-
This paper reviews the physical principles, development history of related application research, current research status and prospects of the Josephson voltage standard (JVS) working at liquid helium temperatures. The JVS working at liquid helium temperature has advantages of high mobility and low-energy consumption, and has a broad application prospect. This paper describes the research status of Josephson voltage standards, focusing on the possibility of developing a JVS based on high-temperature superconductors, and the challenges in chip preparation. In addition, a newly developed preparation technology for Josephson junction, namely the focused helium ion beam, is introduced. It has advantages in the preparation of high consistent Josephson junction arrays in high consistency. Therefore, it is a possible technical route for exploring the realization of JVS working at liquid helium temperature in the future.
-
Keywords:
- Josephson effect /
- Josephson voltage standard /
- high-temperature superconductors /
- voltage precision measurements
[1] Josephson B D 1962 Phys. Lett. 1 251
Google Scholar
[2] Clarke J, Braginski A I 2003 The SQUID handbook (Volume II. ed.) (Weinheim: Wiley-VCH
[3] Hamilton C A 2000 Rev. Sci. Instrum. 71 3611
Google Scholar
[4] Kohlmann J, Behr R, Funck T 2003 Meas. Sci. Technol. 14 1216
Google Scholar
[5] Shapiro S 1963 Phys. Rev. Lett. 11 80
Google Scholar
[6] Klushin A M, Lesueur J, Kampik M, Raso F, Sosso A, Khorshev S K, Bergeal N, Couëdo F, Feuillet-Palma C, Durandetto P, Grzenik M, Kubiczek K, Musiol K, Skorkowski A 2020 IEEE Instrum. Meas. Mag. 23 4
Google Scholar
[7] Mccumber D E 1968 J. Appl. Phys. 39 3113
Google Scholar
[8] Jain A K, Lukens J E, Tsai J S 1987 Phys. Rev. Lett. 58 1165
Google Scholar
[9] Degennes P G 1964 Rev. Mod. Phys. 36 225
Google Scholar
[10] Gurvitch M, Washington M A, Huggins H A 1983 Appl. Phys. Lett. 42 472
Google Scholar
[11] Niemeyer J, Hinken J H, Kautz R L 1984 Appl. Phys. Lett. 45 478
Google Scholar
[12] Primary Voltage Standard Josephson Junction Arrays, Hypres https://www.hypres.com/products/ [2024-8-7]
[13] Schulze H, Behr R, Muller F, Niemeyer J 1998 Appl. Phys. Lett. 73 996
Google Scholar
[14] Schulze H, Behr R, Kohlmann J, Müller F, Niemeyer J 2000 Supercond. Sci. Technol. 13 1293
Google Scholar
[15] Zhong Q, Zhong Y, He Q, Zhang J 2008 Cryog. Supercond. 36 32
Google Scholar
[16] SRI 6000 Series Programmable Josephson Voltage Standard (PJVS), NIST https://www.nist.gov/sri/standard-reference-instruments/ [2024-8-7]
[17] AC Quantum Voltmeter Cooler, Supracon http://www.supracon.com/en/ [2024-8-7]
[18] Rüfenacht A, Flowers-Jacobs N E, Benz S P 2018 Metrologia 55 S152
Google Scholar
[19] Dresselhaus P D, Elsbury M M, Olaya D, Burroughs C J, Benz S P 2011 IEEE Trans. Appl. Supercond. 21 693
Google Scholar
[20] Mueller F, Behr R, Weimann T, Palafox L, Olaya D, Dresselhaus P D, Benz S P 2009 IEEE Trans. Appl. Supercond. 19 981
Google Scholar
[21] Yamamori H, Ishizaki M, Shoji A, Dresselhaus P D, Benz S P 2006 Appl. Phys. Lett. 88 042503
Google Scholar
[22] 曹文会, 李劲劲, 钟青, 郭小玮, 贺青, 迟宗涛 2012 61 170304
Google Scholar
Cao W W, Li J J, Zhong Q, Guo X W, He Q, Chi Z T 2012 Acta Phys. Sin. 61 170304
Google Scholar
[23] Cao W H, Li J J, Zhong Y, He Q 2015 Chin. Phys. B 24 127402
Google Scholar
[24] Yu H F, Cao W H, Zhu X B, Yang H F, Yu H W, Ren Y F, Gu C Z, Chen G H, Zhao S P 2008 Chin. Phys. B 17 3083
Google Scholar
[25] Cao W H, Yu H F, Tian Y, Yu H W, Ren Y F, Chen G H, Zhao S P 2009 Chin. Phys. B 18 5044
Google Scholar
[26] Xu W N, Ying L L, Lin Q, Ren J, Wang Z 2021 Supercond. Sci. Technol. 34 085002
Google Scholar
[27] Li X, Tan J R, Zheng K M, Zhang L B, Zhang L J, He W J, Huang P W, Li H C, Zhang B, Chen Q, Ge R, Guo S Y, Huang T, Jia X Q, Zha Q Y, Tu X C, Kang L, Chen J, Wu P H 2020 Photonics Res. 8 637
Google Scholar
[28] 李春光, 王佳, 吴云, 王旭, 孙亮, 董慧, 高波, 李浩, 尤立星, 林志荣, 任洁, 李婧, 张文, 贺青, 王轶文, 韦联福, 孙汉聪, 王华兵, 李劲劲, 屈继峰 2021 70 018501
Google Scholar
Li C G, Wang J, Wu Y, Wang X, Sun L, Dong H, Gao B, Li H, You L X, Lin Z R, Ren J, Li J, Zhang W, He Q, Wang Y W, Wei L F, Sun H C, Wang H B, Li J J, Qu J F 2021 Acta Phys. Sin. 70 018501
Google Scholar
[29] 李劲劲 2021 科技成果管理与研究 16 72
Google Scholar
Li J J 2021 Management and Research on Scientific & Technological Achievements 16 72
Google Scholar
[30] 朱珠, 康焱, 王路, 胡毅飞 2018 宇航计测技术 38 12
Google Scholar
Zhu Z, Kang Y, Wang L, Hu Y F 2018 J Astronaut. Metrol. Meas. 38 12
Google Scholar
[31] 李红晖, 王曾敏, 徐晴, 田正其, 段梅梅, 王磊 2023 计量学报 44 1564
Google Scholar
Li H H, Wang Z M, Xu Q, Tian Z Q, Duan M M, Wang L 2023 Acta. Metrol. Sin. 44 1564
Google Scholar
[32] Trinchera B, Durandetto P, Serazio D 2024 Measurement 233 114747
Google Scholar
[33] 段梅梅, 赵双双, 徐晴, 王磊, 贾正森, 黄洪涛, 潘仙林 2022 电测与仪表 59 100
Google Scholar
Duan M M, Zhao S S, Xu Q, Wang L, Jia Z S, Huang H T, Pan X L 2022 Electr. Meas. Instrum. 59 100
Google Scholar
[34] Wu M K, Ashburn J R, Torng C J, Hor P H, Meng R L, Gao L, Huang Z J, Wang Y Q, Chu C W 1987 Phys. Rev. Lett. 58 908
Google Scholar
[35] 赵忠贤, 陈立泉, 杨乾声, 黄玉珍, 陈赓华, 唐汝明, 刘贵荣, 崔长庚, 陈烈, 王连忠, 郭树权, 李山林, 毕建清 1987 科学通报 32 412
Google Scholar
Zhao Z X, Chen L Q, Yang Q S, Huang Y Z, Chen G H, Tang R M, Liu G R, Cui C G, Chen L, Wang L Z, Guo S Q, Li S L, Bi J Q 1987 Chin. Sci. Bull. 32 412
Google Scholar
[36] Hilgenkamp H, Mannhart J 2002 Rev. Mod. Phys. 74 485
Google Scholar
[37] Hamilton C A, Burroughs C J, Benz S P, Kinard J R 1997 IEEE Trans. Instrum. Meas. 46 224
Google Scholar
[38] Chaudhari P, Mannhart J, Dimos D, Tsuei C C, Chi J, Oprysko M M, Scheuermann M 1988 Phys. Rev. Lett. 60 1653
Google Scholar
[39] Klushin A M, Prusseit W, Sodtke E, Borovitskii S I, Amatuni L E, Kohlstedt H 1996 Appl. Phys. Lett. 69 1634
Google Scholar
[40] Klushin A M, Weber C, Darula M, Semerad R, Prusseit W, Kohlstedt H, Braginski A I 1998 Supercond. Sci. Technol. 11 609
Google Scholar
[41] Klushin A M, Behr R, Numssen K, Siegel M, Niemeyer J 2002 Appl. Phys. Lett. 80 1972
Google Scholar
[42] Khorshev S K, Pashkovsky A I, Subbotin A N, Rogozhkina N V, Gryaznov Y M, Levichev M Y, Pestov E E, Galin M A, Maksimov V Y, Zhezlov D A, Katkov A S, Klushin A M 2019 IEEE Trans. Instrum. Meas. 68 2113
Google Scholar
[43] Klushin A M, Pestov E E, Galin M A, Levichev M Y 2016 Phys. Solid State 58 2196
Google Scholar
[44] Khorshev S K, Pashkovsky A I, Rogozhkina N V, Levichev M Y, Pestov E E, Katkov A S, Behr R, Kohlmann J, Klushin A M 2016 Proceedings of the Conference on Precision Electromagnetic Measurements (CPEM), Ottawa, CANADA, Jul 10–15, 2016 pp1–l2
[45] Jin, Y R, Jia, Q J, Deng H, Wang N, Jiang F Y, Tian Y, Gao M Y, Zheng D N 2015 IEEE Trans. Appl. Supercond. 25 1
Google Scholar
[46] Linghu K, Guo Z, Wu Q, Luo W, Nie R, Jin Y, Zheng D, Wang F, Gan Z 2019 IEEE Trans. Appl. Supercond. 29 1
Google Scholar
[47] Li Y L, Xu T Q, Wang Y, Wang F R, Gan Z Z 2023 Sensors 23 4434
Google Scholar
[48] 马平, 姚坤, 谢飞翔, 张升原, 邓鹏, 何东风, 张凡, 刘乐园, 聂瑞娟, 王福仁, 王守证, 戴远东 2002 51 224
Google Scholar
Ma P, Yao K, Xie F X, Zhang S Y, Deng P, He D F, Zhang F, Liu L Y, Nie R J, Wang F R, Wang S Z, Dai Y D 2002 Acta Phys. Sin. 51 224
Google Scholar
[49] 刘新元, 谢柏青, 戴远东, 王福仁, 李壮志, 马平, 谢飞翔, 杨涛, 聂瑞娟 2005 54 1937
Google Scholar
Liu X Y, Xie B Q, Dai Y D, Wang F R, Li Z Z, Ma P, Xie F X, Yang T, Nie R J 2005 Acta Phys. Sin. 54 1937
Google Scholar
[50] 王倩, 马平, 华宁, 陆宏, 唐雪正, 唐发宽 2010 59 2882
Google Scholar
Wang Q, Ma P, Hua N, Lu H, Tang X Z, Tang F K 2010 Acta Phys. Sin. 59 2882
Google Scholar
[51] Yu M, Geng H F, Hua T, An D Y, Xu W W, Chen Z N, Chen J, Wang H B, Wu P H 2020 Supercond. Sci. Technol. 33 025001
Google Scholar
[52] 尤立星, 冯一军, 潘俊, 吉争鸣, 周赣东, 康琳, 左景萍, 杨森祖, 吴培亨, 陈国新, 王牧 1999 低温 21 372
Google Scholar
You L X, Feng Y J, Pan J, Ji Z M, Zhou G D, Kang L, Zuo J P, Yang S Z, Wu P H, Chen G X, Wang M 1999 Chin. J. Low Temp. Phys. 21 372
Google Scholar
[53] 王争, 岳宏卫, 周铁戈, 赵新杰, 何明, 谢清连, 方兰, 阎少林 2009 58 7216
Google Scholar
Wang Z, Yue H W, Zhou T G, Zhao X J, He M, Xie Q L, Fang L, Yan S L 2009 Acta Phys. Sin. 58 7216
Google Scholar
[54] 王华兵, 许伟伟, 吴培亨 2017 物理 46 528
Google Scholar
Wang H B, Xu W W, Wu P H 2017 Physics 46 528
Google Scholar
[55] 高吉, 马平, 戴远东 2007 物理 36 869
Google Scholar
Dai Y D, Gao J, Ma P 2007 Physics 36 869
Google Scholar
[56] 张骏, 张辰, 张焱, 马平, 王越 2015 低温 37 423
Zhang J, Zhang C, Zhang Y, Ma P, Wang Y 2015 Chin. J. Low Temp. Phys. 37 423
[57] Xu T Q, Li Y L, Wang H Z, Wang Y, Wang F R, Gan Z Z 2023 Physica C 615 1354390
Google Scholar
[58] Klushin A M, Weber C, Borovitskii S I, Starodubrovskii R K, Lauer A, Wolff I, Kohlstedt H 1999 IEEE Trans. Instrum. Meas. 48 274
Google Scholar
[59] Rao C N R, Raveau B 1989 Acc. Chem. Res. 22 106
Google Scholar
[60] Hao L, Macfarlane J C, Pegrum C M 1996 Supercond. Sci. Technol. 9 678
Google Scholar
[61] Hao L, Macfarlane J C 1997 Physica C 292 315
Google Scholar
[62] Mcdaniel E B, Gausepohl S C, Li C T, Lee M, Hsu J W P, Rao R A, Eom C B 1997 Appl. Phys. Lett. 70 1882
Google Scholar
[63] Klushin A M, Borovitskii S I, Weber C, Sodtke E, Semerad R, Prusseit W, Gelikonova V D, Kohlstedt H 1997 3rd European Conference on Applied Superconductivity (EUCAS), Veldhoven, Netherlands, June 30–July 03, 1997 p587
[64] Tinchev S S 1990 Supercond. Sci. Technol. 3 500
Google Scholar
[65] Simon R W, Bulman J B, Burch J F, Coons S B, Daly K P, Dozier W D, Hu R, Lee A E, Luine J A, Platt C E, Schwarzbek S M, Wire M S, Zani M J 1991 IEEE Trans. Magn. 27 3209
Google Scholar
[66] Kang D J, Burnell G, Lloyd S J, Speaks R S, Peng N H, Jeynes C, Webb R, Yun J H, Moon S H, Oh B, Tarte E J, Moore D F, Blamire M G 2002 Appl. Phys. Lett. 80 814
Google Scholar
[67] Cybart S A, Chen K, Cui Y, Li Q, Xi X X, Dynes R C 2006 Appl. Phys. Lett. 88 012509
Google Scholar
[68] Sharafiev A, Malnou M, Feuillet-Palma C, Ulysse C, Wolf T, Couëdo F, Febvre P, Lesueur J, Bergeal N 2018 Supercond. Sci. Technol. 31 035003
Google Scholar
[69] Cybart S A, Anton S M, Wu S M, Clarke J, Dynes R C 2009 Nano Lett. 9 3581
Google Scholar
[70] Cybart S A, Cho E Y, Wong T J, Wehlin B H, Ma M K, Huynh C, Dynes R C 2015 Nat. Nanotechnol. 10 598
Google Scholar
[71] Cho E Y, Zhou Y W, Cho J Y, Cybart S A 2018 Appl. Phys. Lett. 113 022604
Google Scholar
[72] Cai H, Lefebvre J C, Li H, Cho E Y, Yoshikawa N, Cybart S A 2024 Appl. Phys. Lett. 124 212601
Google Scholar
[73] Li H, Cai H, Sarkar N, Lefebvre J C, Cho E Y, Cybart S A 2024 Appl. Phys. Lett. 124 192603
Google Scholar
[74] Lefebvre J C, Cho E Y, Cybart S A 2023 Appl. Phys. Lett. 123 112602
Google Scholar
[75] Goteti U S, Cai H, Lefebvre J C, Cybart S A, Dynes R C 2022 Sci. Adv. 8 eabn4485
Google Scholar
[76] Cai H, Li H, Cho E Y, Lefebvre J C, Cybart S A 2021 IEEE Trans. Appl. Supercond. 31 7200205
Google Scholar
[77] Elswick D, Ananth M, Stern L, Marshman J, Ferranti D, Huynh C 2013 Microsc. Microanal. 19 1304
Google Scholar
[78] Chen Z W, Li Y L, Zhu R, Xu J, Xu T Q, Yin D L, Cai X W, Wang Y, Lu J M, Zhang Y, Ma P 2022 Chin. Phys. Lett. 39 077402
Google Scholar
[79] Zaluzhnyy I A, Goteti U, Stoychev B K, Basak R, Lamb E S, Kisiel E, Zhou T, Cai Z, Holt M V, Beeman J W, Cho E Y, Cybart S, Shpyrko O G, Dynes R, Frano A 2024 ACS Appl. Nano Mater. 7 15943
Google Scholar
[80] Graser S, Hirschfeld P J, Kopp T, Gutser R, Andersen B M, Mannhart J 2010 Nat. Phys. 6 609
Google Scholar
[81] Yin D L, Cai X W, Xu T Q, Sun R N, Chen Z W, Han Y, Tian L F, Wang Y, Zhang Y, Gan Z Z 2024 Physica C 623 1354532
Google Scholar
[82] Chen Z W, Zhang Y, Ma P, Xu Z T, Li Y L, Wang Y, Lu J M, Ma Y W, Gan Z Z 2024 Chin. Phys. B 33 047405
Google Scholar
[83] Wang X, Chen F, Lin Z, Tian S, Li C, Kornev V, Kolotinskiy N 2024 Electromagn. Sci. 2 1
Google Scholar
[84] Kasaei L, Melbourne T, Li M J, Manichev V, Qin F, Hijazi H, Feldman L C, Gustafsson T, Davidson B A, Xi X X, Chen K 2019 IEEE Trans. Appl. Supercond. 29 1102906
Google Scholar
[85] Karrer M, Wurster K, Linek J, Meichsner M, Kleiner R, Goldobin E, Koelle D 2024 Phys. Rev. Appl. 21 014065
Google Scholar
-
图 2 相位粒子在约瑟夫森势阱中运动的示意图 (a)随着I增大, 约瑟夫森势阱逐渐倾斜, 相位粒子滑动到下一个极小值处; (b)随着I减小, 约瑟夫森势阱恢复水平, 相位粒子在一个局部极小值上振荡
Fig. 2. Schematic diagram of the motion of phase particle in the Josephson potential well: (a) As I increases, the Josephson potential well gradually tilts, and the phase particle slides to the next minimum; (b) as I decreases, the Josephson potential well returns, and the phase particle oscillates at a new local minima.
图 4 双晶晶界约瑟夫森结列拓扑结构微观结构图[43], 该串联阵列由一条垂直穿过晶界的曲折线连接而成. 图中标记1为双梳齿结构, 它们构成了一个半波长谐振器. 中间的虚线表示晶界, 在该处形成晶界结[43]
Fig. 4. Schematic representation of the topology of a chain of bi-crystal Josephson junctions. The array is connected by a meandering line passing vertically through the grain boundary. Label 1 indicates the double comb tooth structure, which constitutes a half wavelength resonator. The position of grain boundaries is indicated by the dashed line[43]
图 7 (a)聚焦氦离子束制备阵列的光学显微镜图, 周围是电极, 连接了中间的弯曲微带线[84]; (b)阵列的三个分支, 黑色代表了超导薄膜上蒸镀的金[84]; (c)氦离子显微镜成像模式下的100 nm间距结阵放大图[84]
Fig. 7. (a) Optical image of the array pattern. Large bonding pads attached to a centered meandering microstrip[84]. (b) Three branches of the meander are enlarged. Dark color lines are Au covered superconducting film[84]. (c) Zoomed view of single tracks of He+ irradiation at 100 nm inter-spacing imaged in HIM[84].
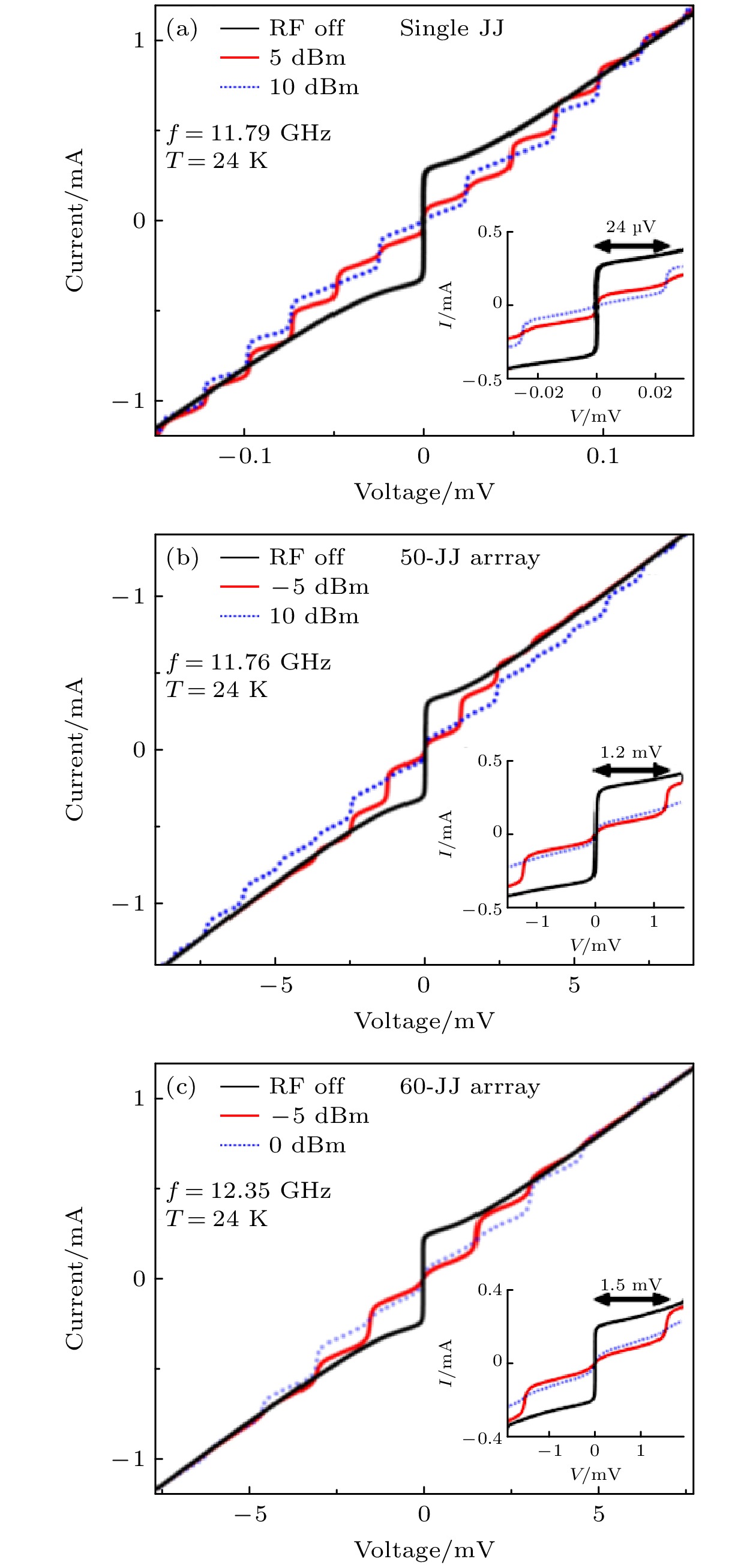
图 8 T = 24 K时的I-V特性 (a)在不同微波功率下无微波辐射和微波辐射(f = 11.79 GHz)的单结[84]; (b)在不同微波功率下无微波辐射和有微波辐射(f = 11.76 GHz)的50个串联结阵列, 其中台阶的相邻步长之间的电压是单个结的60倍[84]; (c)在不同输入功率电平下无微波辐射和有微波辐射(f = 12.35 GHz)的60个结串联的阵列, 其中台阶的相邻步长之间的电压是单个结的60倍[84]
Fig. 8. Current-voltage characteristics at T = 24 K for (a) single junction without and with microwave radiation of f = 11.79 GHz at different input power levels[84]. (b) 50-JJ series array without and with microwave radiation of f = 11.76 GHz at different input power levels. The space between adjacent steps in voltage is 50 times of that for an individual junction[84]. (c) 60-JJ series array without and with microwave radiation of f = 12.35 GHz at different input power levels. The space between adjacent steps in voltage is 60 times of that for an individual junction[84].
-
[1] Josephson B D 1962 Phys. Lett. 1 251
Google Scholar
[2] Clarke J, Braginski A I 2003 The SQUID handbook (Volume II. ed.) (Weinheim: Wiley-VCH
[3] Hamilton C A 2000 Rev. Sci. Instrum. 71 3611
Google Scholar
[4] Kohlmann J, Behr R, Funck T 2003 Meas. Sci. Technol. 14 1216
Google Scholar
[5] Shapiro S 1963 Phys. Rev. Lett. 11 80
Google Scholar
[6] Klushin A M, Lesueur J, Kampik M, Raso F, Sosso A, Khorshev S K, Bergeal N, Couëdo F, Feuillet-Palma C, Durandetto P, Grzenik M, Kubiczek K, Musiol K, Skorkowski A 2020 IEEE Instrum. Meas. Mag. 23 4
Google Scholar
[7] Mccumber D E 1968 J. Appl. Phys. 39 3113
Google Scholar
[8] Jain A K, Lukens J E, Tsai J S 1987 Phys. Rev. Lett. 58 1165
Google Scholar
[9] Degennes P G 1964 Rev. Mod. Phys. 36 225
Google Scholar
[10] Gurvitch M, Washington M A, Huggins H A 1983 Appl. Phys. Lett. 42 472
Google Scholar
[11] Niemeyer J, Hinken J H, Kautz R L 1984 Appl. Phys. Lett. 45 478
Google Scholar
[12] Primary Voltage Standard Josephson Junction Arrays, Hypres https://www.hypres.com/products/ [2024-8-7]
[13] Schulze H, Behr R, Muller F, Niemeyer J 1998 Appl. Phys. Lett. 73 996
Google Scholar
[14] Schulze H, Behr R, Kohlmann J, Müller F, Niemeyer J 2000 Supercond. Sci. Technol. 13 1293
Google Scholar
[15] Zhong Q, Zhong Y, He Q, Zhang J 2008 Cryog. Supercond. 36 32
Google Scholar
[16] SRI 6000 Series Programmable Josephson Voltage Standard (PJVS), NIST https://www.nist.gov/sri/standard-reference-instruments/ [2024-8-7]
[17] AC Quantum Voltmeter Cooler, Supracon http://www.supracon.com/en/ [2024-8-7]
[18] Rüfenacht A, Flowers-Jacobs N E, Benz S P 2018 Metrologia 55 S152
Google Scholar
[19] Dresselhaus P D, Elsbury M M, Olaya D, Burroughs C J, Benz S P 2011 IEEE Trans. Appl. Supercond. 21 693
Google Scholar
[20] Mueller F, Behr R, Weimann T, Palafox L, Olaya D, Dresselhaus P D, Benz S P 2009 IEEE Trans. Appl. Supercond. 19 981
Google Scholar
[21] Yamamori H, Ishizaki M, Shoji A, Dresselhaus P D, Benz S P 2006 Appl. Phys. Lett. 88 042503
Google Scholar
[22] 曹文会, 李劲劲, 钟青, 郭小玮, 贺青, 迟宗涛 2012 61 170304
Google Scholar
Cao W W, Li J J, Zhong Q, Guo X W, He Q, Chi Z T 2012 Acta Phys. Sin. 61 170304
Google Scholar
[23] Cao W H, Li J J, Zhong Y, He Q 2015 Chin. Phys. B 24 127402
Google Scholar
[24] Yu H F, Cao W H, Zhu X B, Yang H F, Yu H W, Ren Y F, Gu C Z, Chen G H, Zhao S P 2008 Chin. Phys. B 17 3083
Google Scholar
[25] Cao W H, Yu H F, Tian Y, Yu H W, Ren Y F, Chen G H, Zhao S P 2009 Chin. Phys. B 18 5044
Google Scholar
[26] Xu W N, Ying L L, Lin Q, Ren J, Wang Z 2021 Supercond. Sci. Technol. 34 085002
Google Scholar
[27] Li X, Tan J R, Zheng K M, Zhang L B, Zhang L J, He W J, Huang P W, Li H C, Zhang B, Chen Q, Ge R, Guo S Y, Huang T, Jia X Q, Zha Q Y, Tu X C, Kang L, Chen J, Wu P H 2020 Photonics Res. 8 637
Google Scholar
[28] 李春光, 王佳, 吴云, 王旭, 孙亮, 董慧, 高波, 李浩, 尤立星, 林志荣, 任洁, 李婧, 张文, 贺青, 王轶文, 韦联福, 孙汉聪, 王华兵, 李劲劲, 屈继峰 2021 70 018501
Google Scholar
Li C G, Wang J, Wu Y, Wang X, Sun L, Dong H, Gao B, Li H, You L X, Lin Z R, Ren J, Li J, Zhang W, He Q, Wang Y W, Wei L F, Sun H C, Wang H B, Li J J, Qu J F 2021 Acta Phys. Sin. 70 018501
Google Scholar
[29] 李劲劲 2021 科技成果管理与研究 16 72
Google Scholar
Li J J 2021 Management and Research on Scientific & Technological Achievements 16 72
Google Scholar
[30] 朱珠, 康焱, 王路, 胡毅飞 2018 宇航计测技术 38 12
Google Scholar
Zhu Z, Kang Y, Wang L, Hu Y F 2018 J Astronaut. Metrol. Meas. 38 12
Google Scholar
[31] 李红晖, 王曾敏, 徐晴, 田正其, 段梅梅, 王磊 2023 计量学报 44 1564
Google Scholar
Li H H, Wang Z M, Xu Q, Tian Z Q, Duan M M, Wang L 2023 Acta. Metrol. Sin. 44 1564
Google Scholar
[32] Trinchera B, Durandetto P, Serazio D 2024 Measurement 233 114747
Google Scholar
[33] 段梅梅, 赵双双, 徐晴, 王磊, 贾正森, 黄洪涛, 潘仙林 2022 电测与仪表 59 100
Google Scholar
Duan M M, Zhao S S, Xu Q, Wang L, Jia Z S, Huang H T, Pan X L 2022 Electr. Meas. Instrum. 59 100
Google Scholar
[34] Wu M K, Ashburn J R, Torng C J, Hor P H, Meng R L, Gao L, Huang Z J, Wang Y Q, Chu C W 1987 Phys. Rev. Lett. 58 908
Google Scholar
[35] 赵忠贤, 陈立泉, 杨乾声, 黄玉珍, 陈赓华, 唐汝明, 刘贵荣, 崔长庚, 陈烈, 王连忠, 郭树权, 李山林, 毕建清 1987 科学通报 32 412
Google Scholar
Zhao Z X, Chen L Q, Yang Q S, Huang Y Z, Chen G H, Tang R M, Liu G R, Cui C G, Chen L, Wang L Z, Guo S Q, Li S L, Bi J Q 1987 Chin. Sci. Bull. 32 412
Google Scholar
[36] Hilgenkamp H, Mannhart J 2002 Rev. Mod. Phys. 74 485
Google Scholar
[37] Hamilton C A, Burroughs C J, Benz S P, Kinard J R 1997 IEEE Trans. Instrum. Meas. 46 224
Google Scholar
[38] Chaudhari P, Mannhart J, Dimos D, Tsuei C C, Chi J, Oprysko M M, Scheuermann M 1988 Phys. Rev. Lett. 60 1653
Google Scholar
[39] Klushin A M, Prusseit W, Sodtke E, Borovitskii S I, Amatuni L E, Kohlstedt H 1996 Appl. Phys. Lett. 69 1634
Google Scholar
[40] Klushin A M, Weber C, Darula M, Semerad R, Prusseit W, Kohlstedt H, Braginski A I 1998 Supercond. Sci. Technol. 11 609
Google Scholar
[41] Klushin A M, Behr R, Numssen K, Siegel M, Niemeyer J 2002 Appl. Phys. Lett. 80 1972
Google Scholar
[42] Khorshev S K, Pashkovsky A I, Subbotin A N, Rogozhkina N V, Gryaznov Y M, Levichev M Y, Pestov E E, Galin M A, Maksimov V Y, Zhezlov D A, Katkov A S, Klushin A M 2019 IEEE Trans. Instrum. Meas. 68 2113
Google Scholar
[43] Klushin A M, Pestov E E, Galin M A, Levichev M Y 2016 Phys. Solid State 58 2196
Google Scholar
[44] Khorshev S K, Pashkovsky A I, Rogozhkina N V, Levichev M Y, Pestov E E, Katkov A S, Behr R, Kohlmann J, Klushin A M 2016 Proceedings of the Conference on Precision Electromagnetic Measurements (CPEM), Ottawa, CANADA, Jul 10–15, 2016 pp1–l2
[45] Jin, Y R, Jia, Q J, Deng H, Wang N, Jiang F Y, Tian Y, Gao M Y, Zheng D N 2015 IEEE Trans. Appl. Supercond. 25 1
Google Scholar
[46] Linghu K, Guo Z, Wu Q, Luo W, Nie R, Jin Y, Zheng D, Wang F, Gan Z 2019 IEEE Trans. Appl. Supercond. 29 1
Google Scholar
[47] Li Y L, Xu T Q, Wang Y, Wang F R, Gan Z Z 2023 Sensors 23 4434
Google Scholar
[48] 马平, 姚坤, 谢飞翔, 张升原, 邓鹏, 何东风, 张凡, 刘乐园, 聂瑞娟, 王福仁, 王守证, 戴远东 2002 51 224
Google Scholar
Ma P, Yao K, Xie F X, Zhang S Y, Deng P, He D F, Zhang F, Liu L Y, Nie R J, Wang F R, Wang S Z, Dai Y D 2002 Acta Phys. Sin. 51 224
Google Scholar
[49] 刘新元, 谢柏青, 戴远东, 王福仁, 李壮志, 马平, 谢飞翔, 杨涛, 聂瑞娟 2005 54 1937
Google Scholar
Liu X Y, Xie B Q, Dai Y D, Wang F R, Li Z Z, Ma P, Xie F X, Yang T, Nie R J 2005 Acta Phys. Sin. 54 1937
Google Scholar
[50] 王倩, 马平, 华宁, 陆宏, 唐雪正, 唐发宽 2010 59 2882
Google Scholar
Wang Q, Ma P, Hua N, Lu H, Tang X Z, Tang F K 2010 Acta Phys. Sin. 59 2882
Google Scholar
[51] Yu M, Geng H F, Hua T, An D Y, Xu W W, Chen Z N, Chen J, Wang H B, Wu P H 2020 Supercond. Sci. Technol. 33 025001
Google Scholar
[52] 尤立星, 冯一军, 潘俊, 吉争鸣, 周赣东, 康琳, 左景萍, 杨森祖, 吴培亨, 陈国新, 王牧 1999 低温 21 372
Google Scholar
You L X, Feng Y J, Pan J, Ji Z M, Zhou G D, Kang L, Zuo J P, Yang S Z, Wu P H, Chen G X, Wang M 1999 Chin. J. Low Temp. Phys. 21 372
Google Scholar
[53] 王争, 岳宏卫, 周铁戈, 赵新杰, 何明, 谢清连, 方兰, 阎少林 2009 58 7216
Google Scholar
Wang Z, Yue H W, Zhou T G, Zhao X J, He M, Xie Q L, Fang L, Yan S L 2009 Acta Phys. Sin. 58 7216
Google Scholar
[54] 王华兵, 许伟伟, 吴培亨 2017 物理 46 528
Google Scholar
Wang H B, Xu W W, Wu P H 2017 Physics 46 528
Google Scholar
[55] 高吉, 马平, 戴远东 2007 物理 36 869
Google Scholar
Dai Y D, Gao J, Ma P 2007 Physics 36 869
Google Scholar
[56] 张骏, 张辰, 张焱, 马平, 王越 2015 低温 37 423
Zhang J, Zhang C, Zhang Y, Ma P, Wang Y 2015 Chin. J. Low Temp. Phys. 37 423
[57] Xu T Q, Li Y L, Wang H Z, Wang Y, Wang F R, Gan Z Z 2023 Physica C 615 1354390
Google Scholar
[58] Klushin A M, Weber C, Borovitskii S I, Starodubrovskii R K, Lauer A, Wolff I, Kohlstedt H 1999 IEEE Trans. Instrum. Meas. 48 274
Google Scholar
[59] Rao C N R, Raveau B 1989 Acc. Chem. Res. 22 106
Google Scholar
[60] Hao L, Macfarlane J C, Pegrum C M 1996 Supercond. Sci. Technol. 9 678
Google Scholar
[61] Hao L, Macfarlane J C 1997 Physica C 292 315
Google Scholar
[62] Mcdaniel E B, Gausepohl S C, Li C T, Lee M, Hsu J W P, Rao R A, Eom C B 1997 Appl. Phys. Lett. 70 1882
Google Scholar
[63] Klushin A M, Borovitskii S I, Weber C, Sodtke E, Semerad R, Prusseit W, Gelikonova V D, Kohlstedt H 1997 3rd European Conference on Applied Superconductivity (EUCAS), Veldhoven, Netherlands, June 30–July 03, 1997 p587
[64] Tinchev S S 1990 Supercond. Sci. Technol. 3 500
Google Scholar
[65] Simon R W, Bulman J B, Burch J F, Coons S B, Daly K P, Dozier W D, Hu R, Lee A E, Luine J A, Platt C E, Schwarzbek S M, Wire M S, Zani M J 1991 IEEE Trans. Magn. 27 3209
Google Scholar
[66] Kang D J, Burnell G, Lloyd S J, Speaks R S, Peng N H, Jeynes C, Webb R, Yun J H, Moon S H, Oh B, Tarte E J, Moore D F, Blamire M G 2002 Appl. Phys. Lett. 80 814
Google Scholar
[67] Cybart S A, Chen K, Cui Y, Li Q, Xi X X, Dynes R C 2006 Appl. Phys. Lett. 88 012509
Google Scholar
[68] Sharafiev A, Malnou M, Feuillet-Palma C, Ulysse C, Wolf T, Couëdo F, Febvre P, Lesueur J, Bergeal N 2018 Supercond. Sci. Technol. 31 035003
Google Scholar
[69] Cybart S A, Anton S M, Wu S M, Clarke J, Dynes R C 2009 Nano Lett. 9 3581
Google Scholar
[70] Cybart S A, Cho E Y, Wong T J, Wehlin B H, Ma M K, Huynh C, Dynes R C 2015 Nat. Nanotechnol. 10 598
Google Scholar
[71] Cho E Y, Zhou Y W, Cho J Y, Cybart S A 2018 Appl. Phys. Lett. 113 022604
Google Scholar
[72] Cai H, Lefebvre J C, Li H, Cho E Y, Yoshikawa N, Cybart S A 2024 Appl. Phys. Lett. 124 212601
Google Scholar
[73] Li H, Cai H, Sarkar N, Lefebvre J C, Cho E Y, Cybart S A 2024 Appl. Phys. Lett. 124 192603
Google Scholar
[74] Lefebvre J C, Cho E Y, Cybart S A 2023 Appl. Phys. Lett. 123 112602
Google Scholar
[75] Goteti U S, Cai H, Lefebvre J C, Cybart S A, Dynes R C 2022 Sci. Adv. 8 eabn4485
Google Scholar
[76] Cai H, Li H, Cho E Y, Lefebvre J C, Cybart S A 2021 IEEE Trans. Appl. Supercond. 31 7200205
Google Scholar
[77] Elswick D, Ananth M, Stern L, Marshman J, Ferranti D, Huynh C 2013 Microsc. Microanal. 19 1304
Google Scholar
[78] Chen Z W, Li Y L, Zhu R, Xu J, Xu T Q, Yin D L, Cai X W, Wang Y, Lu J M, Zhang Y, Ma P 2022 Chin. Phys. Lett. 39 077402
Google Scholar
[79] Zaluzhnyy I A, Goteti U, Stoychev B K, Basak R, Lamb E S, Kisiel E, Zhou T, Cai Z, Holt M V, Beeman J W, Cho E Y, Cybart S, Shpyrko O G, Dynes R, Frano A 2024 ACS Appl. Nano Mater. 7 15943
Google Scholar
[80] Graser S, Hirschfeld P J, Kopp T, Gutser R, Andersen B M, Mannhart J 2010 Nat. Phys. 6 609
Google Scholar
[81] Yin D L, Cai X W, Xu T Q, Sun R N, Chen Z W, Han Y, Tian L F, Wang Y, Zhang Y, Gan Z Z 2024 Physica C 623 1354532
Google Scholar
[82] Chen Z W, Zhang Y, Ma P, Xu Z T, Li Y L, Wang Y, Lu J M, Ma Y W, Gan Z Z 2024 Chin. Phys. B 33 047405
Google Scholar
[83] Wang X, Chen F, Lin Z, Tian S, Li C, Kornev V, Kolotinskiy N 2024 Electromagn. Sci. 2 1
Google Scholar
[84] Kasaei L, Melbourne T, Li M J, Manichev V, Qin F, Hijazi H, Feldman L C, Gustafsson T, Davidson B A, Xi X X, Chen K 2019 IEEE Trans. Appl. Supercond. 29 1102906
Google Scholar
[85] Karrer M, Wurster K, Linek J, Meichsner M, Kleiner R, Goldobin E, Koelle D 2024 Phys. Rev. Appl. 21 014065
Google Scholar
计量
- 文章访问数: 1973
- PDF下载量: 111
- 被引次数: 0








下载: