-
All-dielectric metasurfaces based on bound states in the continuum (BIC) are widely used in the field of micro-nano biosensors due to their ultra-high quality factor (Q), which can effectively enhance the interaction between light and matter. In this paper, a rectangular all-dielectric dimer metasurface based on BIC is proposed. The finite element method is used for simulation, and time-domain coupled mode theory is employed for theoretical analysis. For the parameters of the two rectangular components in the metasurface, such as their angles, refractive indices, widths, and heights, four different symmetry-breaking modes are designed. All of these modes realize the transformation from symmetry-protected BIC (SP-BIC) to quasi-BIC (QBIC), with the maximum Q factor reaching 1.75 × 104. These four breaking methods cover the current common SP-BIC breaking methods and provide choice for designing devices. After introducing the same asymmetric parameters, the QBIC resonance excited by the metasurface under the four control modes is dominated by magnetic dipoles. The sensitivity of the designed sensor device is almost at the same level, while the difference in figure of merit (FOM) can reach three orders of magnitude. In addition, under the same control mode, the sensitivity and FOM of the metasurface with positive breaking are higher than those with negative breaking when the absolute values of the breaking parameters are equal. After optimization and adjustment, the sensitivity and FOM of the metasurface reach 395 nm/RIU and 3502 RIU–1, respectively, and its comprehensive performance index is better than those in most of existing studies. The metasurface provides an effective means for sensing detection in the biological and medical fields. At the same time, this research offers a new insight into the design of refractive index sensors based on BIC.
-
Keywords:
- all-dielectric metasurface /
- bound states in the continuum /
- refractive index sensing /
- sensitivity
[1] Liu Z C, Guo T B, Tan Q, Hu Z P, Sun Y W, Fan H X, Zhang Z, Jin Y, He S L 2023 Nano Lett. 23 10441
Google Scholar
[2] Chen Z Q, Li P, Zhang S, Chen Y Q, Liu P, Duan H G 2019 Nanotechnology 30 335201
Google Scholar
[3] 成昱轩, 许辉, 于鸿飞, 黄林琴, 谷志超, 陈玉峰, 贺龙辉, 陈智全, 侯海良 2025 74 067801
Google Scholar
Cheng Y X, Xu H, Yu H F, Huang L Q, Gu Z C, Chen Y F, He L H, Chen Z Q, Hou H L 2025 Acta Phys. Sin. 74 067801
Google Scholar
[4] Yang H, Peng M Y, He H R, et al. 2025 Laser Photonics Rev. 19 2401398
Google Scholar
[5] He H R, Yu D, Gu Y J, et al. 2025 Laser Photonics Rev. e00564
Google Scholar
[6] Yang H, Ou K, Liu Q, Peng M Y, Xie Z W, Jiang Y T, Jia H H, Cheng X B, Jing H, Hu Y Q 2025 Light: Sci. Appl. 14 63
Google Scholar
[7] Yang H, Ou K, Wan H Y, Hu Y Q, Wei Z Y, Jia H H, Cheng X B, Liu N, Duan H G 2023 Mater. Today 67 424
Google Scholar
[8] Marinica D C, Borisov A G, Shabanov S V 2008 Phys. Rev. Lett. 100 183902
Google Scholar
[9] Li Z L, Nie G Z, Wang J H, Zhong F, Zhan S P 2024 Phys. Rev. Appl. 21 034039
Google Scholar
[10] Sadrieva Z F, Sinev I S, Koshelev K L, et al. 2017 ACS Photonics 4 723
Google Scholar
[11] Plotnik Y, Peleg O, Dreisow F, Heinrich M, Nolte S, Szameit A, Segev M 2011 Phys. Rev. Lett. 107 183901
Google Scholar
[12] Cong L Q, Singh R 2019 Adv. Opt. Mater. 7 1900383
Google Scholar
[13] Jahani Y, Arvelo E R, Yesilkoy F, et al. 2021 Nat. Commun. 12 3246
Google Scholar
[14] Song S Z, Yu S L, Li H, Zhao T G 2022 Laser Phys. 32 025403
Google Scholar
[15] Chen W J, Li M, Zhang W H, Chen Y H 2023 Nanophotonics 12 1147
Google Scholar
[16] Zhao J J, Fan X Y, Fang W J, Xiao W X, Sun F X, Li C C, Wei X, Tao J F, Wang Y L, Kumar S 2024 Sensors 24 3943
Google Scholar
[17] Li Z L, Xie M X, Nie G Z, Wang J H, Huang L J 2023 J. Phys. Chem. Lett. 14 10762
Google Scholar
[18] Zhang T, Huo Y P, Xu C M, Li J M, Zhang Z L 2024 J. Opt. Soc. Am. B: Opt. Phys. 42 50
Google Scholar
[19] 刘会刚, 张翔宇, 南雪莹, 赵二刚, 刘海涛 2024 73 047802
Google Scholar
Liu H G, Zhang X Y, Nan X Y, Zhao E G, Liu H T 2024 Acta Phys. Sin. 73 047802
Google Scholar
[20] Li N, Chen H, Zhao Y X, Wang Y T, Su Z X, Liu Y, Huang L L 2025 Nanophotonics 14 485
Google Scholar
[21] Xu Y L, Yang Y Y, Li H X, Ren L R 2025 J. Mater. Chem. C 13 1747
Google Scholar
[22] Yang N N, Lang T T, Cen W Y, Yu Z Y, Xiao M Y, Zhang J H, Qiu Y Q 2023 J. Opt. Soc. Am. B: Opt. Phys. 40 366
Google Scholar
[23] Liu J K, Dai H X, Ju J Q, Cheng K 2024 Phys. Chem. Chem. Phys. 26 9462
Google Scholar
[24] Liu J K, Lu Z N, Dai H X, Ju J Q, Zhao H W, Cao K Q 2024 J. Opt. 27 015001
Google Scholar
[25] Liu W J, Liang Z Z, Qin Z, Shi X Y, Yang F M, Meng D J 2022 Results Phys. 32 105125
Google Scholar
[26] Yu S L, Wang Y S, Gao Z, Li H, Song S Z, Yu J G, Zhao T G 2022 Opt. Express 30 4084
Google Scholar
[27] Gao J Y, Liu J, Yang H M, Liu H S, Zeng G H, Huang B 2023 Opt. Express 31 44703
Google Scholar
[28] Wu Q H, Wang J, Wang W, Lin J, Jin P, Liu S T, Zhou K Y 2024 Opt. Lett. 49 4186
Google Scholar
[29] 陈智全, 阳弘黎, 龙鑫琳, 肖云鹏, 贺龙辉, 聂国政, 侯海良, 鲁潇, 许辉 2025 中国科学: 物理学 力学 天文学 55 264212
Google Scholar
Chen Z Q, Yang H L, Long X L, Xiao Y P, He L H, Nie G Z, Hou H L, Lu X, Xu H 2025 Sci. China-Phys. Mech. Astron. 55 264212
Google Scholar
[30] Wang P F, He F Y, Liu J J, Shu F Z, Fang B, Lang T T, Jing X F, Hong Z 2022 Photonics Res. 10 2743
Google Scholar
[31] Fan S, Suh W, Joannopoulos J D 2003 J. Opt. Soc. Am. A: 20 569
Google Scholar
[32] Yu J B, Yao W Z, Qiu M, Li Q 2025 Light: Sci. Appl. 14 174
Google Scholar
[33] Koshelev K, Lepeshov S, Liu M K, Bogdanov A, Kivshar Y 2018 Phys. Rev. Lett. 121 193903
Google Scholar
[34] Chen W J, Chen Y T, Liu W 2019 Phys. Rev. Lett. 122 153907
Google Scholar
[35] Chen W J, Chen Y T, Liu W 2019 Laser Photonics Rev. 13 1900067
Google Scholar
[36] Koshelev K, Favraud G, Bogdanov A, Kivshar Y, Fratalocchi A 2019 Nanophotonics 8 725
Google Scholar
[37] Papasimakis N, Fedotov V A, Marinov K, Zheludev N I 2009 Phys. Rev. Lett. 103 093901
Google Scholar
[38] Kaelberer T, Fedotov V A, Papasimakis N, Tsai D P, Zheludev N I 2010 Science 330 1510
Google Scholar
[39] Huang Y W, Chen W T, Wu P C, et al. 2012 Opt. Express 20 1760
Google Scholar
[40] 龙鑫琳, 陈智全, 阳弘黎, 肖云鹏, 贺龙辉, 聂国政, 张小姣, 鲁潇, 侯海良, 许辉 2025 光学学报 45 1023001
Google Scholar
Long X L, Chen Z Q, Yang H L, Xiao Y P, He L H, Nie G Z, Zhang X J, Lu X, Hou H L, Xu H 2025 Acta Opt. Sin. 45 1023001
Google Scholar
[41] Wiersig J 2014 Phys. Rev. Lett. 112 203901
Google Scholar
[42] Hodaei H, Hassan A U, Wittek S, et al. 2017 Nature 548 187
Google Scholar
[43] Yan D, Shalin A S, Wang Y, Lai Y, Xu Y D, Hang Z H, Cao F, Gao L, Luo J 2025 Phys. Rev. Lett. 134 243802
Google Scholar
[44] 范辉颖, 罗杰 2022 71 247802
Google Scholar
Fan H Y, Luo J 2022 Acta Phys. Sin. 71 247802
Google Scholar
[45] Özdemir Ş K, Rotter S, Nori F, Yang L 2019 Nat. Mater. 18 783
Google Scholar
-
图 1 矩形全介质超表面 (a) 阵列结构示意图; (b) 元胞xy二维平面图; (c) 4种破缺方式下的元胞结构; (d) 时域耦合模式理论模型示意图
Figure 1. Rectangular all-dielectric metasurface: (a) Schematic diagram of the array structure; (b) two-dimensional planar graph of the unit cell in the xy-plane; (c) cell structures under four types of breaking modes; (d) schematic diagram of the time-coupled model theory.
图 2 Mode Ⅰ调谐下超表面的仿真结果与理论分析 (a) 元胞的xy二维平面图; (b) 不同对称破缺角度θ下的仿真透射光谱与拟合曲线; (c) Q因子和共振波长随旋转角度θ的变化关系; (d) Q因子与不对称参数α的关系; (e), (f) θ = 6°, θ = 12°时, QBIC共振处硅棒中心xz截面电场分布
Figure 2. Simulation results and theoretical analysis of the metasurface tuned by Mode I: (a) Two-dimensional planar graph of the unit cell in the xy-plane; (b) the simulated transmission spectra and fitting curves at different symmetry breaking angles θ; (c) relationship between the Q factor and the resonance wavelength as a function of the rotation angle θ; (d) relationship between the Q factor and the asymmetric parameter α; (e)–(f) when θ = 6° and θ = 12°, the electric field distribution in the xz section at the center of the silicon rod at QBIC resonance.
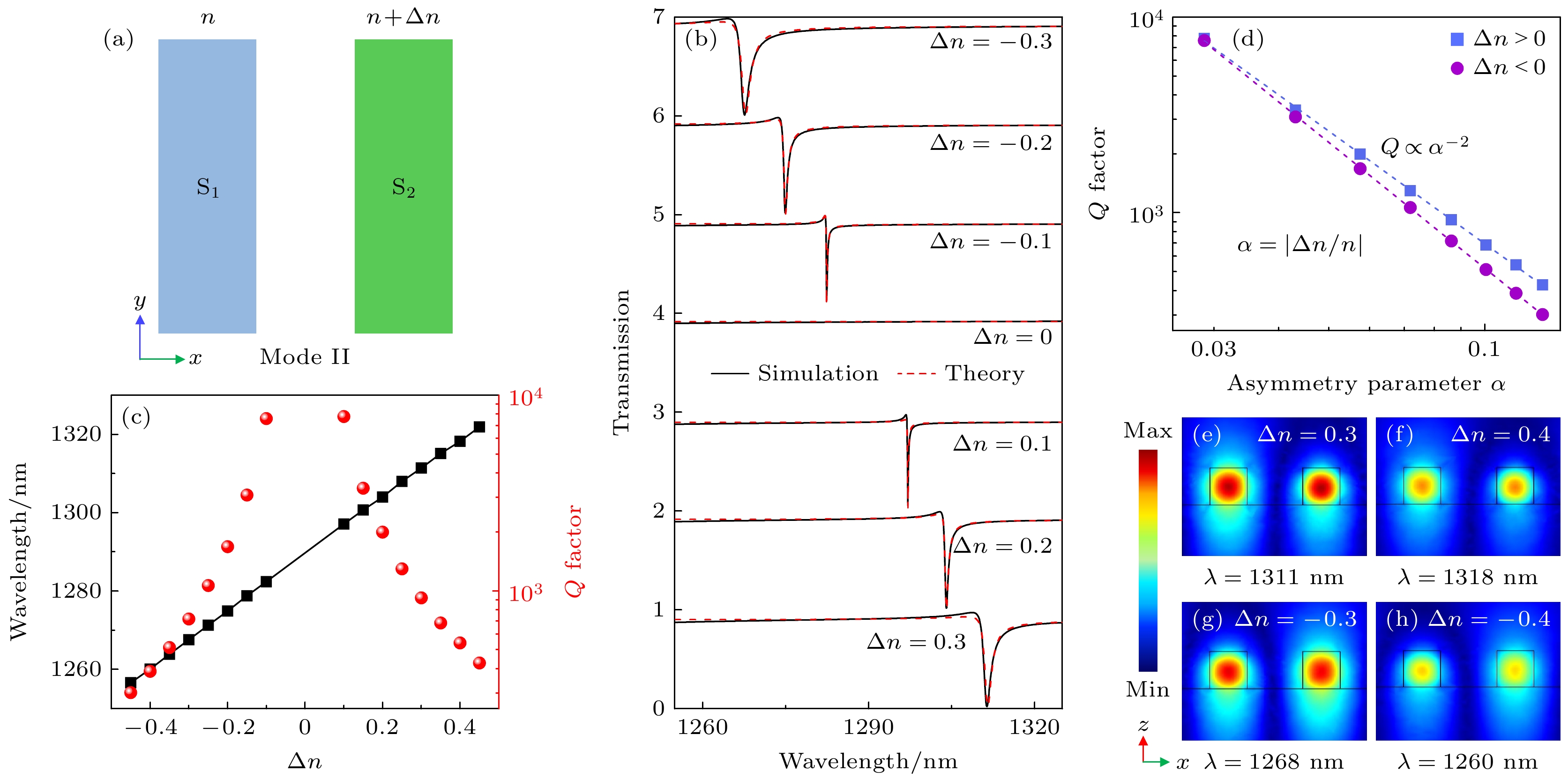
图 3 Mode Ⅱ调谐下超表面的仿真结果与理论分析 (a) 元胞的xy二维平面图; (b) 不同对称破缺折射率Δn下的仿真透射光谱与拟合曲线; (c) Q因子和共振波长随折射率Δn的变化关系; (d) Q因子与不对称参数α的关系; (e)—(h) Δn = ±0.3, Δn = ±0.4时QBIC共振处硅棒中心xz截面电场分布
Figure 3. Simulation results and theoretical analysis of the metasurface tuned by Mode II: (a) Two-dimensional plane graph of the unit cell in the xy-plane; (b) simulated transmission spectra and fitting curves under different symmetry-breaking refractive index Δn; (c) relationship between the Q factor and the resonance wavelength as a function of the refractive index Δn; (d) relationship between the Q factor and the asymmetric parameter α; (e)–(h) when Δn = ±0.3 and Δn = ±0.4, the electric field distribution in the xz cross section at the center of the silicon rod at QBIC resonance.
图 4 Mode Ⅲ调谐下超表面的仿真结果与理论分析 (a) 元胞的xy二维平面图; (b) 不同对称破缺宽度Δw下的仿真透射光谱与拟合曲线; (c) Q因子和共振波长随宽度Δw的变化关系; (d) Q因子与不对称参数α的关系; (e)—(h) Δw = ±30 nm, Δw = ±40 nm时QBIC共振处硅棒中心xz截面电场分布
Figure 4. Simulation results and theoretical analysis of the metasurface tuned by Mode III: (a) Two-dimensional planar graph of the unit cell in the xy-plane; (b) simulated transmission spectra and fitting curves under different symmetry-breaking widths Δw; (c) relationship between the Q factor and the resonance wavelength as a function of the width Δw; (d) relationship between the Q factor and the asymmetric parameter α; (e)–(h) when Δw = ±30 nm and Δw = ±40 nm, the electric field distribution in the xz cross section at the center of the silicon rod at QBIC resonance.
图 5 Mode Ⅳ调控下超表面的仿真结果与理论分析 (a) 元胞的xy二维平面图; (b) 不同对称破缺高度Δh下的仿真透射光谱与拟合曲线; (c) Q因子和共振波长随宽度Δh的变化关系; (d) Q因子与不对称参数α的关系; (e)—(h) Δh = ±30 nm, Δh = ±40 nm时QBIC共振处硅棒中心xz截面电场分布
Figure 5. Simulation results and theoretical analysis of the metasurface under the control of Mode IV: (a) Two-dimensional planar graph of the unit cell in the xy-plane; (b) simulated transmission spectra and fitting curves at different symmetry-breaking heights Δh; (c) variation of the Q factor and the resonance wavelength as a function of the width Δh; (d) relationship between the Q factor and the asymmetric parameter α; (e)–(h) when Δh = ±30 nm and Δh = ±40 nm, the electric field distribution in the xz section at the center of the silicon rod at QBIC resonance.
图 6 多极子分解对QBIC机理的分析. Mode Ⅰ调控 (a) 不同极矩散射功率; (b) 元胞内部xy截面下电场分布情况; (c) 不对称参数为0.1时, 4种破缺方式下的多极矩贡献情况
Figure 6. Multipole decomposition analysis of the QBIC mechanism. Mode I control: (a) Different polar scattering powers; (b) the electric field distribution in the xy section of the cell; (c) when the asymmetry parameter is 0.1, the multipole moment contributions under the four breaking modes.
图 7 当α = 0.1时, 对4种破缺方式下超表面的传感性能进行研究 (a) 4种破缺方式下QBIC共振的透射光谱; (b) Mode Ⅰ破缺模式下, 超表面在不同折射率传感介质中的透射谱; (c) 4种破缺模式下的QBIC共振波长与环境折射率的关系; (d) 4种破缺模式下的灵敏度; (e) 4种破缺模式下的FOM
Figure 7. When the asymmetry parameter α = 0.1, the sensing performance of the metasurface under four damage modes is studied: (a) Transmission spectra of QBIC resonance under four different breaking modes; (b) transmission spectra of the metasurface in different refractive index sensing media in Mode I broken mode; (c) relationship between the QBIC resonance wavelength and the ambient refractive index in four broken modes; (d) sensitivity under four breaking modes; (e) FOM values under four breaking modes.
图 8 正、负向破缺对超表面传感性能的影响. Mode Ⅲ调控 (a) 传感性能与破缺程度Δw的关系; (b)—(e) Δw = ±40 nm时, QBIC共振处柱体内部的xy平面和表面的xz端面的电场分布. Mode Ⅳ调控 (f) 传感性能与破缺程度Δh的关系; (g)—(j) Δh = ±40 nm时, QBIC共振处柱体内部的xy平面和表面的xz端面的电场分布
Figure 8. Effect of positive and negative breaks on the sensing performance of the metasurface. Mode III regulation: (a) Relationship between sensing performance and Δw; (b)–(e) when Δw = ±40 nm, the electric field distribution in the xy plane inside the cylinder and on the xz end face of the surface at QBIC resonance. Mode IV regulation: (f) Relationship between sensing performance and Δh; (g)–(j) when Δh = ±40 nm, the electric field distribution in the xy plane inside the cylinder and on the xz end face of the surface at QBIC resonance.
表 1 矩形全介质双聚体超表面传感性能与前期研究的对比
Table 1. Comparison of sensing performance of the rectangular all-dielectric dimer metasurface with previous studies.
-
[1] Liu Z C, Guo T B, Tan Q, Hu Z P, Sun Y W, Fan H X, Zhang Z, Jin Y, He S L 2023 Nano Lett. 23 10441
Google Scholar
[2] Chen Z Q, Li P, Zhang S, Chen Y Q, Liu P, Duan H G 2019 Nanotechnology 30 335201
Google Scholar
[3] 成昱轩, 许辉, 于鸿飞, 黄林琴, 谷志超, 陈玉峰, 贺龙辉, 陈智全, 侯海良 2025 74 067801
Google Scholar
Cheng Y X, Xu H, Yu H F, Huang L Q, Gu Z C, Chen Y F, He L H, Chen Z Q, Hou H L 2025 Acta Phys. Sin. 74 067801
Google Scholar
[4] Yang H, Peng M Y, He H R, et al. 2025 Laser Photonics Rev. 19 2401398
Google Scholar
[5] He H R, Yu D, Gu Y J, et al. 2025 Laser Photonics Rev. e00564
Google Scholar
[6] Yang H, Ou K, Liu Q, Peng M Y, Xie Z W, Jiang Y T, Jia H H, Cheng X B, Jing H, Hu Y Q 2025 Light: Sci. Appl. 14 63
Google Scholar
[7] Yang H, Ou K, Wan H Y, Hu Y Q, Wei Z Y, Jia H H, Cheng X B, Liu N, Duan H G 2023 Mater. Today 67 424
Google Scholar
[8] Marinica D C, Borisov A G, Shabanov S V 2008 Phys. Rev. Lett. 100 183902
Google Scholar
[9] Li Z L, Nie G Z, Wang J H, Zhong F, Zhan S P 2024 Phys. Rev. Appl. 21 034039
Google Scholar
[10] Sadrieva Z F, Sinev I S, Koshelev K L, et al. 2017 ACS Photonics 4 723
Google Scholar
[11] Plotnik Y, Peleg O, Dreisow F, Heinrich M, Nolte S, Szameit A, Segev M 2011 Phys. Rev. Lett. 107 183901
Google Scholar
[12] Cong L Q, Singh R 2019 Adv. Opt. Mater. 7 1900383
Google Scholar
[13] Jahani Y, Arvelo E R, Yesilkoy F, et al. 2021 Nat. Commun. 12 3246
Google Scholar
[14] Song S Z, Yu S L, Li H, Zhao T G 2022 Laser Phys. 32 025403
Google Scholar
[15] Chen W J, Li M, Zhang W H, Chen Y H 2023 Nanophotonics 12 1147
Google Scholar
[16] Zhao J J, Fan X Y, Fang W J, Xiao W X, Sun F X, Li C C, Wei X, Tao J F, Wang Y L, Kumar S 2024 Sensors 24 3943
Google Scholar
[17] Li Z L, Xie M X, Nie G Z, Wang J H, Huang L J 2023 J. Phys. Chem. Lett. 14 10762
Google Scholar
[18] Zhang T, Huo Y P, Xu C M, Li J M, Zhang Z L 2024 J. Opt. Soc. Am. B: Opt. Phys. 42 50
Google Scholar
[19] 刘会刚, 张翔宇, 南雪莹, 赵二刚, 刘海涛 2024 73 047802
Google Scholar
Liu H G, Zhang X Y, Nan X Y, Zhao E G, Liu H T 2024 Acta Phys. Sin. 73 047802
Google Scholar
[20] Li N, Chen H, Zhao Y X, Wang Y T, Su Z X, Liu Y, Huang L L 2025 Nanophotonics 14 485
Google Scholar
[21] Xu Y L, Yang Y Y, Li H X, Ren L R 2025 J. Mater. Chem. C 13 1747
Google Scholar
[22] Yang N N, Lang T T, Cen W Y, Yu Z Y, Xiao M Y, Zhang J H, Qiu Y Q 2023 J. Opt. Soc. Am. B: Opt. Phys. 40 366
Google Scholar
[23] Liu J K, Dai H X, Ju J Q, Cheng K 2024 Phys. Chem. Chem. Phys. 26 9462
Google Scholar
[24] Liu J K, Lu Z N, Dai H X, Ju J Q, Zhao H W, Cao K Q 2024 J. Opt. 27 015001
Google Scholar
[25] Liu W J, Liang Z Z, Qin Z, Shi X Y, Yang F M, Meng D J 2022 Results Phys. 32 105125
Google Scholar
[26] Yu S L, Wang Y S, Gao Z, Li H, Song S Z, Yu J G, Zhao T G 2022 Opt. Express 30 4084
Google Scholar
[27] Gao J Y, Liu J, Yang H M, Liu H S, Zeng G H, Huang B 2023 Opt. Express 31 44703
Google Scholar
[28] Wu Q H, Wang J, Wang W, Lin J, Jin P, Liu S T, Zhou K Y 2024 Opt. Lett. 49 4186
Google Scholar
[29] 陈智全, 阳弘黎, 龙鑫琳, 肖云鹏, 贺龙辉, 聂国政, 侯海良, 鲁潇, 许辉 2025 中国科学: 物理学 力学 天文学 55 264212
Google Scholar
Chen Z Q, Yang H L, Long X L, Xiao Y P, He L H, Nie G Z, Hou H L, Lu X, Xu H 2025 Sci. China-Phys. Mech. Astron. 55 264212
Google Scholar
[30] Wang P F, He F Y, Liu J J, Shu F Z, Fang B, Lang T T, Jing X F, Hong Z 2022 Photonics Res. 10 2743
Google Scholar
[31] Fan S, Suh W, Joannopoulos J D 2003 J. Opt. Soc. Am. A: 20 569
Google Scholar
[32] Yu J B, Yao W Z, Qiu M, Li Q 2025 Light: Sci. Appl. 14 174
Google Scholar
[33] Koshelev K, Lepeshov S, Liu M K, Bogdanov A, Kivshar Y 2018 Phys. Rev. Lett. 121 193903
Google Scholar
[34] Chen W J, Chen Y T, Liu W 2019 Phys. Rev. Lett. 122 153907
Google Scholar
[35] Chen W J, Chen Y T, Liu W 2019 Laser Photonics Rev. 13 1900067
Google Scholar
[36] Koshelev K, Favraud G, Bogdanov A, Kivshar Y, Fratalocchi A 2019 Nanophotonics 8 725
Google Scholar
[37] Papasimakis N, Fedotov V A, Marinov K, Zheludev N I 2009 Phys. Rev. Lett. 103 093901
Google Scholar
[38] Kaelberer T, Fedotov V A, Papasimakis N, Tsai D P, Zheludev N I 2010 Science 330 1510
Google Scholar
[39] Huang Y W, Chen W T, Wu P C, et al. 2012 Opt. Express 20 1760
Google Scholar
[40] 龙鑫琳, 陈智全, 阳弘黎, 肖云鹏, 贺龙辉, 聂国政, 张小姣, 鲁潇, 侯海良, 许辉 2025 光学学报 45 1023001
Google Scholar
Long X L, Chen Z Q, Yang H L, Xiao Y P, He L H, Nie G Z, Zhang X J, Lu X, Hou H L, Xu H 2025 Acta Opt. Sin. 45 1023001
Google Scholar
[41] Wiersig J 2014 Phys. Rev. Lett. 112 203901
Google Scholar
[42] Hodaei H, Hassan A U, Wittek S, et al. 2017 Nature 548 187
Google Scholar
[43] Yan D, Shalin A S, Wang Y, Lai Y, Xu Y D, Hang Z H, Cao F, Gao L, Luo J 2025 Phys. Rev. Lett. 134 243802
Google Scholar
[44] 范辉颖, 罗杰 2022 71 247802
Google Scholar
Fan H Y, Luo J 2022 Acta Phys. Sin. 71 247802
Google Scholar
[45] Özdemir Ş K, Rotter S, Nori F, Yang L 2019 Nat. Mater. 18 783
Google Scholar
Catalog
Metrics
- Abstract views: 2062
- PDF Downloads: 66
- Cited By: 0









DownLoad: