-
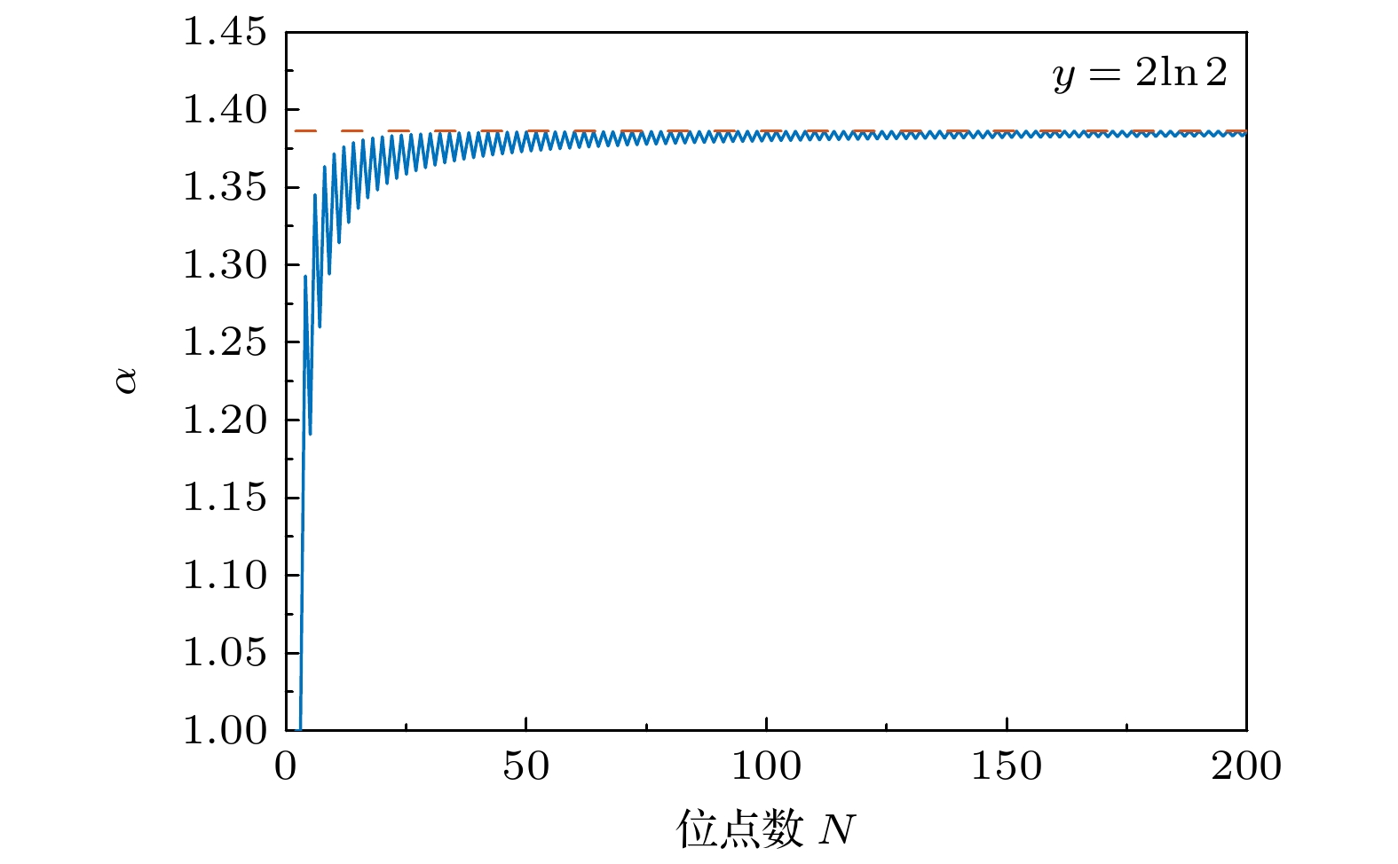
Dopant-induced quantum dot arrays in silicon-based nanostructures have received much attention due to their great potential applications in fields such as quantum computing and quantum simulation. When quantum dots are arranged in different geometric configurations such as linear, annular, or grid shapes, the differences in their inherent topological properties will lead to significantly different spatial distributions of the Coulomb interaction potential. The potential field distribution directly affects the phase coherence of electron wavefunctions, thereby regulating the dynamic behaviors of electrons such as electron tunneling and hopping between quantum dots, and greatly influencing the electron transport properties in the system. Our study aims to establish a basic theoretical framework to clarify the regulation mechanism of quantum dot geometric configurations on electron hopping transport. Therefore, we construct a generalized Fermi-Hubbard model for silicon-based dopant-induced quantum dot arrays. The model defines the distance between quantum dots through an effective Euclidean distance matrix ( D ), which uniquely determines the geometric shape of the array, and defines the allowed electron hopping modes through an adjacency matrix ( A ). Using the framework and exact diagonalization method, we perform detailed numerical simulations on the electron transport properties in the traditional unit cell of two-dimensional ordered distribution dopant-induced quantum dot arrays. Generally, the primitive unit of a two-dimensional orderly distributed dopant-induced quantum dot array is a regular polygon that satisfies specific translational and rotational symmetries. We thereby refer to the quantum dot arrays distributed according to regular polygons as annular arrays. The geometric features of annular quantum dot arrays and the electron hopping modes including nearest-neighbor hopping (NNH), next-nearest-neighbor hopping (NNNH) and long-range hopping (LRH), exhibit significant regulation of the electron addition energy and quantum conductance. The regulation arises from interactions of key energy parameters, including coupling strength (t), on-site Coulomb repulsion (U) and inter-site Coulomb repulsion (W). In the electron addition energy spectrum, such a regulation is manifested in two aspects: energy band broadening and Coulomb gap size. Band broadening is co-regulated by t and W. Under weak coupling conditions, the broadening Δt induced by coupling strength is proportional to t, with its proportional coefficient increasing with the number of hopping paths (LRH > NNNH > NNH). The broadening ΔW caused by inter-site Coulomb repulsion is proportional to W, with the proportional coefficient being β, which is a geometry-dependent correlation broadening coefficient. In multi-site annular arrays, β exhibits a logarithmic relationship with the site number N. The size of Coulomb gap is co-influenced by U, t and W. The competition between U and W determines the electron configuration mode (dominated by single-electron occupation of sites or double-electrons occupation of spaced sites), with a critical value α for electron configuration reconstruction that causes a change in electron configuration across the threshold. When U/W > α, single-electron occupation dominates, and the gap is determined by the competition between U and t; when U/W < α, double-electrons occupation dominates, the gap expands under the influence of W, accompanied by the formation of sub-bands. In the quantum conductance spectrum, regulation is reflected by the distribution of conductance peak intensity. Geometric configurations significantly affect peak intensity distribution. Linear arrays exhibit concentrated peak intensities due to edge states formed by open boundaries, while annular arrays with periodic boundaries and no edge states show more uniform peak distributions. Additionally, in annular arrays, the electron transport direction is non-collinear with the inter-site repulsion direction, endowing them with stronger robustness against transport inhibition induced by W. The influence of hopping modes is twofold. More hopping paths (LRH > NNNH > NNH) result in more non-zero hopping matrix elements, which causes higher average conductance. Meanwhile, hopping paths affect the phase coherence of wavefunctions, modulating the intensity of individual conductance peaks and forming distinct distribution. In conclusion, we establish a theoretical framework to clarify the physical mechanism, in which the geometric configurations and electron hopping modes of silicon-based dopant-induced quantum dot arrays regulate electron transport properties through synergistic interactions with key energy parameters (t, U, W). Electron addition energy spectra and quantum conductance spectra reveal the regulatory rules of these factors on electron transport behaviors, providing a theoretical guidance for optimally designing silicon-based quantum devices. -
Keywords:
- quantum dot arrays /
- electron hopping /
- geometric configuration /
- generalized extended Fermi-Hubbard model
[1] Prati E, Hori M, Guagliardo F, Ferrari G, Shinada T 2012 Nat. Nanotechnol. 7 443
Google Scholar
[2] Wang X Q, Khatami E, Fei F, Wyrick J, Namboodiri P, Kashid R, Rigosi A F, Bryant G, Silver R 2022 Nat. Commun. 13 6824
Google Scholar
[3] Hubbard J 1963 Proc. Ro. Soc. London A 276 238
Google Scholar
[4] Beenakker C W J 1991 Phys. Rev. B 44 1646
Google Scholar
[5] Chen G, Klimeck G, Datta S, Chen G, Goddard W A 1994 Phys. Rev. B 50 8035
Google Scholar
[6] Yu Z M, Johnson A T, Heinzel T 1998 Phys. Rev. B 58 13830
Google Scholar
[7] Le N H, Fisher A J, Ginossar E 2017 Phys. Rev. B 96 245406
Google Scholar
[8] Wang S S, Li K, Dai Y M, Wang H H, Zhang Y C, Zhang Y Y 2023 Sci. Rep. 13 5763
Google Scholar
[9] Devi S, Ahluwalia P K, Chand S 2020 Pramana 94 60
Google Scholar
[10] Gamble J K, Jacobson N T, Nielsen E, Baczewski A D, Moussa J E, Montaño I, Muller R P 2015 Phys. Rev. B 91 235318
Google Scholar
[11] Hu X, Koiller B, Das Sarma S 2005 Phys. Rev. B 71 235332
Google Scholar
[12] Weber B, Mahapatra S, Ryu H, Lee S, Fuhrer A, Reusch T C G, Thompson D L, Lee W C T, Klimeck G, Hollenberg L C L, Simmons M Y 2012 Science 335 64
Google Scholar
[13] Voisin B, Bocquel J, Tankasala A, Usman M, Salfi J, Rahman R, Simmons M, Hollenberg L, Rogge S 2020 Nat. Commun. 11 6124
Google Scholar
[14] Slater J C, Koster G F 1954 Phys. Rev. 94 1498
Google Scholar
[15] Grzybowski P R, Chhajlany R W 2012 Phys. Status Solidi B 249 2231
Google Scholar
[16] Janod E, Tranchant J, Corraze B, Querré M, Stoliar P, Rozenberg M, Cren T, Roditchev D, Phuoc V T, Besland M P 2015 Adv. Funct. Mater. 25 6287
Google Scholar
[17] Morgan N Y, Abusch-Magder D, Kastner M A, Takahashi Y, Tamura H, Murase K 2001 J. Appl. Phys. 89 410
Google Scholar
[18] Cha M H, Hwang J 2020 Sci. Rep. 10 16701
Google Scholar
[19] Ochoa M A, Liu K, Zieliński M, Bryant G 2024 Phys. Rev. B 109 205412
Google Scholar
[20] Gerace D, Pavarini E, Andreani L C 2002 Phys. Rev. B 65 155331
Google Scholar
[21] Yi K S, Trivedi K, Floresca H C, Yuk H, Hu W, Kim M J 2011 Nano Lett. 11 5465
Google Scholar
-
图 3 (a) 束缚在硅中孤立P杂质原子上的电子基态1sA1多谷耦合波函数; (b) 沿[100]晶向排列的杂质原子的耦合强度tij随杂质原子间间距dij的关系; (c) 沿[110]晶向排列的杂质原子的耦合强度tij随杂质原子间间距dij的关系; (d) 沿[100]晶向排列的杂质原子的长程库仑吸引能Vij位间电子排斥能Wij随杂质原子间间距dij的关系; (e) 沿[110]晶向排列的杂质原子的长程库仑吸引能Vij位间电子排斥能Wij随杂质原子间间距dij的关系
Figure 3. (a) The ground state 1sA1 multi-valley coupled wavefunction of the electron bound to isolated P donor atoms in silicon; (b) the relationship between the coupling strength tij of dopant atoms arranged along the [100] crystal direction and the distance dij between dopant atoms; (c) the relationship between the coupling strength tij of dopant atoms arranged along the [110] crystal direction and the distance dij between dopant atoms; (d) the relationship between the long-range Coulomb attraction energy Vij, the inter-site electron repulsion energy Wij and the distance dij between impurity atoms arranged along the [100] crystal direction; (e) the relationship between the long-range Coulomb attraction energy Vij, the inter-site electron repulsion energy Wij and the distance dij between impurity atoms arranged along the [110] crystal direction.
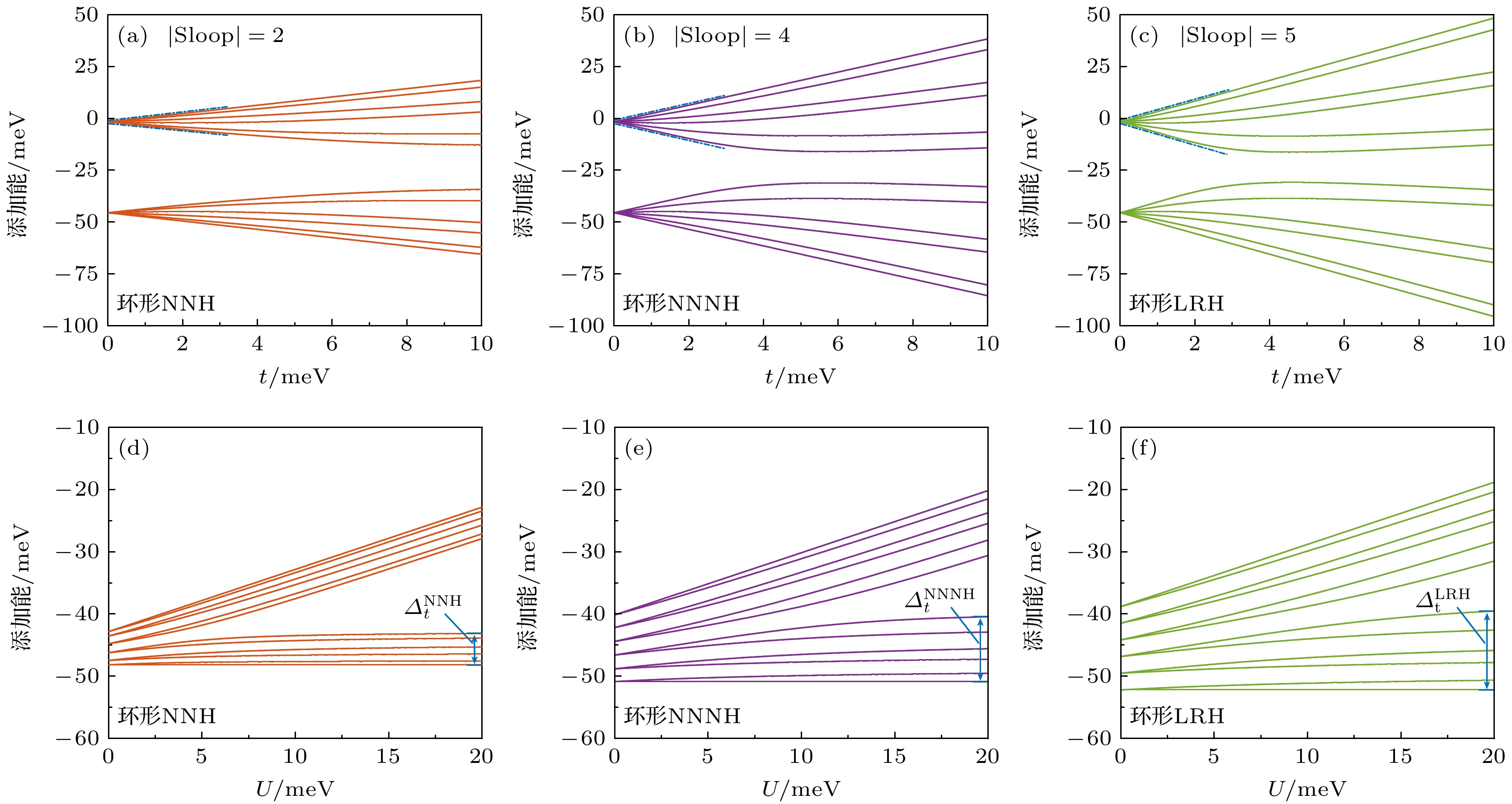
图 4 环形阵列($N = 6$)的电子添加能, 红色为NNH模型、紫色为NNNH模型、绿色为LRH模型 (a)—(c) 耦合强度对阵列电子添加能的影响($U = 43.86\ {\text{meV}}$); (d)—(f) 位间电子排斥能对于阵列电子添加能的影响($t = 1.34\ {\text{meV}}$)
Figure 4. The addition energy spectra of a 6-site annular array with the red representing NNH model, the purple representing NNNH model, and the green representing LRH model: (a)–(c) the influence of coupling strength tij on addition energy spectra of the array; (d)–(f) the influence of inter-site Coulomb interaction U on addition energy spectra of the array.
图 8 杂质原子阵列的电导特性对能量参数的响应规律 (a)—(d) 耦合强度t对电导特性的影响; (e)—(h) 在位电子排斥能U对电导特性的影响; (i)—(l) 最近邻位间电子排斥能W对电导特性的影响; (a), (e), (i) 仅存在最近邻跃迁的一维阵列; (b), (f), (j) NNH环形阵列; (c), (g), (k) NNNH环形阵列; (d), (h), (l) LRH环形阵列
Figure 8. The response of conductance characteristics to energy parameters in dopant-atom arrays: (a)–(d) The influence of coupling strength t on conductance; (e)–(h) the influence of on-site electron repulsion energy U on conductance; (i)–(l) the influence of nearest-neighbor inter-site electron repulsion energy W on conductance; (a), (e), (i) An 1D dopant-atom array with only nearest-neighbor hopping electrons; (b), (f), (j) NNH annular array; (c), (g), (k) NNH annular array; (d), (h), (l) LRH annular array.
图 9 不同杂质原子阵列的温度依赖的电导特性 (a)—(d) 无位间电子排斥能和长程库仑吸引能体系; (e)—(h) 存在位间电子排斥能和长程库仑吸引能体系; (a), (e) 仅存在最近邻跃迁的一维阵列; (b), (f) NNH环形阵列; (c), (g) NNNH环形阵列; (d), (h) LRH环形阵列
Figure 9. Temperature-dependent conductance characteristics of the dopant-atom arrays: (a)–(d) Systems without inter-site repulsion Wij and long-range attraction Vij; (e)–(h) systems with inter-site repulsion Wij and long-range attraction Vij; (a), (e) An 1D dopant-atom array with only nearest-neighbor hopping electrons; (b), (f) NNH annular array; (c), (g) NNNH annular array; (d), (h) LRH annular array.
图 10 电子添加能能级间距(电导子峰间距)$\varDelta {E_{{\text{ad}}}}$随最近邻杂质原子间距d的变化关系 (a) NNH模型; (b) NNNH模型; (c) LRH模型
Figure 10. Dependence of electron addition energy level spacing $\varDelta {E_{{\text{ad}}}}$(corresponding to conductance sub-peak spacing) spacing on nearest-neighbor dopant-induced separation d: (a) NNH model; (b) NNNH model; (c) LRH model.
-
[1] Prati E, Hori M, Guagliardo F, Ferrari G, Shinada T 2012 Nat. Nanotechnol. 7 443
Google Scholar
[2] Wang X Q, Khatami E, Fei F, Wyrick J, Namboodiri P, Kashid R, Rigosi A F, Bryant G, Silver R 2022 Nat. Commun. 13 6824
Google Scholar
[3] Hubbard J 1963 Proc. Ro. Soc. London A 276 238
Google Scholar
[4] Beenakker C W J 1991 Phys. Rev. B 44 1646
Google Scholar
[5] Chen G, Klimeck G, Datta S, Chen G, Goddard W A 1994 Phys. Rev. B 50 8035
Google Scholar
[6] Yu Z M, Johnson A T, Heinzel T 1998 Phys. Rev. B 58 13830
Google Scholar
[7] Le N H, Fisher A J, Ginossar E 2017 Phys. Rev. B 96 245406
Google Scholar
[8] Wang S S, Li K, Dai Y M, Wang H H, Zhang Y C, Zhang Y Y 2023 Sci. Rep. 13 5763
Google Scholar
[9] Devi S, Ahluwalia P K, Chand S 2020 Pramana 94 60
Google Scholar
[10] Gamble J K, Jacobson N T, Nielsen E, Baczewski A D, Moussa J E, Montaño I, Muller R P 2015 Phys. Rev. B 91 235318
Google Scholar
[11] Hu X, Koiller B, Das Sarma S 2005 Phys. Rev. B 71 235332
Google Scholar
[12] Weber B, Mahapatra S, Ryu H, Lee S, Fuhrer A, Reusch T C G, Thompson D L, Lee W C T, Klimeck G, Hollenberg L C L, Simmons M Y 2012 Science 335 64
Google Scholar
[13] Voisin B, Bocquel J, Tankasala A, Usman M, Salfi J, Rahman R, Simmons M, Hollenberg L, Rogge S 2020 Nat. Commun. 11 6124
Google Scholar
[14] Slater J C, Koster G F 1954 Phys. Rev. 94 1498
Google Scholar
[15] Grzybowski P R, Chhajlany R W 2012 Phys. Status Solidi B 249 2231
Google Scholar
[16] Janod E, Tranchant J, Corraze B, Querré M, Stoliar P, Rozenberg M, Cren T, Roditchev D, Phuoc V T, Besland M P 2015 Adv. Funct. Mater. 25 6287
Google Scholar
[17] Morgan N Y, Abusch-Magder D, Kastner M A, Takahashi Y, Tamura H, Murase K 2001 J. Appl. Phys. 89 410
Google Scholar
[18] Cha M H, Hwang J 2020 Sci. Rep. 10 16701
Google Scholar
[19] Ochoa M A, Liu K, Zieliński M, Bryant G 2024 Phys. Rev. B 109 205412
Google Scholar
[20] Gerace D, Pavarini E, Andreani L C 2002 Phys. Rev. B 65 155331
Google Scholar
[21] Yi K S, Trivedi K, Floresca H C, Yuk H, Hu W, Kim M J 2011 Nano Lett. 11 5465
Google Scholar
Catalog
Metrics
- Abstract views: 1743
- PDF Downloads: 38
- Cited By: 0









DownLoad: