-
太阳辐射层与对流层边界区域($ T\approx180$ eV, $ n_{\mathrm{e}}\approx 9\times10^{22}\;{\rm{cm}}^{-3}$)是太阳内部能量传输方式从辐射主导向对流主导转变的关键界面, 也是研究高温稠密等离子体物理的天然实验室. 这一区域的物理特性决定了恒星演化模型的可靠性与能量传输机制的稳定性, 特别是高温稠密等离子体中强烈的碰撞电离会改变电子数密度分布, 进而影响能量的输运过程. 本文发展了一种耦合等离子体环境效应来计算原子结构的新方法: 通过将计算原子结构的Flexible Atomic Code (FAC)与超网链(hypernetted-chain, HNC)近似相结合, 在原子波函数计算中引入电子-电子、电子-离子关联函数来考虑等离子体中屏蔽效应, 系统研究了极端条件下电子碰撞电离的物理机制. 基于扭曲波近似的计算表明, 考虑等离子体环境效应时, 碳、氮和氧元素的电子碰撞电离截面较自由原子模型显著增强, 同时电离阈值出现明显下降的现象. 研究发现这种增强效应主要源于离子间强耦合导致的原子势场重叠和自由电子屏蔽引起的束缚态能级移动. 本研究直接将离子结构引入电子结构计算的哈密顿量中, 所获得的电离参数可直接用于改进太阳内部辐射输运模型, 为惯性约束聚变等极端条件等离子体研究提供了理论支持.The solar radiation-convection boundary ($ T \thicksim 180$ eV, $ n_{\mathrm{e}} \thicksim 9 \times 10^{22}\;{\rm{cm}}^{-3}$) marks the transition from radiative to convective energy transport, serving as a natural laboratory for hot dense plasmas. Its physical properties are crucial for stellar evolution and energy transport models, yet how electron-impact ionization (EII) is influenced by hot-dense environment effects—such as electron screening and ion correlation—remains unclear. To address this, we systematically calculate EII cross sections for C, N, and O ions under realistic solar boundary conditions, focusing on the role of environmental effects. We develop a novel computational framework that integrates hot-dense environment effects into atomic structure calculations: the Flexible Atomic Code (FAC) for atomic structure is combined with the Hypernetted-chain (HNC) approximation to capture electron–electron, electron–ion and ion-ion correlations, enabling self-consistent treatment of electron screening and ion correlation. Atomic wave functions are derived by solving the Dirac equation within the ion-sphere model, using a modified central potential that combines both free-electron screening and ion–ion interactions. EII cross sections are then computed via the distorted-wave (DW) approximation in FAC. The results demonstrate that the hot-dense environment effects significantly enhance the electron-impact ionization cross sections of C, N, and O, compared with those calculated under the free-atom model. Additionally, a notable reduction in the ionization threshold energy is observed. These effects are attributed to the overlap of atomic potentials due to strong ion coupling and the shift in bound-state energy levels caused by free-electron screening. For instance, under solar boundary conditions, the ionization cross section of C+ is increased by up to 50%, with the ionization threshold decreasing from about 24 eV (isolated) to 18 eV (with screening). Similar enhancements are observed for nitrogen and oxygen ions across various charge states. By establishing updated ionization cross sections for C, N, and O ions under realistic solar interior conditions, this work provides fundamental parameters for improving radiation transport models, ionization balance calculations, and equation-of-state models in stellar interiors. The results underscore the necessity of incorporating hot-dense environment effects in the calculations of atomic processes in hot dense plasmas, which is of great significance for astrophysics and inertial confinement fusion research.
-
Keywords:
- radiation/convection zone boundary /
- environment effect /
- electron impact ionization /
- hypernetted-chain approximation
[1] Guenther D B, Demarque P, Kim Y C, Pinsonneault M H 1992 APJ 387 372
Google Scholar
[2] Bahcall J N, Ulrich R K 1988 Rev. Mod. Phys. 60 297
Google Scholar
[3] Basu S, Grevesse N, Mathis S, Turck-Chièze S 2015 Space Sci. Rev. 196 49
Google Scholar
[4] Bailey J E, Nagayama T, Loisel G P, et al. 2015 Nature 517 56
Google Scholar
[5] Fogle M, Bahati E M, Bannister M E, Vane C R, Loch S D, Pindzola M S, Ballance C P, Thomas R D, Zhaunerchyk V, Bryans P, Mitthumsiri W, Savin D W 2008 Astrophys. J. Suppl. Ser. 175 543
Google Scholar
[6] Woodruff P R, Hublet M C, Harrison M F A, Brook E 1978 J. Phys. B: At. Mol. Opt. Phys. 11 L679
Google Scholar
[7] Falk R A, Stefani G, Camilloni R, Dunn G H, Phaneuf R A, Gregory D C, Crandall D H 1983 Phys. Rev. A 28 91
Google Scholar
[8] Loch S D, Witthoeft M, Pindzola M S, Bray I, Fursa D V, Fogle M, Schuch R, Glans P, Ballance C P, Griffin D C 2005 Phys. Rev. A 71 012716
Google Scholar
[9] Loch S D, Colgan J, Pindzola M S, Westermann M, Scheuermann F, Aichele K, Hathiramani D, Salzborn E 2003 Phys. Rev. A 67 042714
Google Scholar
[10] Alna'washi G A, Aryal N B, Baral K K, Thomas C M, Phaneuf R A 2014 J. Phys. B: At. Mol. Opt. Phys. 47 135203
Google Scholar
[11] Ludlow J A, Ballance C P, Loch S D, Pindzola M S, Griffin D C 2009 Phys. Rev. A 79 032715
Google Scholar
[12] Bray I, McNamara K, Fursa D V 2015 Phys. Rev. A 92 022705
Google Scholar
[13] Fontes C J, Sampson D H, Zhang H L 1993 Phys. Rev. A 48 1975
Google Scholar
[14] Kim Y K, Rudd M E 1994 Phys. Rev. A 50 3954
Google Scholar
[15] 马莉莉, 张世平, 张芳军, 李麦娟, 蒋军, 丁晓彬, 颉录有, 张登红, 董晨钟 2024 73 123401
Google Scholar
Ma L L, Zhang S P, Zhang F J, Li M J, Jiang J, Ding X B, Jie L Y, Zhang D H, Dong C Z 2024 Acta Phys. Sin. 73 123401
Google Scholar
[16] Kritcher A L, Swift D C, Döppner T, et al. 2020 Nature 584 51
Google Scholar
[17] Giammichele N, Charpinet S, Fontaine G, et al. 2018 Nature 554 73
Google Scholar
[18] Bethkenhagen M, Witte B B L, Schörner M, Röpke G, Döppner T, Kraus D, Glenzer S H, Sterne P A, Redmer R 2020 Phys. Rev. Res. 2 023260
Google Scholar
[19] Hurricane O A, Callahan D A, Casey D T, et al. 2014 Nature 506 343
Google Scholar
[20] Seddon E A, Clarke J A, Dunning D J, Masciovecchio C, Milne C J, Parmigiani F, Rugg D, Spence J C H, Thompson N R, Ueda K, Vinko S M, Wark J S, Wurth W 2017 Rep. Prog. Phys. 80 115901
Google Scholar
[21] Vinko S M, Ciricosta O, Cho B I, et al. 2012 Nature 482 59
Google Scholar
[22] Ciricosta O, Vinko S M, Chung H K, et al. 2012 Phys. Rev. Lett. 109 065002
Google Scholar
[23] Cho B I, Engelhorn K, Vinko S M, et al. 2012 Phys. Rev. Lett. 109 245003
Google Scholar
[24] Van den Berg Q Y, Fernandez-Tello E V, Burian T, et al. 2018 Phys. Rev. Lett. 120 055002
Google Scholar
[25] Jung Y D, Yoon J S 1996 J. Phys. B: At. Mol. Opt. Phys. 29 3549
Google Scholar
[26] Jung Y D 1998 Phys. Plasmas 5 536
Google Scholar
[27] 李博文, 蒋军, 董晨钟, 王建国, 丁晓彬 2009 58 5274
Google Scholar
Li B W, Jiang J, Dong C Z, Wang J G, Ding X B 2009 Acta Phys. Sin. 58 5274
Google Scholar
[28] Zeng J, Ye C, Liu P, Gao C, Li Y, Yuan J 2022 Int. J. Mol. Sci 23 6033
Google Scholar
[29] Zhang P, Jin Y, Zan X, Liu P, Li Y, Gao C, Hou Y, Zeng J, Yuan J 2021 Phys. Rev. E 104 035204
Google Scholar
[30] Johnson W R, Nilsen J, Cheng K T 2024 High Energy Density Phys. 53 101153
Google Scholar
[31] Wünsch K, Hilse P, Schlanges M, Gericke D O 2008 Phys. Rev. E 77 056404
Google Scholar
[32] Bredow R, Bornath T, Kraeft W D, Redmer R 2013 Contrib. Plasma Phys. 53 276
Google Scholar
[33] Schwarz V, Bornath T, Kraeft W D, Glenzer S H, Höll A, Redmer R 2007 Contrib. Plasma Phys. 47 324
Google Scholar
[34] Bezkrovniy V, Schlanges M, Kremp D, Kraeft W D 2004 Phys. Rev. E 69 061204
Google Scholar
[35] Baus M, Hansen J P 1980 Phys. Rep. 59 1
Google Scholar
[36] Gu M F 2008 Can. J. Phys. 86 675
Google Scholar
[37] Bar-Shalom A, Klapisch M, Oreg J 1988 Phys. Rev. A 38 1773
Google Scholar
[38] Saumon D, Starrett C E, Kress J D, Clerouin J 2012 High Energy Density Phys. 8 150
Google Scholar
[39] Hou Y, Bredow R, Yuan J M, Redmer R 2015 Phys. Rev. E 91 033114
Google Scholar
[40] Hou Y, Fu Y S, Bredow R, Kang D, Redmer R, Yuan J 2017 High Energy Density Phys. 22 21
Google Scholar
[41] Dharma-Wardana M W C, Taylor R 1981 J. Phys. C: Solid State Phys. 14 629
Google Scholar
[42] Feynman R P, Metropolis N, Teller E 1949 Phys. Rev. 75 1561
Google Scholar
[43] Thøgersen M, Zinner N T, Jensen A S 2009 Phys. Rev. A 80 043625
Google Scholar
[44] Deutsch C 1977 Phys. Lett. A 60 317
Google Scholar
[45] Wang Y 2020 Phys. Rev. Lett. 124 017002
Google Scholar
[46] 金阳, 张平, 李永军, 侯永, 曾交龙, 袁建民 2021 70 073102
Google Scholar
Jin Y, Zhang P, Li Y J, Hou Y, Zeng J L, Yuan J M 2021 Acta Phys. Sin. 70 073102
Google Scholar
[47] Zeng J L, Liu L P, Liu P F, Yuan J M 2014 Phys. Rev. A 90 044701
Google Scholar
[48] Cowan R D 1981 The Theory of Atomic Structure and Spectra (California: University of California Press) pp214–236
[49] Gaigalas G, Rudzikas Z, Fischer C F 1997 J. Phys. B: At. Mol. Opt. Phys. 30 3747
Google Scholar
[50] Mott N F 1930 Proc. R. Soc. Lond. A 126 259
Google Scholar
[51] Vriens L 1969 Case Studies in Atomic Collision Physics (Vol. 1) (North-Holland Amsterdam: Press) p335
[52] Bethe H 1930 Ann. Phys. 397 325
Google Scholar
[53] Gregory D C, Dittner P F, Crandall D H 1983 Phys. Rev. A 27 724
Google Scholar
[54] Bannister M E 1996 Phys. Rev. A 54 1435
Google Scholar
[55] Brouillard F 2013 Atomic Processes in Electron-ion and Ion-ion Collisions (Vol. 145) (New York: Springer Science & Business Media Press) pp75–91
[56] Bartschat K 1998 Comput. Phys. Commun. 114 168
Google Scholar
[57] Son S, Thiele R, Jurek Z, Ziaja B, Santra R, 2014 Phys. Rev. X 4 031004
Google Scholar
-
图 1 孤立情况下, 类铍离子电子碰撞电离截面随着入射电子能量变化的关系 (a) C2+的结果; (b) N3+的结果; (c) O4+的结果. 带有误差的黑色正方形是Fogle等[5]实验测量的结果; 红色实线和绿色点线是Fogle等分别采用组态平均扭曲波(CADW) 近似[55]与赝态R-matrix (RMPS) 近似[56]计算的理论结果; 蓝色虚线、橙色点-虚线和紫色点-点-虚线是本文分别采用DW近似、CBE近似和BED近似理论计算的结果
Fig. 1. The electron impact ionization cross section of beryllium-like ions as a function of incident electron energy for the isolation ion: (a) The case of C2+; (b) the case of N3+; (c) the case of O4+. The black squares with error bars[5] represent the experimental measurements by Fogle et al.. The red solid and green dotted lines represent the theoretical results calculated by Fogle et al. by using the CADW approximation[55] and the RMPS[56] approximation, respectively. The blue dashed, orange dotted-dashed, and violet dotted-dotted-dashed lines represent the theoretical results calculated in this paper using the DW, CBE, and BED approximation, respectively.
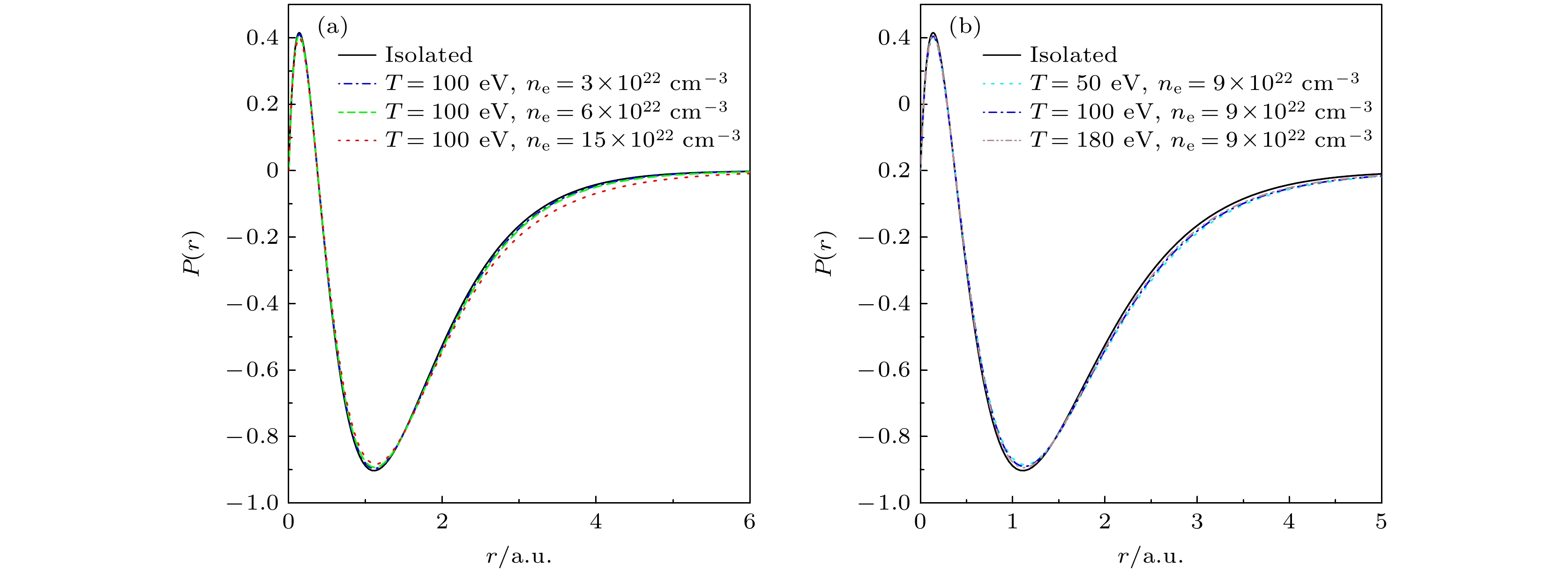
图 2 热稠密等离子体中C2+的$ 1 {\mathrm{s}}^22 {\mathrm{s}}^2\; ^{1}{\mathrm{S}}_{0} $组态2s束缚电子径向波函数 (a) T = 100 eV时, 径向波函数随等离子体密度的变化; (b) ne = 9×1022 cm–3时, 径向波函数随等离子体温度的变化. 黑色实线为孤立情况下的计算结果
Fig. 2. Radial wave function of the 2s bound electron in the $ 1{\mathrm{ s}}^22 {\mathrm{s}}^2\; ^{1}{\mathrm{S}}_{0} $ configuration of C2+ in hot dense plasmas: (a) Variation of the radial wave function with the plasma density at T = 100 eV; (b) variation of the radial wave function with plasma temperature at ne = 9×1022 cm–3. The black solid line represents the result calculated for the isolated case.
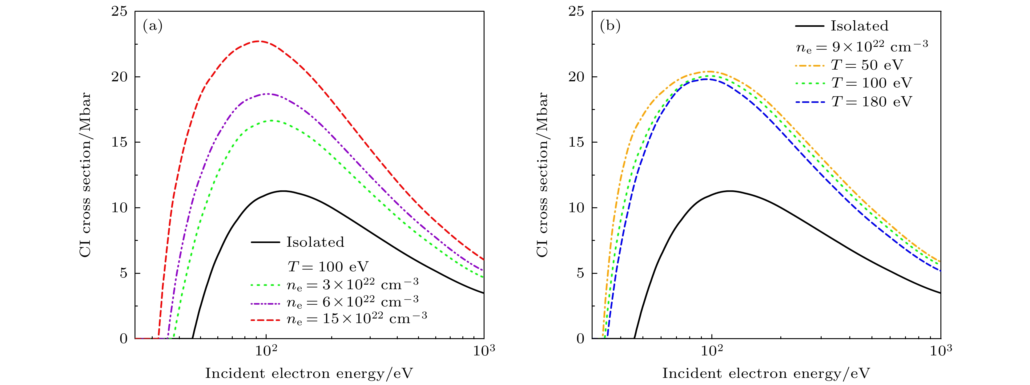
图 3 随着入射电子能量变化, C2+的$ 1 {\mathrm{s}}^22 {\mathrm{s}}^2\; ^{1}{\mathrm{S}}_{0}\; \rightarrow 1 {\mathrm{s}}^22 {\mathrm{s}}^1 $的电子碰撞电离截面 (a) 温度T为100 eV、不同电子密度的碰撞电离截面计算结果; (b) 电子密度$ n_{\mathrm{e}}=9\times10^{22} $ cm–3、不同温度的碰撞电离截面计算结果. 黑色实线为孤立情况下的计算结果
Fig. 3. Electron impact ionization cross section of $ 1 {\mathrm{s}}^22 {\mathrm{s}}^2\; ^{1}{\mathrm{S}}_{0} \rightarrow 1 {\mathrm{s}}^22 {\mathrm{s}}^1 $ of C2+ as a function of incident electron energy. (a) The collision ionization cross sections with temperature T of 100 eV and different electron densities; (b) the collision ionization cross sections with electron density $ n_{\mathrm{e}} = 9\times10^{22} $ cm–3 and different temperatures. The black solid line represents the result calculated for the isolated case.
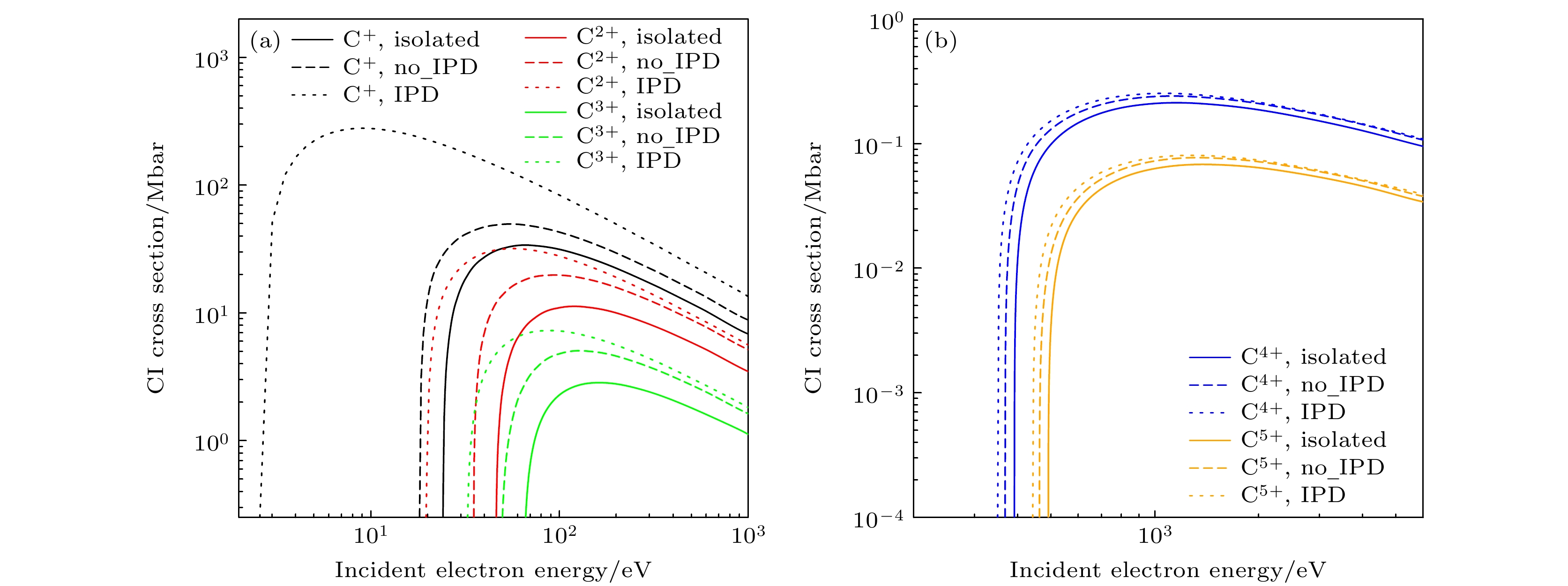
图 4 碳元素在孤立情况下以及在$ T = 180 $ eV, $ n_{\mathrm{e}} = 9\times10^{22} $ cm–3的太阳辐射/对流区域边界处条件下, 随着入射电子能量变化的电子碰撞电离截面 (a) 黑色、红色和绿色分别为C+, C2+和C3+的碰撞电离截面计算结果; (b) 蓝色和橙色分别为C4+和C5+的碰撞电离截面计算结果. 计算中分别考虑了在孤立情况(isolated)、屏蔽效应(no_IPD)和屏蔽效应+电离能(IPD)下降情况下对碰撞电离截面的影响, 图中分别采用实线、虚线和点线表示
Fig. 4. The electron impact ionization cross sections of carbon under isolated conditions and at the solar radiation/convection zone boundary ($ T = 180 $ eV, $ n_{\mathrm{e}} = 9\times10^{22} $ cm–3) as functions of incident electron energy: (a) Black, red, and green lines represent the calculated results for C+, C2+, and C3+, respectively; (b) blue and orange lines correspond to C4+ and C5+, respectively. Here, the solid line represents the calculation results in the isolated case, the dashed line represents the calculation results considering the screening effect at the boundary of the solar radiation/convective region, and the dotted line represents the calculation results further considering the ionization potential depression on the basis of the dashed line.
图 5 氮、氧元素在$ T = 180 $ eV, $ n_{\mathrm{e}} = 9\times10^{22} $ cm–3的太阳辐射/对流区域边界处条件下, 随着入射电子能量变化的电子碰撞电离截面 (a) N+, N2+, N3+和N4+的计算结果; (b) O+, O2+, O3+, O4+和O5+ 的计算结果; (c) N5+, N6+, O6+和O7+的计算结果
Fig. 5. Electron impact ionization cross sections for nitrogen and oxygen at the solar radiation/convection zone boundary($ T = 180 $ eV, $ n_{\mathrm{e}} = 9\times10^{22} $ cm–3) as functions of incident electron energy: (a) Results for N+, N2+, N3+, and N4+, respectively; (b) results for O+, O2+, O3+, O4+, and O5+, respectively; (c) results for N5+, N6+, O6+, and O7+, respectively.
-
[1] Guenther D B, Demarque P, Kim Y C, Pinsonneault M H 1992 APJ 387 372
Google Scholar
[2] Bahcall J N, Ulrich R K 1988 Rev. Mod. Phys. 60 297
Google Scholar
[3] Basu S, Grevesse N, Mathis S, Turck-Chièze S 2015 Space Sci. Rev. 196 49
Google Scholar
[4] Bailey J E, Nagayama T, Loisel G P, et al. 2015 Nature 517 56
Google Scholar
[5] Fogle M, Bahati E M, Bannister M E, Vane C R, Loch S D, Pindzola M S, Ballance C P, Thomas R D, Zhaunerchyk V, Bryans P, Mitthumsiri W, Savin D W 2008 Astrophys. J. Suppl. Ser. 175 543
Google Scholar
[6] Woodruff P R, Hublet M C, Harrison M F A, Brook E 1978 J. Phys. B: At. Mol. Opt. Phys. 11 L679
Google Scholar
[7] Falk R A, Stefani G, Camilloni R, Dunn G H, Phaneuf R A, Gregory D C, Crandall D H 1983 Phys. Rev. A 28 91
Google Scholar
[8] Loch S D, Witthoeft M, Pindzola M S, Bray I, Fursa D V, Fogle M, Schuch R, Glans P, Ballance C P, Griffin D C 2005 Phys. Rev. A 71 012716
Google Scholar
[9] Loch S D, Colgan J, Pindzola M S, Westermann M, Scheuermann F, Aichele K, Hathiramani D, Salzborn E 2003 Phys. Rev. A 67 042714
Google Scholar
[10] Alna'washi G A, Aryal N B, Baral K K, Thomas C M, Phaneuf R A 2014 J. Phys. B: At. Mol. Opt. Phys. 47 135203
Google Scholar
[11] Ludlow J A, Ballance C P, Loch S D, Pindzola M S, Griffin D C 2009 Phys. Rev. A 79 032715
Google Scholar
[12] Bray I, McNamara K, Fursa D V 2015 Phys. Rev. A 92 022705
Google Scholar
[13] Fontes C J, Sampson D H, Zhang H L 1993 Phys. Rev. A 48 1975
Google Scholar
[14] Kim Y K, Rudd M E 1994 Phys. Rev. A 50 3954
Google Scholar
[15] 马莉莉, 张世平, 张芳军, 李麦娟, 蒋军, 丁晓彬, 颉录有, 张登红, 董晨钟 2024 73 123401
Google Scholar
Ma L L, Zhang S P, Zhang F J, Li M J, Jiang J, Ding X B, Jie L Y, Zhang D H, Dong C Z 2024 Acta Phys. Sin. 73 123401
Google Scholar
[16] Kritcher A L, Swift D C, Döppner T, et al. 2020 Nature 584 51
Google Scholar
[17] Giammichele N, Charpinet S, Fontaine G, et al. 2018 Nature 554 73
Google Scholar
[18] Bethkenhagen M, Witte B B L, Schörner M, Röpke G, Döppner T, Kraus D, Glenzer S H, Sterne P A, Redmer R 2020 Phys. Rev. Res. 2 023260
Google Scholar
[19] Hurricane O A, Callahan D A, Casey D T, et al. 2014 Nature 506 343
Google Scholar
[20] Seddon E A, Clarke J A, Dunning D J, Masciovecchio C, Milne C J, Parmigiani F, Rugg D, Spence J C H, Thompson N R, Ueda K, Vinko S M, Wark J S, Wurth W 2017 Rep. Prog. Phys. 80 115901
Google Scholar
[21] Vinko S M, Ciricosta O, Cho B I, et al. 2012 Nature 482 59
Google Scholar
[22] Ciricosta O, Vinko S M, Chung H K, et al. 2012 Phys. Rev. Lett. 109 065002
Google Scholar
[23] Cho B I, Engelhorn K, Vinko S M, et al. 2012 Phys. Rev. Lett. 109 245003
Google Scholar
[24] Van den Berg Q Y, Fernandez-Tello E V, Burian T, et al. 2018 Phys. Rev. Lett. 120 055002
Google Scholar
[25] Jung Y D, Yoon J S 1996 J. Phys. B: At. Mol. Opt. Phys. 29 3549
Google Scholar
[26] Jung Y D 1998 Phys. Plasmas 5 536
Google Scholar
[27] 李博文, 蒋军, 董晨钟, 王建国, 丁晓彬 2009 58 5274
Google Scholar
Li B W, Jiang J, Dong C Z, Wang J G, Ding X B 2009 Acta Phys. Sin. 58 5274
Google Scholar
[28] Zeng J, Ye C, Liu P, Gao C, Li Y, Yuan J 2022 Int. J. Mol. Sci 23 6033
Google Scholar
[29] Zhang P, Jin Y, Zan X, Liu P, Li Y, Gao C, Hou Y, Zeng J, Yuan J 2021 Phys. Rev. E 104 035204
Google Scholar
[30] Johnson W R, Nilsen J, Cheng K T 2024 High Energy Density Phys. 53 101153
Google Scholar
[31] Wünsch K, Hilse P, Schlanges M, Gericke D O 2008 Phys. Rev. E 77 056404
Google Scholar
[32] Bredow R, Bornath T, Kraeft W D, Redmer R 2013 Contrib. Plasma Phys. 53 276
Google Scholar
[33] Schwarz V, Bornath T, Kraeft W D, Glenzer S H, Höll A, Redmer R 2007 Contrib. Plasma Phys. 47 324
Google Scholar
[34] Bezkrovniy V, Schlanges M, Kremp D, Kraeft W D 2004 Phys. Rev. E 69 061204
Google Scholar
[35] Baus M, Hansen J P 1980 Phys. Rep. 59 1
Google Scholar
[36] Gu M F 2008 Can. J. Phys. 86 675
Google Scholar
[37] Bar-Shalom A, Klapisch M, Oreg J 1988 Phys. Rev. A 38 1773
Google Scholar
[38] Saumon D, Starrett C E, Kress J D, Clerouin J 2012 High Energy Density Phys. 8 150
Google Scholar
[39] Hou Y, Bredow R, Yuan J M, Redmer R 2015 Phys. Rev. E 91 033114
Google Scholar
[40] Hou Y, Fu Y S, Bredow R, Kang D, Redmer R, Yuan J 2017 High Energy Density Phys. 22 21
Google Scholar
[41] Dharma-Wardana M W C, Taylor R 1981 J. Phys. C: Solid State Phys. 14 629
Google Scholar
[42] Feynman R P, Metropolis N, Teller E 1949 Phys. Rev. 75 1561
Google Scholar
[43] Thøgersen M, Zinner N T, Jensen A S 2009 Phys. Rev. A 80 043625
Google Scholar
[44] Deutsch C 1977 Phys. Lett. A 60 317
Google Scholar
[45] Wang Y 2020 Phys. Rev. Lett. 124 017002
Google Scholar
[46] 金阳, 张平, 李永军, 侯永, 曾交龙, 袁建民 2021 70 073102
Google Scholar
Jin Y, Zhang P, Li Y J, Hou Y, Zeng J L, Yuan J M 2021 Acta Phys. Sin. 70 073102
Google Scholar
[47] Zeng J L, Liu L P, Liu P F, Yuan J M 2014 Phys. Rev. A 90 044701
Google Scholar
[48] Cowan R D 1981 The Theory of Atomic Structure and Spectra (California: University of California Press) pp214–236
[49] Gaigalas G, Rudzikas Z, Fischer C F 1997 J. Phys. B: At. Mol. Opt. Phys. 30 3747
Google Scholar
[50] Mott N F 1930 Proc. R. Soc. Lond. A 126 259
Google Scholar
[51] Vriens L 1969 Case Studies in Atomic Collision Physics (Vol. 1) (North-Holland Amsterdam: Press) p335
[52] Bethe H 1930 Ann. Phys. 397 325
Google Scholar
[53] Gregory D C, Dittner P F, Crandall D H 1983 Phys. Rev. A 27 724
Google Scholar
[54] Bannister M E 1996 Phys. Rev. A 54 1435
Google Scholar
[55] Brouillard F 2013 Atomic Processes in Electron-ion and Ion-ion Collisions (Vol. 145) (New York: Springer Science & Business Media Press) pp75–91
[56] Bartschat K 1998 Comput. Phys. Commun. 114 168
Google Scholar
[57] Son S, Thiele R, Jurek Z, Ziaja B, Santra R, 2014 Phys. Rev. X 4 031004
Google Scholar
计量
- 文章访问数: 554
- PDF下载量: 18
- 被引次数: 0








下载: