-
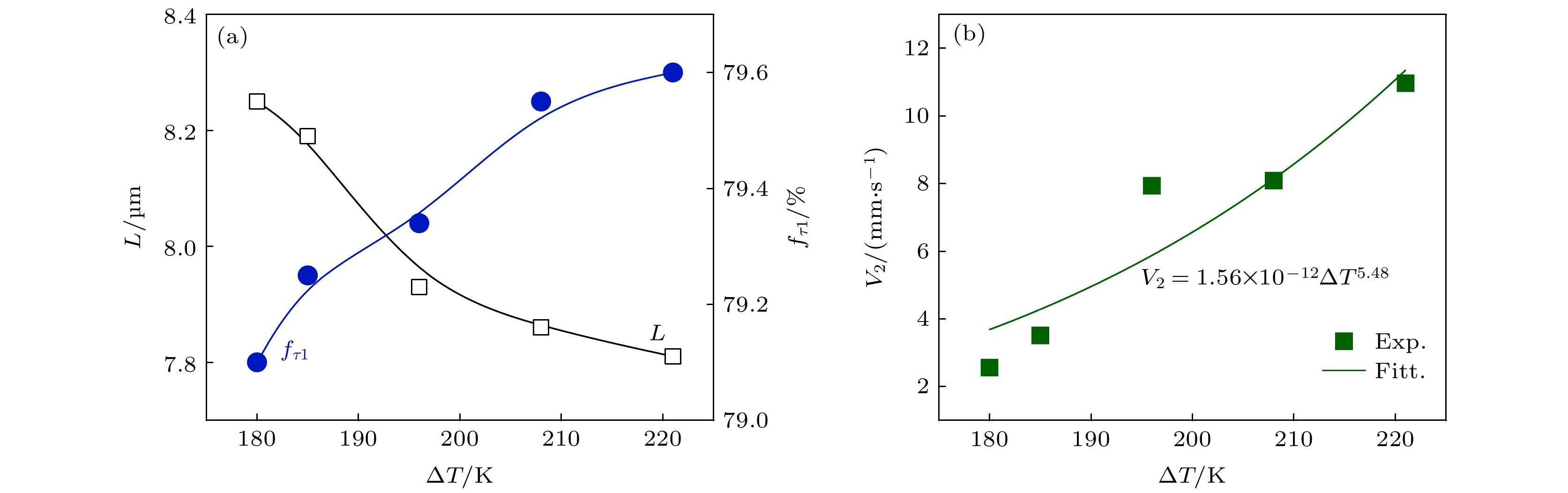
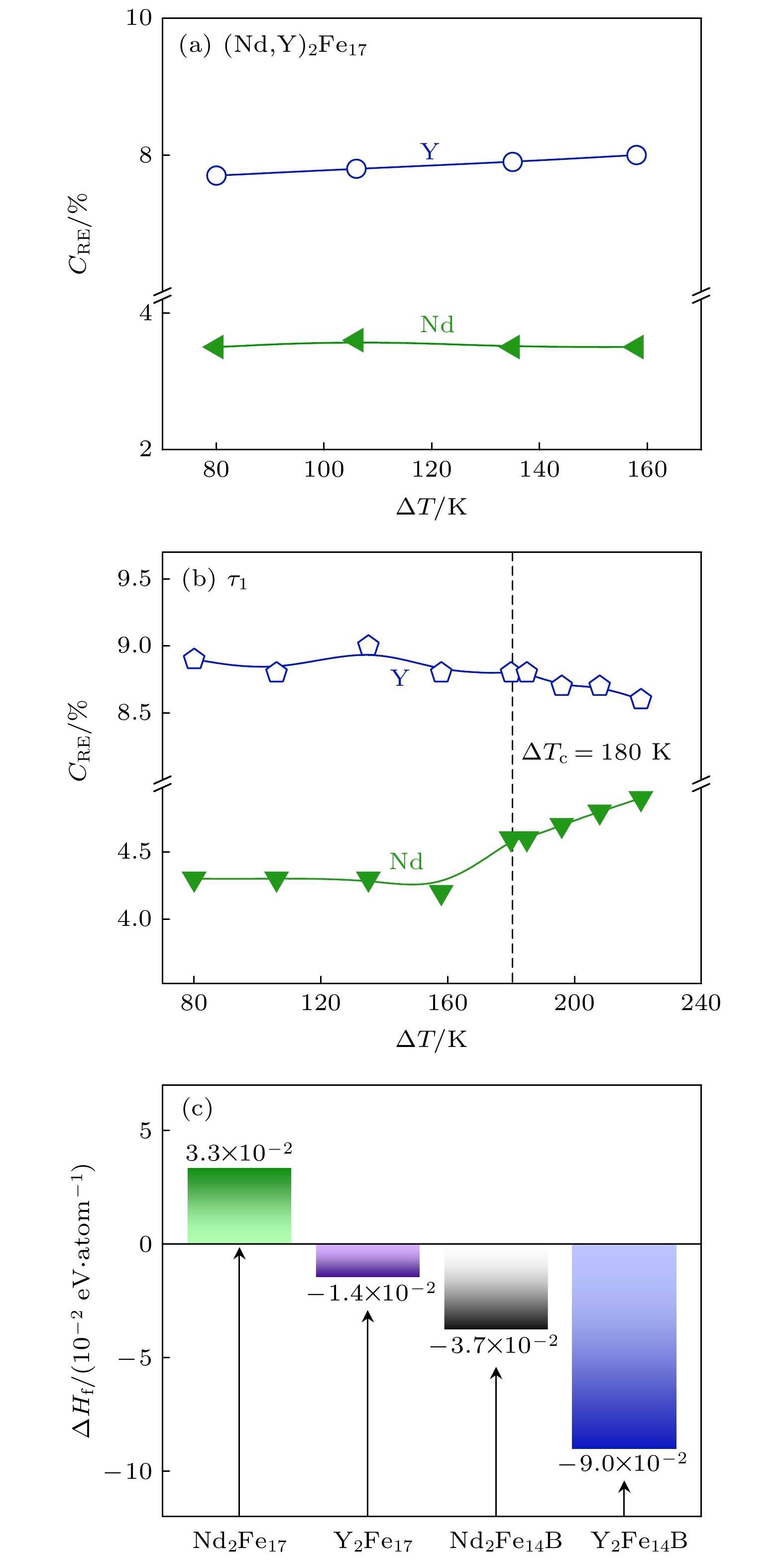
The metastable and stable liquid state thermophysical properties and rapid solidification mechanism of quaternary Fe75.6Nd10Y9B5.4 alloy with a maximum undercooling temperature of 221 K (0.14TL) are investigated using electrostatic levitation technique. The measured results indicate that the density, thermal expansion coefficient and the ratio of specific heat to emissivity of the liquid alloy comply with linear functional relationship with temperature in the range of 1402–1618 K. Molecular dynamics (MD) simulations show that the diffusion coefficients of Nd and Y elements decrease exponentially with temperature decreasing, with the former exhibiting a larger diffusion coefficient at the same temperature. When the liquid undercooling rises from 80 to 158 K, the growth velocity of primary (Nd,Y)2Fe17 phase dendrites increases from 3.8 to 5.7 mm·s–1, while exhibiting significant grain refinement effect. Meanwhile, the increased undercooling also promotes peritectic transformation, leading the volume fraction of peritectic τ1-(Nd,Y)2Fe14B phase to reach up to 75%. Once the undercooling reaches 180 K, the former peritectic τ1 phase, rather than the primary (Nd,Y)2Fe17 phase, becomes the leading phase, which nucleates and grows directly from the undercooled liquid alloy, and its growth velocity increases with undercooling from 2.6 to 11.0 mm·s–1. The calculation results of formation enthalpy show that the solid solution of the Y element can enhance the thermodynamic stability of the (Nd,Y)2Fe17 phase and the τ1 phase, thereby explaining the reason why the content of Y element in both phases is significantly higher than that of Nd element. Nevertheless, the content of Nd element in the τ1 phase slightly increases because its diffusion ability is stronger than that of Y if undercooling is higher than 180 K.
-
Keywords:
- Fe-Nd-Y-B alloy /
- electrostatic levitation /
- metastable liquid state thermophysical properties /
- rapid solidification microstructure
[1] Guo S, Liao S C, Fan X D, Ding G F, Zheng B, Chen R J, Yan A R 2022 Materials 15 5964
Google Scholar
[2] 万梓煊, 胡亮, 金英捷, 魏炳波 2025 74 038102
Google Scholar
Wan Z X, Hu L, Jin Y J, Wei B B 2025 Acta Phys. Sin. 74 038102
Google Scholar
[3] Paradis P, Ishikawa T, Koike N, Watanabe Y 2008 J. Jpn. Soc. Microgravity Appl. 25 407
Google Scholar
[4] Paradis P, Ishikawa T, Koike N 2009 Microgravity Sci. Tec. 21 113
Google Scholar
[5] Wille G, Millot F 2002 Int. J. Thermophys. 23 1197
Google Scholar
[6] Zheng Y P, Kang W G, Hu L, Zhai W, Wei B B 2023 J. Alloy. Compd. 968 172141
Google Scholar
[7] 李岫梅, 刘涛, 郭朝晖, 朱明刚, 李卫 2008 57 3823
Google Scholar
Li X M, Liu T, Guo Z H, Zhu M G, Li W 2008 Acta Phys. Sin. 57 3823
Google Scholar
[8] Zhang C H, Luo Y, Yu D B, Quan N T, Wu G Y, Dou Y K, Hu Z, Wang Z L 2020 Rare Metals 39 55
Google Scholar
[9] Fan X, Ding G 2018 Acta Mater. 154 343
Google Scholar
[10] Hu L, Wang H P, Li L H, Wei B B 2013 Sci. China Technol. Sci. 56 53
Google Scholar
[11] 金英捷, 耿德路, 林茂杰, 胡亮, 魏炳波 2024 73 086401
Google Scholar
Jin Y J, Geng D L, Lin M J, Hu L, Wei B B 2024 Acta Phys. Sin. 73 086401
Google Scholar
[12] Chathoth S M, Damaschke B, Samwer K, Schneider S 2008 Appl. Phys. Lett. 93 71902
Google Scholar
[13] Hu L, Li L H, Yang S J, Wei B B 2015 Chem. Phys. Lett. 621 91
Google Scholar
[14] Binder K, Horbach J, Kob W, Paul W, Varnik F 2004 J. Phys. Condens. Matter 16 S429
Google Scholar
[15] Biswas A, Bhattacharyya D 2025 J. Appl. Phys. 137 85301
Google Scholar
[16] Syarif J, Badawy K, Hussien H A 2021 Nucl. Mater. Energy 29 101073
Google Scholar
[17] Tadmor E B, Elliott R S 2011 Jom 63 17
Google Scholar
[18] Thol M, Rutkai G, Köster A, Lustig R, Span R, Vrabec J 2016 J. Phys. Chem. Ref. Data 45 023101
Google Scholar
[19] Einstein A 1905 Ann. Phys. 322 549
Google Scholar
[20] Ju Y Y, Zhang Q M, Gong Z Z, Ji G F 2013 Chin. Phys. B 22 83101
Google Scholar
[21] Fisher J C 1951 J. Appl. Phys. 22 74
Google Scholar
[22] Kresse G, Hafner J 1993 Phys. Rev. B 48 13115
Google Scholar
[23] Kresse F 1996 Phys. Rev. B 54 11169
Google Scholar
[24] Wang Y, Chen Z, Jiang H 2016 J. Chem. Phys. 144 144106
Google Scholar
[25] Perdew J P, Burke K 1996 Phys. Rev. Lett. 77 3865
Google Scholar
[26] Zou M Q, Dong H Y, Lu Y H, Wang T, Su D K, Wang Y F, Pan X Q, Zou Y 2025 Compt. Mater. Sci. 249 113626
Google Scholar
[27] Paul A, Laurila T, Vuorinen V, Divinski S V 2014 Thermodynamics, Diffusion and the Kirkendall Effect in Solids (Cham: Springer International Publishing) pp167–238
[28] Turnbull D 1950 J. Appl. Phys. 21 1022
Google Scholar
[29] Wu Y H, Chang J, Wang W L, Hu L, Yang S J, Wei B B 2017 Acta Mater. 129 366
Google Scholar
[30] Zhai W, Wei B B 2013 Mater. Lett. 108 145
Google Scholar
[31] Dinsdale A T 1991 Calphad 15 317
Google Scholar
[32] Gale W F, Totemeier T C 2004 Smithells Metals Reference Book. (London: Butterworth) pp998–1005
[33] Liao L X, Altounian Z, Ryan D H 1993 Phys. Rev. B 47 11230
Google Scholar
[34] Jaswal S S, Yelon W B, Hadjipanayis G C, Wang Y Z, Sellmyer D J 1991 Phys. Rev. Lett. 67 644
Google Scholar
[35] Hirosawa S, Matsuura Y, Yamamoto H, Fujimura S, Sagawa M, Yamauchi H 1986 J. Appl. Phys. 59 873
Google Scholar
[36] Koyama K, Fujii H 2000 Phys. Rev. B 61 9475
Google Scholar
-
图 1 四元Fe75.6Nd10Y9B5.4合金的亚稳和稳定液态热物理性质随温度变化规律 (a) 合金成分在Fe-Nd-Y-B相图773 K等温截面中的位置; (b) 密度与热膨胀系数; (c) 比热与辐射率之比; (d) Nd与Y元素扩散系数
Figure 1. Metastable and stable liquid state thermophysical properties of quaternary Fe75.6Nd10Y9B5.4 alloy versus temperature: (a) Alloy location in the 773 K isothermal section of Fe-Nd-Y-B phase diagram; (b) density and thermal expansion coefficient; (c) the ratio of specific heat to emissivity; (d) diffusivities of Nd and Y elements.
图 2 四元Fe75.6Nd10Y9B5.4合金的近平衡凝固路径 (a) DSC曲线; (b) XRD图谱; (c) 凝固组织; (d) (Nd, Y)2Fe17与τ1相形核率
Figure 2. Near-equilibrium solidification path of quaternary Fe75.6Nd10Y9B5.4 alloy: (a) DSC curve; (b) XRD patterns; (c) solidification microstructure; (d) the calculated nucleation rates of (Nd, Y)2Fe17 and τ1 phases.
图 3 小过冷条件下静电悬浮快速凝固过程与组织特征 (a) ∆T = 80 K冷却曲线; (b) ∆T = 80 K组织形态; (c) ∆T = 158 K冷却曲线; (d) ∆T = 158 K凝固组织
Figure 3. Rapid solidification process and microstructure characteristics under electrostatic levitation condition at small undercoolings: (a) Cooling curve at ΔT = 80 K; (b) microstructure morphology at ΔT = 80 K; (c) cooling curve at ΔT = 158 K; (d) solidification microstructure at ΔT = 158 K.
图 5 四元Fe75.6Nd10Y9B5.4合金深过冷快速凝固组织演变规律 (a) ∆T = 180 K冷却曲线; (b) ∆T = 180 K组织形貌; (c) ∆T = 221 K冷却曲线; (d) ∆T = 221 K凝固组织
Figure 5. Rapid solidification microstructure morphology of quaternary Fe75.6Nd10Y9B5.4 alloy at high undercooling regime: (a) Cooling curve at ΔT = 180 K; (b) microstructure morphology at ΔT = 180 K; (c) cooling curve at ΔT = 221 K; (d) solidification microstructure at ΔT = 221 K.
表 1 (Nd, Y)2Fe17与τ1相形核率计算的物理参数
Table 1. Physical parameters for calculating nucleation rates of (Nd, Y)2Fe17 and τ1 phases.
表 2 各相晶格常数计算结果与实验数据对比
Table 2. Comparison of the calculated lattice constants of each phase with experimental data.
Structure Lattice (Exp.) Refs. Lattice (Calculations in this work) A/Å b/Å c/Å a/Å ea/‰ b/Å eb/‰ c/Å ec/‰ Nd2Fe14B 8.800 8.800 12.200 [33] 8.819 2.16 8.818 2.05 12.253 4.34 Nd2Fe17 8.567 8.567 12.443 [34] 8.641 8.64 8.641 8.64 12.560 9.40 Y2Fe14B 8.760 8.760 12.000 [35] 8.775 1.71 8.775 1.71 12.018 1.50 Y2Fe17 8.520 8.520 12.380 [36] 8.584 7.50 8.584 7.50 12.378 0.16 注: eX (X = a, b, c)是计算结果相较于实验测定结果的计算误差. -
[1] Guo S, Liao S C, Fan X D, Ding G F, Zheng B, Chen R J, Yan A R 2022 Materials 15 5964
Google Scholar
[2] 万梓煊, 胡亮, 金英捷, 魏炳波 2025 74 038102
Google Scholar
Wan Z X, Hu L, Jin Y J, Wei B B 2025 Acta Phys. Sin. 74 038102
Google Scholar
[3] Paradis P, Ishikawa T, Koike N, Watanabe Y 2008 J. Jpn. Soc. Microgravity Appl. 25 407
Google Scholar
[4] Paradis P, Ishikawa T, Koike N 2009 Microgravity Sci. Tec. 21 113
Google Scholar
[5] Wille G, Millot F 2002 Int. J. Thermophys. 23 1197
Google Scholar
[6] Zheng Y P, Kang W G, Hu L, Zhai W, Wei B B 2023 J. Alloy. Compd. 968 172141
Google Scholar
[7] 李岫梅, 刘涛, 郭朝晖, 朱明刚, 李卫 2008 57 3823
Google Scholar
Li X M, Liu T, Guo Z H, Zhu M G, Li W 2008 Acta Phys. Sin. 57 3823
Google Scholar
[8] Zhang C H, Luo Y, Yu D B, Quan N T, Wu G Y, Dou Y K, Hu Z, Wang Z L 2020 Rare Metals 39 55
Google Scholar
[9] Fan X, Ding G 2018 Acta Mater. 154 343
Google Scholar
[10] Hu L, Wang H P, Li L H, Wei B B 2013 Sci. China Technol. Sci. 56 53
Google Scholar
[11] 金英捷, 耿德路, 林茂杰, 胡亮, 魏炳波 2024 73 086401
Google Scholar
Jin Y J, Geng D L, Lin M J, Hu L, Wei B B 2024 Acta Phys. Sin. 73 086401
Google Scholar
[12] Chathoth S M, Damaschke B, Samwer K, Schneider S 2008 Appl. Phys. Lett. 93 71902
Google Scholar
[13] Hu L, Li L H, Yang S J, Wei B B 2015 Chem. Phys. Lett. 621 91
Google Scholar
[14] Binder K, Horbach J, Kob W, Paul W, Varnik F 2004 J. Phys. Condens. Matter 16 S429
Google Scholar
[15] Biswas A, Bhattacharyya D 2025 J. Appl. Phys. 137 85301
Google Scholar
[16] Syarif J, Badawy K, Hussien H A 2021 Nucl. Mater. Energy 29 101073
Google Scholar
[17] Tadmor E B, Elliott R S 2011 Jom 63 17
Google Scholar
[18] Thol M, Rutkai G, Köster A, Lustig R, Span R, Vrabec J 2016 J. Phys. Chem. Ref. Data 45 023101
Google Scholar
[19] Einstein A 1905 Ann. Phys. 322 549
Google Scholar
[20] Ju Y Y, Zhang Q M, Gong Z Z, Ji G F 2013 Chin. Phys. B 22 83101
Google Scholar
[21] Fisher J C 1951 J. Appl. Phys. 22 74
Google Scholar
[22] Kresse G, Hafner J 1993 Phys. Rev. B 48 13115
Google Scholar
[23] Kresse F 1996 Phys. Rev. B 54 11169
Google Scholar
[24] Wang Y, Chen Z, Jiang H 2016 J. Chem. Phys. 144 144106
Google Scholar
[25] Perdew J P, Burke K 1996 Phys. Rev. Lett. 77 3865
Google Scholar
[26] Zou M Q, Dong H Y, Lu Y H, Wang T, Su D K, Wang Y F, Pan X Q, Zou Y 2025 Compt. Mater. Sci. 249 113626
Google Scholar
[27] Paul A, Laurila T, Vuorinen V, Divinski S V 2014 Thermodynamics, Diffusion and the Kirkendall Effect in Solids (Cham: Springer International Publishing) pp167–238
[28] Turnbull D 1950 J. Appl. Phys. 21 1022
Google Scholar
[29] Wu Y H, Chang J, Wang W L, Hu L, Yang S J, Wei B B 2017 Acta Mater. 129 366
Google Scholar
[30] Zhai W, Wei B B 2013 Mater. Lett. 108 145
Google Scholar
[31] Dinsdale A T 1991 Calphad 15 317
Google Scholar
[32] Gale W F, Totemeier T C 2004 Smithells Metals Reference Book. (London: Butterworth) pp998–1005
[33] Liao L X, Altounian Z, Ryan D H 1993 Phys. Rev. B 47 11230
Google Scholar
[34] Jaswal S S, Yelon W B, Hadjipanayis G C, Wang Y Z, Sellmyer D J 1991 Phys. Rev. Lett. 67 644
Google Scholar
[35] Hirosawa S, Matsuura Y, Yamamoto H, Fujimura S, Sagawa M, Yamauchi H 1986 J. Appl. Phys. 59 873
Google Scholar
[36] Koyama K, Fujii H 2000 Phys. Rev. B 61 9475
Google Scholar
Catalog
Metrics
- Abstract views: 1588
- PDF Downloads: 40
- Cited By: 0









DownLoad: