-
Dielectric glass ceramics that combine high power density and high energy density have important application value in achieving lightweight, miniaturization, and integration of pulse power devices. Compared with dielectric ceramics and polymers, dielectric glass-ceramics are composites consisting of a ceramic phase dispersed within a glass phase. Through the high-temperature melting, rapid cooling, and specific-temperature crystallization, the ceramic phase becomes uniformly distributed within the dense glass matrix, resulting in a composite structure characterized by low porosity, uniform grain size, and high density. Owing to the introduction of the high-dielectric-constant ceramic phase, the glass-ceramics exhibit excellent dielectric response. Furthermore, the pore-free, continuous, and highly insulating glass matrix effectively enhances the overall breakdown resistance of the material. Different molar concentrations of rare earth Dy3+ doped BaO-Na2O-Nb2O5 based glass ceramics are prepared using high-temperature melting combined with temperature-controlled crystallization process. The raw materials of glass ceramics are weighed according to the stoichiometric ratio and homogeneously mixed using a ball mill. The thoroughly mixed raw materials are placed in a high-temperature glass furnace and melted at 1550 ℃ for 2.5 h to ensure complete fusion. The melt is then rapidly cast into a preheated metal mold to obtain bulk glasses. These glasses are annealed at 650 ℃ for 3 h to relieve residual stresses. Subsequently, the transparent bulk glass blocks are cut into thin slices. Finally, these slices are heat-treated at 1100 ℃ for 3 h. Upon cooling, Dy3+ doped -based glass-ceramics with varying molar concentrations of the rare-earth ion are obtained. The effects of different molar concentrations of rare earth Dy3+ doping on the microstructure, crystallization behavior, and dielectric energy storage performance of BaO-Na2O-Nb2O5 based glass ceramics are systematically studied. The test results show that rare earth Dy3+ doping has almost no effect on the phase structure of BaO-Na2O-Nb2O5 based glass ceramics. Moderate rare earth Dy3+ doping can effectively promote the precipitation of Ba2NaNb5O15 ceramic phase in tungsten bronze structure, while improving the crystallinity of glass ceramics and increasing the dielectric constant of glass ceramics. In addition, rare earth Dy3+ doping also has the effect of inhibiting the growth of glass ceramic grains, which can improve the breakdown strength of BaO-Na2O-Nb2O5 based glass ceramics. When the rare earth Dy3+ doping molar concentration is 0.04 mol/mol, the dielectric constant of BaO-Na2O-Nb2O5 based glass ceramic is 97.0, the breakdown strength reaches 1485 kV/cm, and the highest energy storage density arrives at 8.01 J/cm3, which is 1.87 times that of undoped glass ceramics. This result provides experimental basis and technical reference for improving the performance of glass ceramic materials in the field of energy storage.
-
Keywords:
- BaO-Na2O-Nb2O5-SiO2-Al2O3-B2O3-ZrO2 /
- energy storage performance /
- glass ceramics /
- dielectric properties /
- rare earth ion Dy3+ doping
[1] Ahmad A, Zahra M, Alam F, et al. 2023 Fuel 336 126930
Google Scholar
[2] Zhu N, Liu J H, Zhou J T, Zhang L, Yao N, Liu X L, Chen Y X, Zhang J, Zhang X F 2022 Adv. Electron. Mater. 8 2200670
Google Scholar
[3] Zhou J J, Zhou W Y, Cao D, Zhang C H, Peng W W, Yao T, Zuo J, Cai J T, Li Y 2022 J Polym. Res. 29 72
Google Scholar
[4] 董久锋, 邓星磊, 牛玉娟, 潘子钊, 汪宏 2020 69 217701
Google Scholar
Dong J F, Deng X L, Niu Y J, Pan Z Z, Wang H 2020 Acta Phys. Sin. 69 217701
Google Scholar
[5] 杜金花, 李雍, 孙宁宁, 赵烨, 郝喜红 2020 69 127703
Google Scholar
Du J H, Li Y, Sun N N, Zhao Y, Hao X H 2020 Acta Phys. Sin. 69 127703
Google Scholar
[6] 刘少辉, 王娇, 王菲菲, 王远 2023 表面技术 52 346
Google Scholar
Liu S H, Wang J, Wang F F, Wang Y 2023 Surf. Tech 52 346
Google Scholar
[7] 卓俊添, 林铭浩, 张齐艳, 黄双武 2024 73 177701
Google Scholar
Zhuo J T, Lin M H, Zhang Q Y, Huang S W 2024 Acta Phys. Sin. 73 177701
Google Scholar
[8] Yang M Z, Ren W B, Guo M F, Shen Y 2022 Small 18 2205247
Google Scholar
[9] Wang Y, Wang H, Xu K, Wang B Y, Wang F, Li C L, Diao C L, Huang H B, Zheng H W 2022 Ceram. Int. 48 16114
Google Scholar
[10] Fu J, Yang M C, Wang R, Cheng S, Huang X Y, Wang S J, Li J L, Li M X, He J L, Li Q 2022 Mater. Today Energy 29 101101
Google Scholar
[11] Zhang J R, Zhang Z A, Han X, Fang R, Xu R X, Zhao L L 2021 Mater. Rev. 35 23162
[12] Zhang J R, Xu R X, Han X, Zhang Z A, Zhao L L, Cui B, Zhai C X, Lei X Y 2021 Funct. Mater. Lett. 14 2151004
Google Scholar
[13] 王娇, 刘少辉, 陈长青, 郝好山, 翟继卫 2020 69 218101
Google Scholar
Wang J, Liu S H, Chen C Q, Hao H S, Zhai J W 2020 Acta Phys. Sin. 69 218101
Google Scholar
[14] 王娇, 汪庆, 王远, 孙兴, 郝好山, 刘少辉 2024 硅酸盐学报 52 1310
Google Scholar
Wang J, Wang Q, Wang Y, Sun X, Hao H S, Liu S H 2024 J. Chin. Ceramic. Soc. 52 1310
Google Scholar
[15] Li D, Zhou D, Wang D, Zhao W C, Guo Y, Shi Z Q 2022 Adv. Funct. Mater. 32 2111776
Google Scholar
[16] Jiang Y, Huang Y, Fan Z H, Shen M, Huang H T, He Y B, Zhang Q F 2022 Chem. Eng. J. 446 136925
Google Scholar
[17] Qin B, Wang D, Liu X, et al. 2021 Science 373 56
Google Scholar
[18] Sun L, Shi Z C, Liang L, et al. 2022 ACS Appl. Mater. Interfaces 14 29292
Google Scholar
[19] Jiang Y, Luo Z M, Huang Y, Shen M, Huang H T, Jiang S L, He Y B, Zhang Q F 2022 J. Mater. Chem. A 10 18950
Google Scholar
[20] Prateek, Bhunia R, Sarkar A, Anand S, Garg A, Gupta R K 2021 Energy Technol. 9 2000905
Google Scholar
[21] Dong G H, Mao Y Q, Yang G M, et al. 2021 ACS Appl. Energy Mater. 4 4038
Google Scholar
[22] Zha J W, Tian Y Y, Zheng M S, Wan B Q, Yang X, Chen G G 2023 Mater. Today Energy 31 101217
Google Scholar
[23] Yu Y G, Shao W Z, Liu Y, Li Y, Zhong J, Ye H J, Zhen L 2023 J. Mater. Chem. A 11 5279
Google Scholar
[24] Rajabathar J R, Thankappan R, Al-Lohedan H, Al-Sigh H A 2023 J. Mater. Sci-Mater. El. 34 585
Google Scholar
[25] Peng S J, Du X F, Liang Z S, Ma M B, Guo Y, Xiong L L 2023 J. Energy Storage 60 106636
Google Scholar
[26] Zhao Y Y, Xu J W, Zhou C R, Yuan C L, Li Q N, Chen G H, Wang H, Yang L 2016 Ceram. Int. 42 2221
Google Scholar
[27] Liu X, Pu Y, Li P, Wu T, Pan G 2014 J. Mater. Sci-Mater. El. 25 3044
Google Scholar
[28] Xie W Q, Bai G X, Cai Y J, Tian Y, Huang F F, Xu S Q, Zhang J J 2019 J. Alloys Compd. 788 972
Google Scholar
[29] Chen G H, Liu T Y, Yang Y, Zhang W J 2012 Adv. Mater. Res. 535 1619
Google Scholar
[30] Zheng J, Chen G H, Yuan C L, Zhou C R, Chen X, Feng Q, Li M 2015 Ceram. Int. 42 1827
Google Scholar
[31] Zhou Y, Zhang Q M, Luo J, Tang Q, Du J 2012 Rare Met. 31 281
Google Scholar
[32] Wang J W, Tang L J, Shen B, Zhai J W 2014 J. Mater. Res. 29 288
Google Scholar
[33] Xue S X, Wang J W, Liu S H, Zhang W Q, Tang L J, Shen B, Zhai J W 2014 Ceram. Int. 40 7495
Google Scholar
[34] Zhang W Q, Wang J W, Xue S X, Liu S H, Shen B, Zhai J W 2014 J. Mater. Sci-Mater. El. 25 4145
Google Scholar
[35] Liu J H, Wang H T, Shen B, Zhai J W, Li P, Pan Z B 2017 J Am. Ceram. Soc. 100 506
Google Scholar
[36] Liu S H, Wang J, Ding J, Hao H S, Zhao L M, Xia S Y 2019 Ceram. Int. 45 4003
Google Scholar
-
图 1 不同摩尔浓度Dy3+掺杂BaO-Na2O-Nb2O5玻璃陶瓷的(a) XRD图谱、(b) XRD局部放大图、(c) 晶胞参数和结晶度; (d) Dy3+掺杂浓度为0.04 mol/mol BaO-Na2O-Nb2O5玻璃陶瓷的XRD精修全谱拟合图
Figure 1. (a) XRD pattern, (b) local enlargement of XRD pattern and (c) cell parameters and crystallinity of BaO-Na2O-Nb2O5 glass ceramics doped with vary concentrations of Dy3+; (d) full XRD refinement fit for the BaO-Na2O-Nb2O5 glass-ceramic doped with 0.04 mol/mol Dy3+.
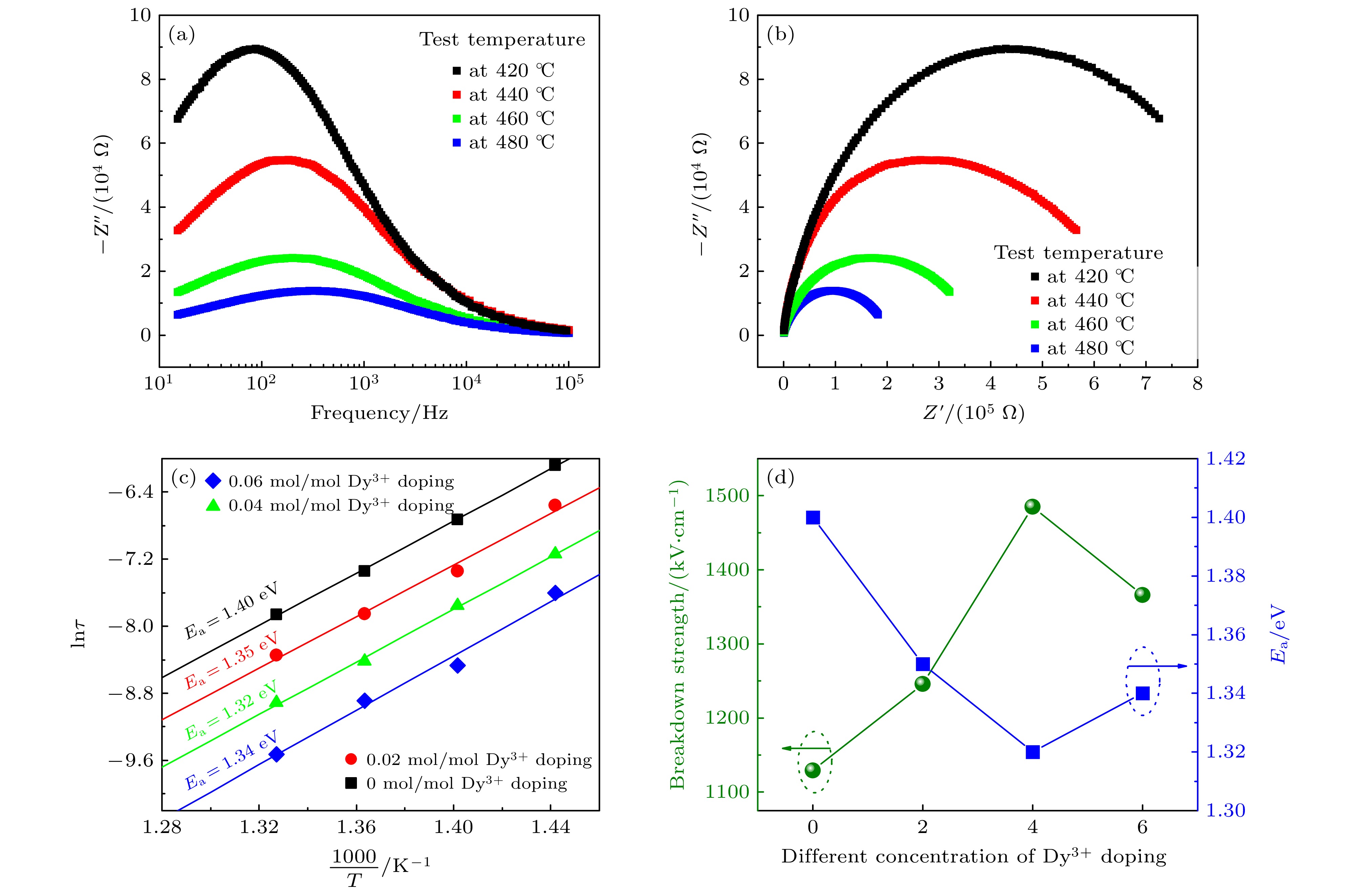
图 8 (a) 不同测试温度下稀土Dy3+掺杂浓度为0.04 mol/mol BaO-Na2O-Nb2O5玻璃陶瓷的阻抗虚部随频率的变化曲线; (b) 稀土Dy3+掺杂浓度为0.04 mol/mol时BaO-Na2O-Nb2O5玻璃陶瓷的复阻抗谱; (c) 不同摩尔浓度Dy3+掺杂BaO-Na2O-Nb2O5基玻璃陶瓷的界面激活能; (d) 不同摩尔浓度Dy3+掺杂BaO-Na2O-Nb2O5玻璃陶瓷的界面激活能与耐击穿场强关系图
Figure 8. (a) Variation of the imaginary part of impedance with frequency for 0.04 mol/mol Dy3+ doped strontium barium niobate glass ceramics at different test temperatures; (b) complex impedance spectrum of glass ceramics doped with 0.04 mol/mol Dy3+; (c) the interfacial activation energy of barium sodium niobate based glass ceramics doped with Dy3+ at different molar concentrations; (d) relationship between interfacial activation energy and breakdown field strength of barium sodium niobate glass ceramics doped with Dy3+ at different molar concentrations.
表 1 稀土Dy3+掺杂BaO-Na2O-Nb2O5基玻璃陶瓷精修结果及各相含量
Table 1. Refined results and phase contents of rare earth Dy3+ doped barium sodium niobate based glass ceramics.
Different concentration of
Dy3+ doping (mol/mol)Ba2NaNb5O15
/%NaNbO3
/%Rp
/%0 73.1 26.9 13.49 0.02 77.2 22.8 14.38 0.04 83.2 16.8 12.36 0.06 80.3 19.7 15.43 表 2 文献报道玻璃陶瓷的储能密度和本文结果比较
Table 2. Comparison between the energy storage density of glass ceramics reported in literature and the results presented in this paper.
Glass ceramic components U/(J·cm–3) Ref. Barium strontium titanate
glass ceramics1.13 [32] (BaO, Na2O)-Nb2O5-SiO2
glass ceramics5.12 [33] BaxSr1-xTiO3-(Ba-B-Al-Si-O)
glass ceramics4.89 [34] SrO-BaO-Nb2O5-TiO2-SiO2-Al2O3
glass ceramics7.73 [35] Strontium barium niobate based
glass ceramics7.9 [36] BaO-Na2O-Nb2O5-SiO2-TiO2-ZrO2
glass ceramics8.01 This work -
[1] Ahmad A, Zahra M, Alam F, et al. 2023 Fuel 336 126930
Google Scholar
[2] Zhu N, Liu J H, Zhou J T, Zhang L, Yao N, Liu X L, Chen Y X, Zhang J, Zhang X F 2022 Adv. Electron. Mater. 8 2200670
Google Scholar
[3] Zhou J J, Zhou W Y, Cao D, Zhang C H, Peng W W, Yao T, Zuo J, Cai J T, Li Y 2022 J Polym. Res. 29 72
Google Scholar
[4] 董久锋, 邓星磊, 牛玉娟, 潘子钊, 汪宏 2020 69 217701
Google Scholar
Dong J F, Deng X L, Niu Y J, Pan Z Z, Wang H 2020 Acta Phys. Sin. 69 217701
Google Scholar
[5] 杜金花, 李雍, 孙宁宁, 赵烨, 郝喜红 2020 69 127703
Google Scholar
Du J H, Li Y, Sun N N, Zhao Y, Hao X H 2020 Acta Phys. Sin. 69 127703
Google Scholar
[6] 刘少辉, 王娇, 王菲菲, 王远 2023 表面技术 52 346
Google Scholar
Liu S H, Wang J, Wang F F, Wang Y 2023 Surf. Tech 52 346
Google Scholar
[7] 卓俊添, 林铭浩, 张齐艳, 黄双武 2024 73 177701
Google Scholar
Zhuo J T, Lin M H, Zhang Q Y, Huang S W 2024 Acta Phys. Sin. 73 177701
Google Scholar
[8] Yang M Z, Ren W B, Guo M F, Shen Y 2022 Small 18 2205247
Google Scholar
[9] Wang Y, Wang H, Xu K, Wang B Y, Wang F, Li C L, Diao C L, Huang H B, Zheng H W 2022 Ceram. Int. 48 16114
Google Scholar
[10] Fu J, Yang M C, Wang R, Cheng S, Huang X Y, Wang S J, Li J L, Li M X, He J L, Li Q 2022 Mater. Today Energy 29 101101
Google Scholar
[11] Zhang J R, Zhang Z A, Han X, Fang R, Xu R X, Zhao L L 2021 Mater. Rev. 35 23162
[12] Zhang J R, Xu R X, Han X, Zhang Z A, Zhao L L, Cui B, Zhai C X, Lei X Y 2021 Funct. Mater. Lett. 14 2151004
Google Scholar
[13] 王娇, 刘少辉, 陈长青, 郝好山, 翟继卫 2020 69 218101
Google Scholar
Wang J, Liu S H, Chen C Q, Hao H S, Zhai J W 2020 Acta Phys. Sin. 69 218101
Google Scholar
[14] 王娇, 汪庆, 王远, 孙兴, 郝好山, 刘少辉 2024 硅酸盐学报 52 1310
Google Scholar
Wang J, Wang Q, Wang Y, Sun X, Hao H S, Liu S H 2024 J. Chin. Ceramic. Soc. 52 1310
Google Scholar
[15] Li D, Zhou D, Wang D, Zhao W C, Guo Y, Shi Z Q 2022 Adv. Funct. Mater. 32 2111776
Google Scholar
[16] Jiang Y, Huang Y, Fan Z H, Shen M, Huang H T, He Y B, Zhang Q F 2022 Chem. Eng. J. 446 136925
Google Scholar
[17] Qin B, Wang D, Liu X, et al. 2021 Science 373 56
Google Scholar
[18] Sun L, Shi Z C, Liang L, et al. 2022 ACS Appl. Mater. Interfaces 14 29292
Google Scholar
[19] Jiang Y, Luo Z M, Huang Y, Shen M, Huang H T, Jiang S L, He Y B, Zhang Q F 2022 J. Mater. Chem. A 10 18950
Google Scholar
[20] Prateek, Bhunia R, Sarkar A, Anand S, Garg A, Gupta R K 2021 Energy Technol. 9 2000905
Google Scholar
[21] Dong G H, Mao Y Q, Yang G M, et al. 2021 ACS Appl. Energy Mater. 4 4038
Google Scholar
[22] Zha J W, Tian Y Y, Zheng M S, Wan B Q, Yang X, Chen G G 2023 Mater. Today Energy 31 101217
Google Scholar
[23] Yu Y G, Shao W Z, Liu Y, Li Y, Zhong J, Ye H J, Zhen L 2023 J. Mater. Chem. A 11 5279
Google Scholar
[24] Rajabathar J R, Thankappan R, Al-Lohedan H, Al-Sigh H A 2023 J. Mater. Sci-Mater. El. 34 585
Google Scholar
[25] Peng S J, Du X F, Liang Z S, Ma M B, Guo Y, Xiong L L 2023 J. Energy Storage 60 106636
Google Scholar
[26] Zhao Y Y, Xu J W, Zhou C R, Yuan C L, Li Q N, Chen G H, Wang H, Yang L 2016 Ceram. Int. 42 2221
Google Scholar
[27] Liu X, Pu Y, Li P, Wu T, Pan G 2014 J. Mater. Sci-Mater. El. 25 3044
Google Scholar
[28] Xie W Q, Bai G X, Cai Y J, Tian Y, Huang F F, Xu S Q, Zhang J J 2019 J. Alloys Compd. 788 972
Google Scholar
[29] Chen G H, Liu T Y, Yang Y, Zhang W J 2012 Adv. Mater. Res. 535 1619
Google Scholar
[30] Zheng J, Chen G H, Yuan C L, Zhou C R, Chen X, Feng Q, Li M 2015 Ceram. Int. 42 1827
Google Scholar
[31] Zhou Y, Zhang Q M, Luo J, Tang Q, Du J 2012 Rare Met. 31 281
Google Scholar
[32] Wang J W, Tang L J, Shen B, Zhai J W 2014 J. Mater. Res. 29 288
Google Scholar
[33] Xue S X, Wang J W, Liu S H, Zhang W Q, Tang L J, Shen B, Zhai J W 2014 Ceram. Int. 40 7495
Google Scholar
[34] Zhang W Q, Wang J W, Xue S X, Liu S H, Shen B, Zhai J W 2014 J. Mater. Sci-Mater. El. 25 4145
Google Scholar
[35] Liu J H, Wang H T, Shen B, Zhai J W, Li P, Pan Z B 2017 J Am. Ceram. Soc. 100 506
Google Scholar
[36] Liu S H, Wang J, Ding J, Hao H S, Zhao L M, Xia S Y 2019 Ceram. Int. 45 4003
Google Scholar
Catalog
Metrics
- Abstract views: 1513
- PDF Downloads: 27
- Cited By: 0









DownLoad: