Y J, Shi R Z, Zhu X L, Younce R, Chen Y J, Roman J, Ophir N, Liu Y, Ding R, Baehr-Jones T, Bergman K, Hochberg M 2017 Opt. Express 25 28957
Google Scholar
[22] Ortega-Monux A, Zavargo-Peche L, Maese-Novo A, Molina-Fernandez I, Halir R, Wanguemert-Perez J G, Cheben P, Schmid J H 2011 IEEE Photonics Technol. Lett. 23 1406
Google Scholar
-
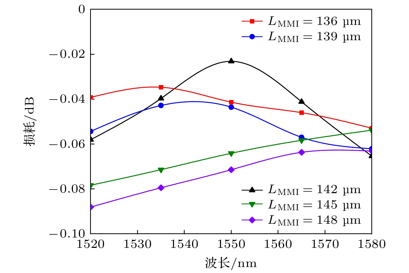
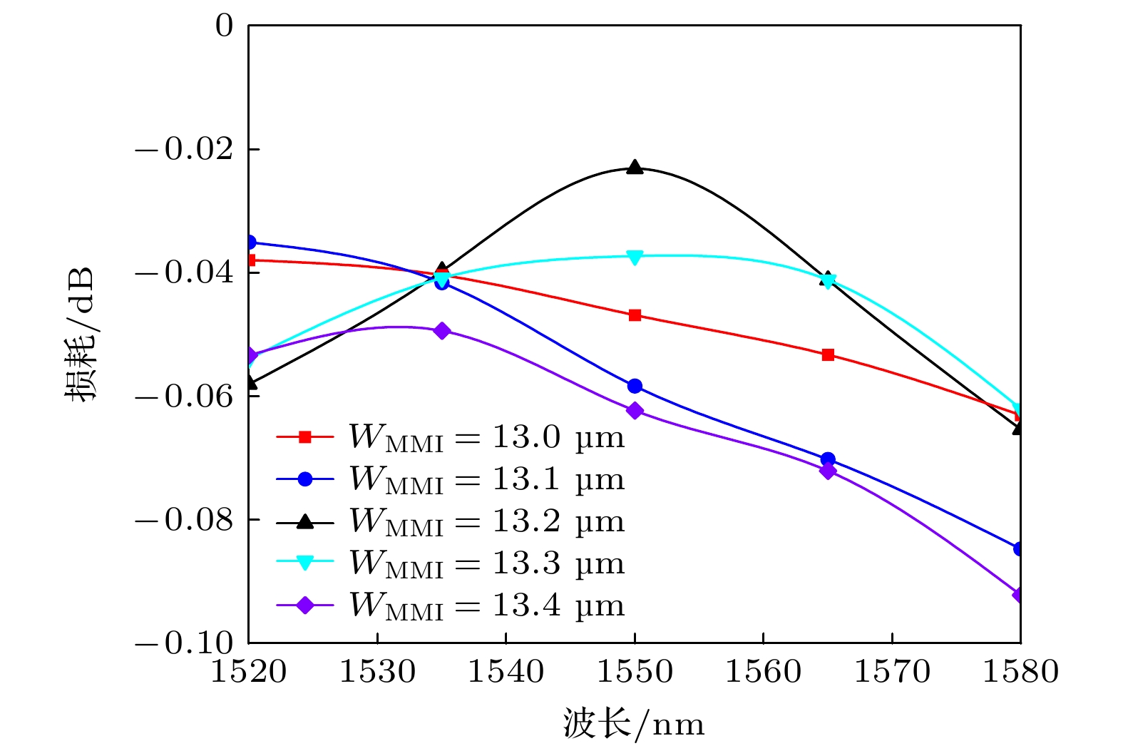
图 2 性能随结构参数变化曲线 (a) 耦合效率随输出波导间隔gap_ln的变化; (b) 损耗随输出端波导长度Lout-ln的变化; (c) 损耗随多模波导长度LMMI的变化
Fig. 2. Performance curves with structural parameters: (a) Curve of coupling efficiency with output waveguide gap_ln; (b) variation of loss with output waveguide length Lout-ln; (c) variation of loss with multimode waveguide length LMMI.
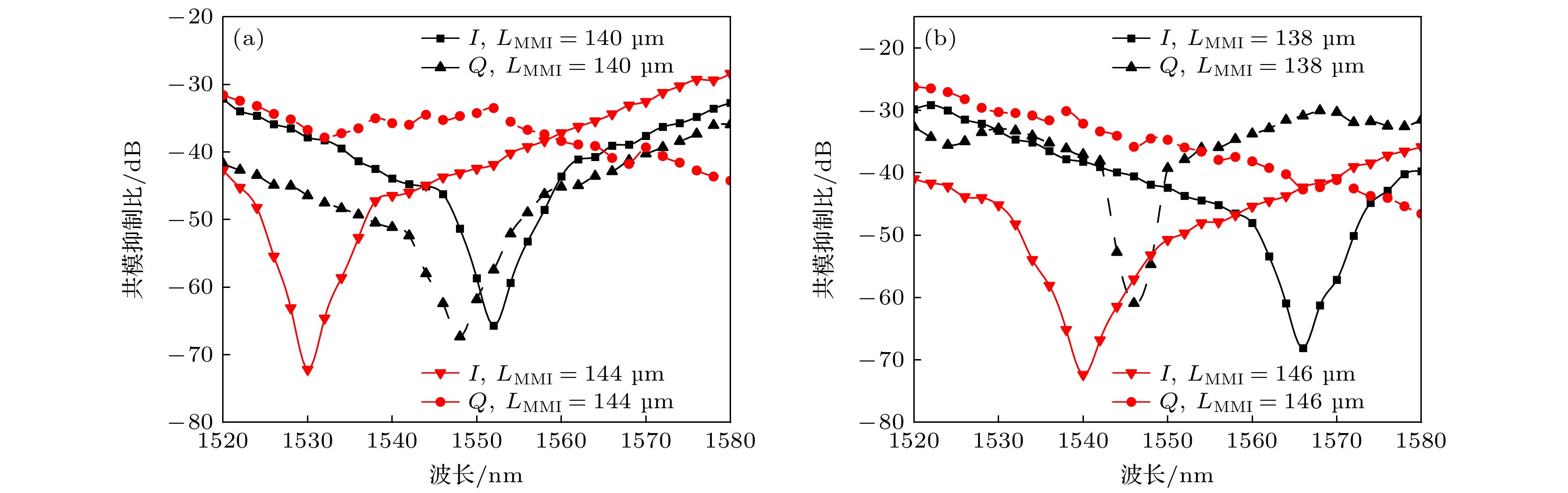
图 8 性能指标随波长变化情况 (a) 90°光混频器损耗随波长变化曲线; (b) 90°光混频器共模抑制比随波长变化曲线; (c) 不同输出端口之间的相位偏差随波长变化曲线
Fig. 8. Variation of performance index with wavelength: (a) Variation curves of loss of 90° optical mixer with wavelength; (b) variation curves of common mode rejection ratio of 90° optical mixer with wavelength; (c) variation curves of phase deviation between different output ports with wavelength.
表 1 90°光混频器的比较
Table 1. Comparison of 90° optical mixers.
表 2 模式分离器的比较
Table 2. Comparison of pattern separators.
-
[1] 韩笑天, 聂文超, 李鹏, 李广英, 常畅, 张鹏飞, 廖佩璇, 谢琛华, 李慧, 汪伟, 谢小平 2025 光学学报 45 1306016
Google Scholar
Han X T, Nie W C, Li P, Li G Y, Chang C, Zhang P F, Liao P X, Xie C H, Li H, Wang W, Xie X P 2025 Acta Opt. Sin. 45 1306016
Google Scholar
[2] Xing J J, Li Z Y, Xiao X, Yu J Z, Yu Y D 2013 Opt. Lett. 38 3468
Google Scholar
[3] 马天宝, 祁玲珍, 彭姝, 李佳明, 郭旭联, 刘奎 2024 光学学报 44 1627001
Google Scholar
Ma T B, Qi L Z, Peng S, Li J M, Guo X L, Liu K 2024 Acta Opt. Sin. 44 1627001
Google Scholar
[4] Driscoll J B, Grote R R, Souhan B, Dadap J I, Lu M, Osgood R M 2013 Opt. Lett. 38 1854
Google Scholar
[5] Halir R, Molina-Fernández I, Ortega-Moñux A, Wangüemert-Pérez J G, Xu D X, Cheben P, Janz S 2008 J. Lightwave Technol. 26 2697
Google Scholar
[6] Jeong S H, Morito K 2010 J. Lightwave Technol. 28 1323
Google Scholar
[7] Voigt K, Zimmermann L, Winzer G, Tian H, Tillack B, Petermann K 2011 IEEE Photonics Technol. Lett. 23 1769
Google Scholar
[8] Halir R, Roelkens G, Ortega-Moñux A, Wangüemert-Pérez J G 2011 Opt. Lett. 36 178
Google Scholar
[9] Yang W, Yin M, Li Y P, Wang X J, Wang Z Y 2013 Opt. Express 21 28423
Google Scholar
[10] Liao J W, Zhang L X, Liu M L, Wang L R, Wang W Q, Wang G X, Ruan C, Zhao W, Zhang W F 2016 IEEE Photonics Technol. Lett. 28 2597
Google Scholar
[11] Jiang W F, Wang X G 2020 J. Lightwave Technol. 38 2414
Google Scholar
[12] Liu D J, Zhang M, Shi Y C, Dai D X 2020 IEEE Photonics Technol. Lett. 32 192
Google Scholar
[13] Jiang W F, Xu S Y 2021 J. Lightwave Technol. 39 6239
Google Scholar
[14] Chen T, Dang Z Q, Liu Z X, Ding Z M, Yang Z F, Zhang X D, Jiang X H, Zhang Z Y 2021 IEEE Photonics Technol. Lett. 33 1135
Google Scholar
[15] 陈涛, 毛思强, 万洪丹, 汪静丽, 蒋卫锋 2023 光学学报 43 2313003
Google Scholar
Chen T, Mao S Q, Wan H D, Wang J L, Jiang W F 2023 Acta Opt. Sin. 43 2313003
Google Scholar
[16] 廖莎莎, 张伍浩, 赵帅, 赵薪程, 唐亮 2024 光学学报 44 0523001
Google Scholar
Liao S S, Zhang W H, Zhao S, Zhao X C, Tang L 2024 Acta Opt. Sin. 44 0523001
Google Scholar
[17] 王曼卓, 姚振涛, 孙朝阳, 张越, 方记民, 孙小强, 吴远大, 张大明 2025 光子学报 54 0323001
Google Scholar
Wang M Z, Yao Z T, Sun C Y, Zhang Y, Fang J M, Sun X Q, Wu Y D, Zhang D M 2025 Acta Photonica Sin. 54 0323001
Google Scholar
[18] Qi Y, Li Y 2020 Nanophotonics 9 1287
Google Scholar
[19] 徐光耀, 马晓飞, 盛冲, 刘辉 2023 光学学报 43 1923001
Google Scholar
Xu G Y, Ma X F, Chong S, Liu H 2023 Acta Opt. Sin. 43 1923001
Google Scholar
[20] 冯新凯, 陈怀熹, 陈家颖, 梁万国 2023 中国激光 50 2208001
Google Scholar
Feng X K, Chen H X, Chen J Y, Liang W G 2023 Chin. J. Lasers 50 2208001
Google Scholar
[21] Guan H, Ma Y J, Shi R Z, Zhu X L, Younce R, Chen Y J, Roman J, Ophir N, Liu Y, Ding R, Baehr-Jones T, Bergman K, Hochberg M 2017 Opt. Express 25 28957
Google Scholar
[22] Ortega-Monux A, Zavargo-Peche L, Maese-Novo A, Molina-Fernandez I, Halir R, Wanguemert-Perez J G, Cheben P, Schmid J H 2011 IEEE Photonics Technol. Lett. 23 1406
Google Scholar
计量
- 文章访问数: 767
- PDF下载量: 17
- 被引次数: 0








下载: